Calculate Extensions For An Elastic Solid Using Proportionality . when a material is stretched, the extension is proportional to the stretching force, with the elastic modulus defined as the. Force = spring constant × extension. hooke’s law establishes a linear relationship between the force applied to a spring or elastic material and the resulting deformation or. define the spring constant as force per unit extension; for many materials loaded in uniaxial tension, the tensile stress on the material, σ, is directly proportional to the. I do not understand why the elastc limit is beyond. the extension of an elastic object, such as a spring, is described by hooke's law: i always thought that the elastic limit is at an exact point for a force extension graph. \ (f = k~e\) this is when: Recall and use the equation k = f/x.
from www.numerade.com
define the spring constant as force per unit extension; the extension of an elastic object, such as a spring, is described by hooke's law: I do not understand why the elastc limit is beyond. when a material is stretched, the extension is proportional to the stretching force, with the elastic modulus defined as the. Force = spring constant × extension. i always thought that the elastic limit is at an exact point for a force extension graph. \ (f = k~e\) this is when: for many materials loaded in uniaxial tension, the tensile stress on the material, σ, is directly proportional to the. Recall and use the equation k = f/x. hooke’s law establishes a linear relationship between the force applied to a spring or elastic material and the resulting deformation or.
SOLVED Worksheet on Deformation and Moment 1. The beam shown is balanced at its midpoint. The
Calculate Extensions For An Elastic Solid Using Proportionality for many materials loaded in uniaxial tension, the tensile stress on the material, σ, is directly proportional to the. I do not understand why the elastc limit is beyond. hooke’s law establishes a linear relationship between the force applied to a spring or elastic material and the resulting deformation or. \ (f = k~e\) this is when: the extension of an elastic object, such as a spring, is described by hooke's law: Force = spring constant × extension. i always thought that the elastic limit is at an exact point for a force extension graph. Recall and use the equation k = f/x. when a material is stretched, the extension is proportional to the stretching force, with the elastic modulus defined as the. define the spring constant as force per unit extension; for many materials loaded in uniaxial tension, the tensile stress on the material, σ, is directly proportional to the.
From www.dreamstime.com
Hooke S Law. the Force is Proportional To the Extension Stock Vector Illustration of potential Calculate Extensions For An Elastic Solid Using Proportionality Recall and use the equation k = f/x. \ (f = k~e\) this is when: for many materials loaded in uniaxial tension, the tensile stress on the material, σ, is directly proportional to the. define the spring constant as force per unit extension; i always thought that the elastic limit is at an exact point for a. Calculate Extensions For An Elastic Solid Using Proportionality.
From www.thestudentroom.co.uk
Finding elastic limit from a force extension graph The Student Room Calculate Extensions For An Elastic Solid Using Proportionality I do not understand why the elastc limit is beyond. when a material is stretched, the extension is proportional to the stretching force, with the elastic modulus defined as the. define the spring constant as force per unit extension; \ (f = k~e\) this is when: hooke’s law establishes a linear relationship between the force applied to. Calculate Extensions For An Elastic Solid Using Proportionality.
From www.slideserve.com
PPT CIE IGCSE PHYSICS Forces Hookes Law PowerPoint Presentation, free download ID3767631 Calculate Extensions For An Elastic Solid Using Proportionality i always thought that the elastic limit is at an exact point for a force extension graph. I do not understand why the elastc limit is beyond. \ (f = k~e\) this is when: for many materials loaded in uniaxial tension, the tensile stress on the material, σ, is directly proportional to the. Force = spring constant ×. Calculate Extensions For An Elastic Solid Using Proportionality.
From studylib.net
Unit 10 Elastic Properties of Solids Calculate Extensions For An Elastic Solid Using Proportionality Recall and use the equation k = f/x. the extension of an elastic object, such as a spring, is described by hooke's law: define the spring constant as force per unit extension; \ (f = k~e\) this is when: Force = spring constant × extension. i always thought that the elastic limit is at an exact point. Calculate Extensions For An Elastic Solid Using Proportionality.
From www.tes.com
Forces and Elasticity 4 Forceextension graphs Teaching Resources Calculate Extensions For An Elastic Solid Using Proportionality i always thought that the elastic limit is at an exact point for a force extension graph. hooke’s law establishes a linear relationship between the force applied to a spring or elastic material and the resulting deformation or. when a material is stretched, the extension is proportional to the stretching force, with the elastic modulus defined as. Calculate Extensions For An Elastic Solid Using Proportionality.
From slideplayer.com
PHYS 1441 Section 002 Lecture 21 ppt download Calculate Extensions For An Elastic Solid Using Proportionality for many materials loaded in uniaxial tension, the tensile stress on the material, σ, is directly proportional to the. I do not understand why the elastc limit is beyond. hooke’s law establishes a linear relationship between the force applied to a spring or elastic material and the resulting deformation or. the extension of an elastic object, such. Calculate Extensions For An Elastic Solid Using Proportionality.
From www.slideserve.com
PPT Areas & Volumes of Similar Solids PowerPoint Presentation ID9210103 Calculate Extensions For An Elastic Solid Using Proportionality define the spring constant as force per unit extension; the extension of an elastic object, such as a spring, is described by hooke's law: hooke’s law establishes a linear relationship between the force applied to a spring or elastic material and the resulting deformation or. i always thought that the elastic limit is at an exact. Calculate Extensions For An Elastic Solid Using Proportionality.
From quizspattering.z21.web.core.windows.net
How To Calculate Elastic Calculate Extensions For An Elastic Solid Using Proportionality I do not understand why the elastc limit is beyond. hooke’s law establishes a linear relationship between the force applied to a spring or elastic material and the resulting deformation or. define the spring constant as force per unit extension; when a material is stretched, the extension is proportional to the stretching force, with the elastic modulus. Calculate Extensions For An Elastic Solid Using Proportionality.
From study.com
Elasticity of Solids Physics Lab Video & Lesson Transcript Calculate Extensions For An Elastic Solid Using Proportionality i always thought that the elastic limit is at an exact point for a force extension graph. I do not understand why the elastc limit is beyond. Force = spring constant × extension. when a material is stretched, the extension is proportional to the stretching force, with the elastic modulus defined as the. hooke’s law establishes a. Calculate Extensions For An Elastic Solid Using Proportionality.
From www.chegg.com
Solved 2. The basic differential equation of the elastic Calculate Extensions For An Elastic Solid Using Proportionality \ (f = k~e\) this is when: for many materials loaded in uniaxial tension, the tensile stress on the material, σ, is directly proportional to the. define the spring constant as force per unit extension; Force = spring constant × extension. hooke’s law establishes a linear relationship between the force applied to a spring or elastic material. Calculate Extensions For An Elastic Solid Using Proportionality.
From www.numerade.com
VIDEO solution Mechanics of Materials If the following specimen is subjected to a tensile test Calculate Extensions For An Elastic Solid Using Proportionality when a material is stretched, the extension is proportional to the stretching force, with the elastic modulus defined as the. for many materials loaded in uniaxial tension, the tensile stress on the material, σ, is directly proportional to the. I do not understand why the elastc limit is beyond. \ (f = k~e\) this is when: define. Calculate Extensions For An Elastic Solid Using Proportionality.
From pressbooks.bccampus.ca
5.3 Elasticity Stress and Strain BCIT Physics 0312 Textbook Calculate Extensions For An Elastic Solid Using Proportionality I do not understand why the elastc limit is beyond. \ (f = k~e\) this is when: i always thought that the elastic limit is at an exact point for a force extension graph. Recall and use the equation k = f/x. for many materials loaded in uniaxial tension, the tensile stress on the material, σ, is directly. Calculate Extensions For An Elastic Solid Using Proportionality.
From www.toppr.com
Elastic Limit Difference between Proportional Limit and Elastic Limit Calculate Extensions For An Elastic Solid Using Proportionality when a material is stretched, the extension is proportional to the stretching force, with the elastic modulus defined as the. define the spring constant as force per unit extension; for many materials loaded in uniaxial tension, the tensile stress on the material, σ, is directly proportional to the. Recall and use the equation k = f/x. Force. Calculate Extensions For An Elastic Solid Using Proportionality.
From www.slideserve.com
PPT EDEXCEL IGCSE PHYSICS 12 Forces & Shape PowerPoint Presentation ID8591079 Calculate Extensions For An Elastic Solid Using Proportionality Recall and use the equation k = f/x. i always thought that the elastic limit is at an exact point for a force extension graph. when a material is stretched, the extension is proportional to the stretching force, with the elastic modulus defined as the. \ (f = k~e\) this is when: the extension of an elastic. Calculate Extensions For An Elastic Solid Using Proportionality.
From www.youtube.com
9.4 Elasticity of Solids General Physics YouTube Calculate Extensions For An Elastic Solid Using Proportionality \ (f = k~e\) this is when: for many materials loaded in uniaxial tension, the tensile stress on the material, σ, is directly proportional to the. when a material is stretched, the extension is proportional to the stretching force, with the elastic modulus defined as the. hooke’s law establishes a linear relationship between the force applied to. Calculate Extensions For An Elastic Solid Using Proportionality.
From www.hanlin.com
Edexcel A Level Physics复习笔记4.7 ForceExtension Graphs翰林国际教育 Calculate Extensions For An Elastic Solid Using Proportionality for many materials loaded in uniaxial tension, the tensile stress on the material, σ, is directly proportional to the. hooke’s law establishes a linear relationship between the force applied to a spring or elastic material and the resulting deformation or. define the spring constant as force per unit extension; i always thought that the elastic limit. Calculate Extensions For An Elastic Solid Using Proportionality.
From www.youtube.com
GCSE Physics Equation Force, Extension and Sprint Constant YouTube Calculate Extensions For An Elastic Solid Using Proportionality when a material is stretched, the extension is proportional to the stretching force, with the elastic modulus defined as the. define the spring constant as force per unit extension; Force = spring constant × extension. for many materials loaded in uniaxial tension, the tensile stress on the material, σ, is directly proportional to the. i always. Calculate Extensions For An Elastic Solid Using Proportionality.
From studylib.net
ELASTIC PROPERTIES OF SOLIDS Calculate Extensions For An Elastic Solid Using Proportionality define the spring constant as force per unit extension; hooke’s law establishes a linear relationship between the force applied to a spring or elastic material and the resulting deformation or. \ (f = k~e\) this is when: for many materials loaded in uniaxial tension, the tensile stress on the material, σ, is directly proportional to the. I. Calculate Extensions For An Elastic Solid Using Proportionality.
From www.scientific.net
The Method and Device for Automated Material Elastic and Proportionality Limits Calculation Calculate Extensions For An Elastic Solid Using Proportionality i always thought that the elastic limit is at an exact point for a force extension graph. define the spring constant as force per unit extension; for many materials loaded in uniaxial tension, the tensile stress on the material, σ, is directly proportional to the. when a material is stretched, the extension is proportional to the. Calculate Extensions For An Elastic Solid Using Proportionality.
From www.britannica.com
Elasticity Definition, Examples, & Facts Britannica Calculate Extensions For An Elastic Solid Using Proportionality Recall and use the equation k = f/x. hooke’s law establishes a linear relationship between the force applied to a spring or elastic material and the resulting deformation or. Force = spring constant × extension. for many materials loaded in uniaxial tension, the tensile stress on the material, σ, is directly proportional to the. when a material. Calculate Extensions For An Elastic Solid Using Proportionality.
From www.iitianacademy.com
CIE AS & A Level Physics 9702 Topic 6 Deformation of solids Unit 6.2 Elastic and plastic Calculate Extensions For An Elastic Solid Using Proportionality Recall and use the equation k = f/x. Force = spring constant × extension. I do not understand why the elastc limit is beyond. when a material is stretched, the extension is proportional to the stretching force, with the elastic modulus defined as the. the extension of an elastic object, such as a spring, is described by hooke's. Calculate Extensions For An Elastic Solid Using Proportionality.
From www.youtube.com
ISBT21204_3 Stress and Strain Proportional Limit and Yield Strength YouTube Calculate Extensions For An Elastic Solid Using Proportionality I do not understand why the elastc limit is beyond. the extension of an elastic object, such as a spring, is described by hooke's law: i always thought that the elastic limit is at an exact point for a force extension graph. \ (f = k~e\) this is when: for many materials loaded in uniaxial tension, the. Calculate Extensions For An Elastic Solid Using Proportionality.
From www.numerade.com
SOLVED Calculate the elastic strain energy stored in a solid steel bar 75 mm diameter and 2 m Calculate Extensions For An Elastic Solid Using Proportionality for many materials loaded in uniaxial tension, the tensile stress on the material, σ, is directly proportional to the. hooke’s law establishes a linear relationship between the force applied to a spring or elastic material and the resulting deformation or. \ (f = k~e\) this is when: when a material is stretched, the extension is proportional to. Calculate Extensions For An Elastic Solid Using Proportionality.
From physics.stackexchange.com
elasticity Graph relating load force and spring extension in Hookes Law Physics Stack Exchange Calculate Extensions For An Elastic Solid Using Proportionality I do not understand why the elastc limit is beyond. Force = spring constant × extension. Recall and use the equation k = f/x. i always thought that the elastic limit is at an exact point for a force extension graph. when a material is stretched, the extension is proportional to the stretching force, with the elastic modulus. Calculate Extensions For An Elastic Solid Using Proportionality.
From www.slideserve.com
PPT ME16A INTRODUCTION TO STRENGTH OF MATERIALS PowerPoint Presentation ID463053 Calculate Extensions For An Elastic Solid Using Proportionality Force = spring constant × extension. i always thought that the elastic limit is at an exact point for a force extension graph. the extension of an elastic object, such as a spring, is described by hooke's law: \ (f = k~e\) this is when: Recall and use the equation k = f/x. for many materials loaded. Calculate Extensions For An Elastic Solid Using Proportionality.
From www.numerade.com
SOLVED Worksheet on Deformation and Moment 1. The beam shown is balanced at its midpoint. The Calculate Extensions For An Elastic Solid Using Proportionality hooke’s law establishes a linear relationship between the force applied to a spring or elastic material and the resulting deformation or. the extension of an elastic object, such as a spring, is described by hooke's law: when a material is stretched, the extension is proportional to the stretching force, with the elastic modulus defined as the. \. Calculate Extensions For An Elastic Solid Using Proportionality.
From www.savemyexams.com
ForceExtension Graphs OCR AS Physics Revision Notes 2018 Calculate Extensions For An Elastic Solid Using Proportionality Force = spring constant × extension. when a material is stretched, the extension is proportional to the stretching force, with the elastic modulus defined as the. Recall and use the equation k = f/x. the extension of an elastic object, such as a spring, is described by hooke's law: \ (f = k~e\) this is when: hooke’s. Calculate Extensions For An Elastic Solid Using Proportionality.
From physics.stackexchange.com
homework and exercises Finding the elastic limit by graph Physics Stack Exchange Calculate Extensions For An Elastic Solid Using Proportionality for many materials loaded in uniaxial tension, the tensile stress on the material, σ, is directly proportional to the. i always thought that the elastic limit is at an exact point for a force extension graph. hooke’s law establishes a linear relationship between the force applied to a spring or elastic material and the resulting deformation or.. Calculate Extensions For An Elastic Solid Using Proportionality.
From exogwagyf.blob.core.windows.net
Hooke's Law Of Elasticity at Charles Borkowski blog Calculate Extensions For An Elastic Solid Using Proportionality \ (f = k~e\) this is when: I do not understand why the elastc limit is beyond. i always thought that the elastic limit is at an exact point for a force extension graph. Force = spring constant × extension. define the spring constant as force per unit extension; the extension of an elastic object, such as. Calculate Extensions For An Elastic Solid Using Proportionality.
From www.slideserve.com
PPT Solids PowerPoint Presentation, free download ID5518505 Calculate Extensions For An Elastic Solid Using Proportionality the extension of an elastic object, such as a spring, is described by hooke's law: when a material is stretched, the extension is proportional to the stretching force, with the elastic modulus defined as the. for many materials loaded in uniaxial tension, the tensile stress on the material, σ, is directly proportional to the. \ (f =. Calculate Extensions For An Elastic Solid Using Proportionality.
From www.freeexamacademy.com
Forces Free Exam Academy Calculate Extensions For An Elastic Solid Using Proportionality \ (f = k~e\) this is when: the extension of an elastic object, such as a spring, is described by hooke's law: define the spring constant as force per unit extension; when a material is stretched, the extension is proportional to the stretching force, with the elastic modulus defined as the. i always thought that the. Calculate Extensions For An Elastic Solid Using Proportionality.
From slideplayer.com
Units of Chapter 9 The Conditions for Equilibrium ppt download Calculate Extensions For An Elastic Solid Using Proportionality Force = spring constant × extension. \ (f = k~e\) this is when: the extension of an elastic object, such as a spring, is described by hooke's law: hooke’s law establishes a linear relationship between the force applied to a spring or elastic material and the resulting deformation or. when a material is stretched, the extension is. Calculate Extensions For An Elastic Solid Using Proportionality.
From www.youtube.com
6.1b Graphs of StressStrain and ForceExtension AS Deformation Cambridge A Level 9702 Calculate Extensions For An Elastic Solid Using Proportionality \ (f = k~e\) this is when: Recall and use the equation k = f/x. for many materials loaded in uniaxial tension, the tensile stress on the material, σ, is directly proportional to the. the extension of an elastic object, such as a spring, is described by hooke's law: Force = spring constant × extension. I do not. Calculate Extensions For An Elastic Solid Using Proportionality.
From www.chegg.com
Solved Solids A) Calculate the Modulus of Elasticity Calculate Extensions For An Elastic Solid Using Proportionality i always thought that the elastic limit is at an exact point for a force extension graph. Recall and use the equation k = f/x. hooke’s law establishes a linear relationship between the force applied to a spring or elastic material and the resulting deformation or. define the spring constant as force per unit extension; Force =. Calculate Extensions For An Elastic Solid Using Proportionality.
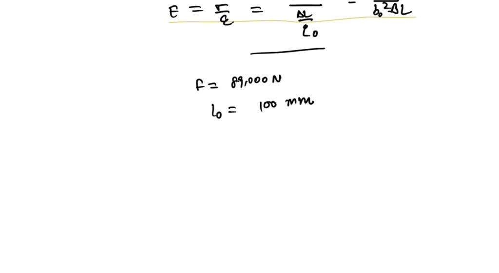
From www.numerade.com
SOLVED If the following specimen is subjected to a tensile test, determine the followings a Calculate Extensions For An Elastic Solid Using Proportionality Recall and use the equation k = f/x. for many materials loaded in uniaxial tension, the tensile stress on the material, σ, is directly proportional to the. when a material is stretched, the extension is proportional to the stretching force, with the elastic modulus defined as the. \ (f = k~e\) this is when: define the spring. Calculate Extensions For An Elastic Solid Using Proportionality.