What Is Economically Weaker Section Certificate . To be eligible for the ews certificate, you will have to satisfy all the conditions mentioned below (ews criteria): In pursuance of insertion of clauses 15 (6) and 16 (6) in the. The economically weaker sections (ews) certificate is an essential document for individuals from economically disadvantaged backgrounds in tamil nadu. The ews certificate is provided to those candidates who belong to the. The economic weaker section certificate is an asset for those who need financial support and some advantages during the. You should be a ‘general’ candidate (not. Ews certificate full form is the economically weaker section. Ews full form is ‘economically weaker section’. Apply online for economically weaker section (ews) certificate. The ews certificate by the maharashtra government is a powerful tool catering to the economically weaker section (ews). This initiative provides a 10 percent reservation for aspiring.
from www.youtube.com
Ews full form is ‘economically weaker section’. The economically weaker sections (ews) certificate is an essential document for individuals from economically disadvantaged backgrounds in tamil nadu. The ews certificate is provided to those candidates who belong to the. This initiative provides a 10 percent reservation for aspiring. Ews certificate full form is the economically weaker section. The ews certificate by the maharashtra government is a powerful tool catering to the economically weaker section (ews). In pursuance of insertion of clauses 15 (6) and 16 (6) in the. You should be a ‘general’ candidate (not. Apply online for economically weaker section (ews) certificate. The economic weaker section certificate is an asset for those who need financial support and some advantages during the.
EWS Certificate Apply Process 2023 Economically Weaker Section (EWS
What Is Economically Weaker Section Certificate This initiative provides a 10 percent reservation for aspiring. In pursuance of insertion of clauses 15 (6) and 16 (6) in the. Ews full form is ‘economically weaker section’. This initiative provides a 10 percent reservation for aspiring. Ews certificate full form is the economically weaker section. Apply online for economically weaker section (ews) certificate. The ews certificate by the maharashtra government is a powerful tool catering to the economically weaker section (ews). The ews certificate is provided to those candidates who belong to the. To be eligible for the ews certificate, you will have to satisfy all the conditions mentioned below (ews criteria): You should be a ‘general’ candidate (not. The economic weaker section certificate is an asset for those who need financial support and some advantages during the. The economically weaker sections (ews) certificate is an essential document for individuals from economically disadvantaged backgrounds in tamil nadu.
From www.youtube.com
How to Get EWS Certificate Apply EWS Certificate In West Bengal 2024 What Is Economically Weaker Section Certificate Apply online for economically weaker section (ews) certificate. You should be a ‘general’ candidate (not. To be eligible for the ews certificate, you will have to satisfy all the conditions mentioned below (ews criteria): The ews certificate is provided to those candidates who belong to the. The economic weaker section certificate is an asset for those who need financial support. What Is Economically Weaker Section Certificate.
From www.youtube.com
EWS CERTIFICATE என்றால் என்ன? HOW TO APPLY? ECONOMICALLY WEAKER SECTION What Is Economically Weaker Section Certificate In pursuance of insertion of clauses 15 (6) and 16 (6) in the. Ews full form is ‘economically weaker section’. The ews certificate by the maharashtra government is a powerful tool catering to the economically weaker section (ews). The ews certificate is provided to those candidates who belong to the. The economically weaker sections (ews) certificate is an essential document. What Is Economically Weaker Section Certificate.
From mystudycart.com
How to Get EWS Certificate for IIT JEE? Download EWS Certificate for What Is Economically Weaker Section Certificate The ews certificate by the maharashtra government is a powerful tool catering to the economically weaker section (ews). In pursuance of insertion of clauses 15 (6) and 16 (6) in the. You should be a ‘general’ candidate (not. The economic weaker section certificate is an asset for those who need financial support and some advantages during the. Ews certificate full. What Is Economically Weaker Section Certificate.
From www.staffnews.in
Application Form For Economically Weaker Section (EWS) What Is Economically Weaker Section Certificate The ews certificate is provided to those candidates who belong to the. Ews full form is ‘economically weaker section’. The ews certificate by the maharashtra government is a powerful tool catering to the economically weaker section (ews). You should be a ‘general’ candidate (not. Ews certificate full form is the economically weaker section. The economically weaker sections (ews) certificate is. What Is Economically Weaker Section Certificate.
From www.youtube.com
EWS Certificate How to get Economically weaker section பற்றிய What Is Economically Weaker Section Certificate You should be a ‘general’ candidate (not. In pursuance of insertion of clauses 15 (6) and 16 (6) in the. To be eligible for the ews certificate, you will have to satisfy all the conditions mentioned below (ews criteria): Ews certificate full form is the economically weaker section. The ews certificate is provided to those candidates who belong to the.. What Is Economically Weaker Section Certificate.
From mystudycart.com
How to Get EWS (Economically Weaker Section) Certificate for IIT JEE? What Is Economically Weaker Section Certificate The economically weaker sections (ews) certificate is an essential document for individuals from economically disadvantaged backgrounds in tamil nadu. This initiative provides a 10 percent reservation for aspiring. Apply online for economically weaker section (ews) certificate. The ews certificate is provided to those candidates who belong to the. Ews certificate full form is the economically weaker section. In pursuance of. What Is Economically Weaker Section Certificate.
From www.youtube.com
Uttar Pradesh Obtain Economically Weaker Section Certificate (EWS Or What Is Economically Weaker Section Certificate The economically weaker sections (ews) certificate is an essential document for individuals from economically disadvantaged backgrounds in tamil nadu. Apply online for economically weaker section (ews) certificate. This initiative provides a 10 percent reservation for aspiring. You should be a ‘general’ candidate (not. The ews certificate is provided to those candidates who belong to the. The economic weaker section certificate. What Is Economically Weaker Section Certificate.
From www.youtube.com
Economically Weaker Section (EWS) Certificate कैसे बनाएं, 10 What Is Economically Weaker Section Certificate You should be a ‘general’ candidate (not. This initiative provides a 10 percent reservation for aspiring. The economic weaker section certificate is an asset for those who need financial support and some advantages during the. Ews full form is ‘economically weaker section’. The economically weaker sections (ews) certificate is an essential document for individuals from economically disadvantaged backgrounds in tamil. What Is Economically Weaker Section Certificate.
From www.youtube.com
How to Apply EWS Certificate How To Apply Economically Weaker What Is Economically Weaker Section Certificate To be eligible for the ews certificate, you will have to satisfy all the conditions mentioned below (ews criteria): You should be a ‘general’ candidate (not. The economically weaker sections (ews) certificate is an essential document for individuals from economically disadvantaged backgrounds in tamil nadu. In pursuance of insertion of clauses 15 (6) and 16 (6) in the. The ews. What Is Economically Weaker Section Certificate.
From www.youtube.com
How to apply EWS (Economically Weaker Section) certificate in telugu What Is Economically Weaker Section Certificate The economically weaker sections (ews) certificate is an essential document for individuals from economically disadvantaged backgrounds in tamil nadu. The economic weaker section certificate is an asset for those who need financial support and some advantages during the. This initiative provides a 10 percent reservation for aspiring. Ews full form is ‘economically weaker section’. Ews certificate full form is the. What Is Economically Weaker Section Certificate.
From mumbaimirror.indiatimes.com
Exposé Candidate gets fake EWS certificate in 2 weeks for Rs 1,000 What Is Economically Weaker Section Certificate This initiative provides a 10 percent reservation for aspiring. Ews full form is ‘economically weaker section’. The ews certificate by the maharashtra government is a powerful tool catering to the economically weaker section (ews). The ews certificate is provided to those candidates who belong to the. Ews certificate full form is the economically weaker section. In pursuance of insertion of. What Is Economically Weaker Section Certificate.
From mystudycart.com
EWS Quota in Medical Colleges How to Get EWS Certificate for NEET? What Is Economically Weaker Section Certificate This initiative provides a 10 percent reservation for aspiring. The economically weaker sections (ews) certificate is an essential document for individuals from economically disadvantaged backgrounds in tamil nadu. The economic weaker section certificate is an asset for those who need financial support and some advantages during the. Ews certificate full form is the economically weaker section. Ews full form is. What Is Economically Weaker Section Certificate.
From examstocks.com
EWS Certificate Form Download PDF Available Now What Is Economically Weaker Section Certificate The economically weaker sections (ews) certificate is an essential document for individuals from economically disadvantaged backgrounds in tamil nadu. Ews full form is ‘economically weaker section’. The economic weaker section certificate is an asset for those who need financial support and some advantages during the. This initiative provides a 10 percent reservation for aspiring. You should be a ‘general’ candidate. What Is Economically Weaker Section Certificate.
From www.slideshare.net
Issuance of asset certificate for economically weaker sections What Is Economically Weaker Section Certificate The ews certificate by the maharashtra government is a powerful tool catering to the economically weaker section (ews). This initiative provides a 10 percent reservation for aspiring. Ews full form is ‘economically weaker section’. Ews certificate full form is the economically weaker section. Apply online for economically weaker section (ews) certificate. To be eligible for the ews certificate, you will. What Is Economically Weaker Section Certificate.
From www.youtube.com
How to Apply Economically Weaker Section Certificate in CSCs EWS What Is Economically Weaker Section Certificate You should be a ‘general’ candidate (not. Ews full form is ‘economically weaker section’. Apply online for economically weaker section (ews) certificate. The ews certificate by the maharashtra government is a powerful tool catering to the economically weaker section (ews). The economic weaker section certificate is an asset for those who need financial support and some advantages during the. To. What Is Economically Weaker Section Certificate.
From www.staffnews.in
Reservation to Upper caste DoPT Order for 10 reservation for What Is Economically Weaker Section Certificate To be eligible for the ews certificate, you will have to satisfy all the conditions mentioned below (ews criteria): Ews certificate full form is the economically weaker section. You should be a ‘general’ candidate (not. Apply online for economically weaker section (ews) certificate. This initiative provides a 10 percent reservation for aspiring. The ews certificate by the maharashtra government is. What Is Economically Weaker Section Certificate.
From www.gconnect.in
Provisions relating to Economically Weaker Sections (EWS) Compendium What Is Economically Weaker Section Certificate In pursuance of insertion of clauses 15 (6) and 16 (6) in the. Apply online for economically weaker section (ews) certificate. The economically weaker sections (ews) certificate is an essential document for individuals from economically disadvantaged backgrounds in tamil nadu. The economic weaker section certificate is an asset for those who need financial support and some advantages during the. The. What Is Economically Weaker Section Certificate.
From www.youtube.com
New EWS Certificate Criteria Proposed by Centre Govt Economically What Is Economically Weaker Section Certificate Apply online for economically weaker section (ews) certificate. The economic weaker section certificate is an asset for those who need financial support and some advantages during the. To be eligible for the ews certificate, you will have to satisfy all the conditions mentioned below (ews criteria): The ews certificate is provided to those candidates who belong to the. The ews. What Is Economically Weaker Section Certificate.
From www.staffnews.in
Application Form For Economically Weaker Section (EWS) What Is Economically Weaker Section Certificate To be eligible for the ews certificate, you will have to satisfy all the conditions mentioned below (ews criteria): The economically weaker sections (ews) certificate is an essential document for individuals from economically disadvantaged backgrounds in tamil nadu. In pursuance of insertion of clauses 15 (6) and 16 (6) in the. The economic weaker section certificate is an asset for. What Is Economically Weaker Section Certificate.
From www.scribd.com
Economically Weaker Section EWS Certificate Format PDF PDF What Is Economically Weaker Section Certificate In pursuance of insertion of clauses 15 (6) and 16 (6) in the. The economic weaker section certificate is an asset for those who need financial support and some advantages during the. You should be a ‘general’ candidate (not. Ews full form is ‘economically weaker section’. Ews certificate full form is the economically weaker section. The ews certificate is provided. What Is Economically Weaker Section Certificate.
From www.youtube.com
How to apply general economically weaker section EWS CERTIFICATE online What Is Economically Weaker Section Certificate In pursuance of insertion of clauses 15 (6) and 16 (6) in the. The ews certificate is provided to those candidates who belong to the. Ews certificate full form is the economically weaker section. You should be a ‘general’ candidate (not. This initiative provides a 10 percent reservation for aspiring. To be eligible for the ews certificate, you will have. What Is Economically Weaker Section Certificate.
From www.dakpad.com
Dakpad An Unbiased Information & Assets Certificate for What Is Economically Weaker Section Certificate Apply online for economically weaker section (ews) certificate. The economically weaker sections (ews) certificate is an essential document for individuals from economically disadvantaged backgrounds in tamil nadu. To be eligible for the ews certificate, you will have to satisfy all the conditions mentioned below (ews criteria): Ews certificate full form is the economically weaker section. The economic weaker section certificate. What Is Economically Weaker Section Certificate.
From www.youtube.com
Arunachal Pradesh Obtain Economically Weaker Section Certificate (EWS What Is Economically Weaker Section Certificate The ews certificate by the maharashtra government is a powerful tool catering to the economically weaker section (ews). Apply online for economically weaker section (ews) certificate. This initiative provides a 10 percent reservation for aspiring. The economic weaker section certificate is an asset for those who need financial support and some advantages during the. To be eligible for the ews. What Is Economically Weaker Section Certificate.
From www.slideshare.net
Issuance of asset certificate for economically weaker sections What Is Economically Weaker Section Certificate You should be a ‘general’ candidate (not. The ews certificate is provided to those candidates who belong to the. Ews certificate full form is the economically weaker section. In pursuance of insertion of clauses 15 (6) and 16 (6) in the. The economically weaker sections (ews) certificate is an essential document for individuals from economically disadvantaged backgrounds in tamil nadu.. What Is Economically Weaker Section Certificate.
From www.youtube.com
EWS Certificate Apply Process 2023 Economically Weaker Section (EWS What Is Economically Weaker Section Certificate The ews certificate by the maharashtra government is a powerful tool catering to the economically weaker section (ews). Ews full form is ‘economically weaker section’. You should be a ‘general’ candidate (not. The ews certificate is provided to those candidates who belong to the. Ews certificate full form is the economically weaker section. Apply online for economically weaker section (ews). What Is Economically Weaker Section Certificate.
From www.scribd.com
ServicePlus Issuance of Economically Weaker Section Certificate at RO What Is Economically Weaker Section Certificate The ews certificate is provided to those candidates who belong to the. Ews certificate full form is the economically weaker section. The economic weaker section certificate is an asset for those who need financial support and some advantages during the. To be eligible for the ews certificate, you will have to satisfy all the conditions mentioned below (ews criteria): Ews. What Is Economically Weaker Section Certificate.
From www.scribd.com
& Asset Certificate For Economically Weaker Sections What Is Economically Weaker Section Certificate Ews certificate full form is the economically weaker section. In pursuance of insertion of clauses 15 (6) and 16 (6) in the. To be eligible for the ews certificate, you will have to satisfy all the conditions mentioned below (ews criteria): Ews full form is ‘economically weaker section’. The economically weaker sections (ews) certificate is an essential document for individuals. What Is Economically Weaker Section Certificate.
From www.scribd.com
User Manual Asset Certificate For Economically Weaker Sections What Is Economically Weaker Section Certificate Ews certificate full form is the economically weaker section. Apply online for economically weaker section (ews) certificate. The ews certificate is provided to those candidates who belong to the. You should be a ‘general’ candidate (not. Ews full form is ‘economically weaker section’. To be eligible for the ews certificate, you will have to satisfy all the conditions mentioned below. What Is Economically Weaker Section Certificate.
From www.youtube.com
How to Download EWS Certificate form EWS Form kaishe Download kare What Is Economically Weaker Section Certificate The ews certificate by the maharashtra government is a powerful tool catering to the economically weaker section (ews). This initiative provides a 10 percent reservation for aspiring. You should be a ‘general’ candidate (not. The ews certificate is provided to those candidates who belong to the. Ews certificate full form is the economically weaker section. The economically weaker sections (ews). What Is Economically Weaker Section Certificate.
From www.youtube.com
Kerala Obtain Economically Weaker Section Certificate (EWS Or GENEWS What Is Economically Weaker Section Certificate In pursuance of insertion of clauses 15 (6) and 16 (6) in the. The ews certificate by the maharashtra government is a powerful tool catering to the economically weaker section (ews). To be eligible for the ews certificate, you will have to satisfy all the conditions mentioned below (ews criteria): You should be a ‘general’ candidate (not. The economically weaker. What Is Economically Weaker Section Certificate.
From www.staffnews.in
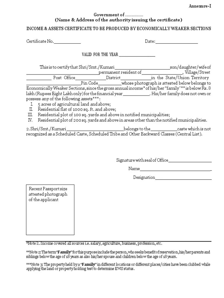
FormXII Aassest EWS Certificate to be Produced by What Is Economically Weaker Section Certificate To be eligible for the ews certificate, you will have to satisfy all the conditions mentioned below (ews criteria): In pursuance of insertion of clauses 15 (6) and 16 (6) in the. Ews full form is ‘economically weaker section’. The economic weaker section certificate is an asset for those who need financial support and some advantages during the. The economically. What Is Economically Weaker Section Certificate.
From www.crimetak.in
क्या होता है ईडब्ल्यूएस ? (What is Economically Weaker Section EWS What Is Economically Weaker Section Certificate This initiative provides a 10 percent reservation for aspiring. The ews certificate by the maharashtra government is a powerful tool catering to the economically weaker section (ews). You should be a ‘general’ candidate (not. Ews full form is ‘economically weaker section’. In pursuance of insertion of clauses 15 (6) and 16 (6) in the. The economically weaker sections (ews) certificate. What Is Economically Weaker Section Certificate.
From www.tesz.in
How to get Economically Weaker Section Certificate? What Is Economically Weaker Section Certificate This initiative provides a 10 percent reservation for aspiring. In pursuance of insertion of clauses 15 (6) and 16 (6) in the. The ews certificate is provided to those candidates who belong to the. Ews full form is ‘economically weaker section’. Ews certificate full form is the economically weaker section. The ews certificate by the maharashtra government is a powerful. What Is Economically Weaker Section Certificate.
From www.youtube.com
How to make online Central EWS (Economically Weaker Section What Is Economically Weaker Section Certificate In pursuance of insertion of clauses 15 (6) and 16 (6) in the. The economic weaker section certificate is an asset for those who need financial support and some advantages during the. The ews certificate by the maharashtra government is a powerful tool catering to the economically weaker section (ews). Ews certificate full form is the economically weaker section. To. What Is Economically Weaker Section Certificate.
From beautyhealthandlifestyle24by7.blogspot.com
EWS (Economically Weaker Section ) of society. What Is Economically Weaker Section Certificate Apply online for economically weaker section (ews) certificate. In pursuance of insertion of clauses 15 (6) and 16 (6) in the. The ews certificate by the maharashtra government is a powerful tool catering to the economically weaker section (ews). The ews certificate is provided to those candidates who belong to the. Ews full form is ‘economically weaker section’. Ews certificate. What Is Economically Weaker Section Certificate.