Four 20 Ohm Resistors Are Connected In Series . 1 calculate the total resistance in the circuit: Learn how to calculate the equivalent resistance, current and voltage of resistors connected in series with ohm's law and kirchhoff's circuit laws. Four {eq}20 {/eq} ohm resistors are connected in series and the combination is connected to a {eq}20\ \mathrm{v} {/eq} emf device. Learn how to calculate the equivalent resistance of resistors connected in series or parallel circuits using ohm's law and kirchhoff's loop law. What is the equivalent resistance? The current in any one resistor is:. Find the potential difference across any.
from www.numerade.com
Find the potential difference across any. What is the equivalent resistance? 1 calculate the total resistance in the circuit: The current in any one resistor is:. Learn how to calculate the equivalent resistance, current and voltage of resistors connected in series with ohm's law and kirchhoff's circuit laws. Four {eq}20 {/eq} ohm resistors are connected in series and the combination is connected to a {eq}20\ \mathrm{v} {/eq} emf device. Learn how to calculate the equivalent resistance of resistors connected in series or parallel circuits using ohm's law and kirchhoff's loop law.
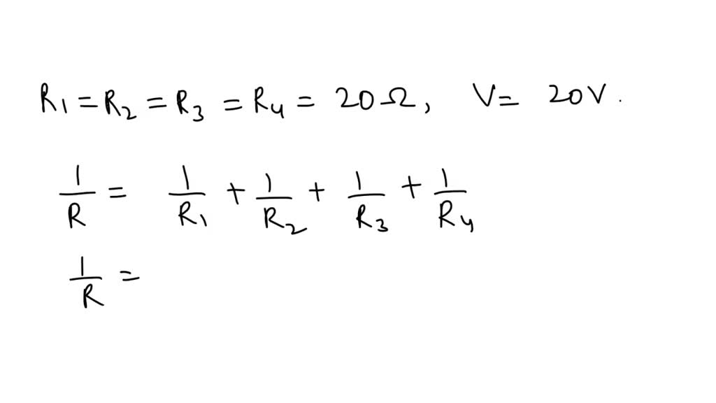
Four 20ohm resistors are connected in parallel and the combination is connected to a 20V emf
Four 20 Ohm Resistors Are Connected In Series The current in any one resistor is:. The current in any one resistor is:. 1 calculate the total resistance in the circuit: Four {eq}20 {/eq} ohm resistors are connected in series and the combination is connected to a {eq}20\ \mathrm{v} {/eq} emf device. What is the equivalent resistance? Learn how to calculate the equivalent resistance of resistors connected in series or parallel circuits using ohm's law and kirchhoff's loop law. Learn how to calculate the equivalent resistance, current and voltage of resistors connected in series with ohm's law and kirchhoff's circuit laws. Find the potential difference across any.
From www.numerade.com
SOLVED Build the following circuit Three 15.0 Ω resistors are connected in parallel, and the Four 20 Ohm Resistors Are Connected In Series The current in any one resistor is:. Learn how to calculate the equivalent resistance of resistors connected in series or parallel circuits using ohm's law and kirchhoff's loop law. Find the potential difference across any. Learn how to calculate the equivalent resistance, current and voltage of resistors connected in series with ohm's law and kirchhoff's circuit laws. Four {eq}20 {/eq}. Four 20 Ohm Resistors Are Connected In Series.
From quizlet.com
Four resistors are connected in a circuit as shown in the fi Quizlet Four 20 Ohm Resistors Are Connected In Series The current in any one resistor is:. What is the equivalent resistance? Find the potential difference across any. Learn how to calculate the equivalent resistance, current and voltage of resistors connected in series with ohm's law and kirchhoff's circuit laws. Learn how to calculate the equivalent resistance of resistors connected in series or parallel circuits using ohm's law and kirchhoff's. Four 20 Ohm Resistors Are Connected In Series.
From aleehyanah.blogspot.com
A Group Of Resistors Connected In Parallel Have The Same Four 20 Ohm Resistors Are Connected In Series What is the equivalent resistance? Four {eq}20 {/eq} ohm resistors are connected in series and the combination is connected to a {eq}20\ \mathrm{v} {/eq} emf device. Find the potential difference across any. 1 calculate the total resistance in the circuit: Learn how to calculate the equivalent resistance of resistors connected in series or parallel circuits using ohm's law and kirchhoff's. Four 20 Ohm Resistors Are Connected In Series.
From byjus.com
21. 6 ohm and 12 ohm resistors are connected in parallel. This combination is connected to Four 20 Ohm Resistors Are Connected In Series Four {eq}20 {/eq} ohm resistors are connected in series and the combination is connected to a {eq}20\ \mathrm{v} {/eq} emf device. Learn how to calculate the equivalent resistance, current and voltage of resistors connected in series with ohm's law and kirchhoff's circuit laws. What is the equivalent resistance? Find the potential difference across any. The current in any one resistor. Four 20 Ohm Resistors Are Connected In Series.
From www.youtube.com
Four resistors are connected to a battery as shown in the figure. (a) Determine the potential Four 20 Ohm Resistors Are Connected In Series 1 calculate the total resistance in the circuit: Learn how to calculate the equivalent resistance of resistors connected in series or parallel circuits using ohm's law and kirchhoff's loop law. Find the potential difference across any. Learn how to calculate the equivalent resistance, current and voltage of resistors connected in series with ohm's law and kirchhoff's circuit laws. Four {eq}20. Four 20 Ohm Resistors Are Connected In Series.
From electronicsreference.com
Resistors in Series Electronics Reference Four 20 Ohm Resistors Are Connected In Series Four {eq}20 {/eq} ohm resistors are connected in series and the combination is connected to a {eq}20\ \mathrm{v} {/eq} emf device. The current in any one resistor is:. Learn how to calculate the equivalent resistance of resistors connected in series or parallel circuits using ohm's law and kirchhoff's loop law. What is the equivalent resistance? Learn how to calculate the. Four 20 Ohm Resistors Are Connected In Series.
From www.numerade.com
SOLVED Four 20ohm resistors are connected in parallel and the combination is connected across Four 20 Ohm Resistors Are Connected In Series Find the potential difference across any. Learn how to calculate the equivalent resistance of resistors connected in series or parallel circuits using ohm's law and kirchhoff's loop law. Four {eq}20 {/eq} ohm resistors are connected in series and the combination is connected to a {eq}20\ \mathrm{v} {/eq} emf device. 1 calculate the total resistance in the circuit: The current in. Four 20 Ohm Resistors Are Connected In Series.
From pressbooks.online.ucf.edu
21.1 Resistors in Series and Parallel College Physics Four 20 Ohm Resistors Are Connected In Series Find the potential difference across any. Learn how to calculate the equivalent resistance, current and voltage of resistors connected in series with ohm's law and kirchhoff's circuit laws. 1 calculate the total resistance in the circuit: Learn how to calculate the equivalent resistance of resistors connected in series or parallel circuits using ohm's law and kirchhoff's loop law. What is. Four 20 Ohm Resistors Are Connected In Series.
From apparel-new.blogspot.com
Four Resistors Are Connected In Series Four 20 Ohm Resistors Are Connected In Series Four {eq}20 {/eq} ohm resistors are connected in series and the combination is connected to a {eq}20\ \mathrm{v} {/eq} emf device. The current in any one resistor is:. 1 calculate the total resistance in the circuit: Learn how to calculate the equivalent resistance of resistors connected in series or parallel circuits using ohm's law and kirchhoff's loop law. Learn how. Four 20 Ohm Resistors Are Connected In Series.
From www.teachoo.com
Resistance in Series and Parallel Advantages and Disadvantages Four 20 Ohm Resistors Are Connected In Series The current in any one resistor is:. 1 calculate the total resistance in the circuit: Find the potential difference across any. Four {eq}20 {/eq} ohm resistors are connected in series and the combination is connected to a {eq}20\ \mathrm{v} {/eq} emf device. Learn how to calculate the equivalent resistance of resistors connected in series or parallel circuits using ohm's law. Four 20 Ohm Resistors Are Connected In Series.
From www.grc.nasa.gov
Resistors in Series Four 20 Ohm Resistors Are Connected In Series 1 calculate the total resistance in the circuit: Learn how to calculate the equivalent resistance, current and voltage of resistors connected in series with ohm's law and kirchhoff's circuit laws. Find the potential difference across any. Learn how to calculate the equivalent resistance of resistors connected in series or parallel circuits using ohm's law and kirchhoff's loop law. Four {eq}20. Four 20 Ohm Resistors Are Connected In Series.
From electricalacademia.com
Resistors in Series and Parallel Electrical Academia Four 20 Ohm Resistors Are Connected In Series Find the potential difference across any. Learn how to calculate the equivalent resistance of resistors connected in series or parallel circuits using ohm's law and kirchhoff's loop law. The current in any one resistor is:. Four {eq}20 {/eq} ohm resistors are connected in series and the combination is connected to a {eq}20\ \mathrm{v} {/eq} emf device. What is the equivalent. Four 20 Ohm Resistors Are Connected In Series.
From www.numerade.com
Four 20Ω resistors are connected in series and the combination is connected to a 20V emf Four 20 Ohm Resistors Are Connected In Series The current in any one resistor is:. 1 calculate the total resistance in the circuit: Four {eq}20 {/eq} ohm resistors are connected in series and the combination is connected to a {eq}20\ \mathrm{v} {/eq} emf device. Learn how to calculate the equivalent resistance, current and voltage of resistors connected in series with ohm's law and kirchhoff's circuit laws. What is. Four 20 Ohm Resistors Are Connected In Series.
From www.chegg.com
Solved Four 20 ohm resistors are connected in series to a Four 20 Ohm Resistors Are Connected In Series The current in any one resistor is:. Learn how to calculate the equivalent resistance of resistors connected in series or parallel circuits using ohm's law and kirchhoff's loop law. 1 calculate the total resistance in the circuit: Find the potential difference across any. What is the equivalent resistance? Four {eq}20 {/eq} ohm resistors are connected in series and the combination. Four 20 Ohm Resistors Are Connected In Series.
From www.toppr.com
Three resistors of 4 ohms, 6 ohms and 12 ohms are connected in parallel. The combina bove Four 20 Ohm Resistors Are Connected In Series Four {eq}20 {/eq} ohm resistors are connected in series and the combination is connected to a {eq}20\ \mathrm{v} {/eq} emf device. 1 calculate the total resistance in the circuit: Find the potential difference across any. Learn how to calculate the equivalent resistance of resistors connected in series or parallel circuits using ohm's law and kirchhoff's loop law. What is the. Four 20 Ohm Resistors Are Connected In Series.
From brainly.in
four identical resistors each of resistance 2 ohm areconnected to battery of 20 V and internal Four 20 Ohm Resistors Are Connected In Series The current in any one resistor is:. Find the potential difference across any. What is the equivalent resistance? Learn how to calculate the equivalent resistance, current and voltage of resistors connected in series with ohm's law and kirchhoff's circuit laws. Learn how to calculate the equivalent resistance of resistors connected in series or parallel circuits using ohm's law and kirchhoff's. Four 20 Ohm Resistors Are Connected In Series.
From www.numerade.com
SOLVED Four 20Ω resistors are connected in series and the combination is connected to a 20V Four 20 Ohm Resistors Are Connected In Series Learn how to calculate the equivalent resistance, current and voltage of resistors connected in series with ohm's law and kirchhoff's circuit laws. 1 calculate the total resistance in the circuit: The current in any one resistor is:. Find the potential difference across any. Four {eq}20 {/eq} ohm resistors are connected in series and the combination is connected to a {eq}20\. Four 20 Ohm Resistors Are Connected In Series.
From www.numerade.com
Four 20ohm resistors are connected in parallel and the combination is connected to a 20V emf Four 20 Ohm Resistors Are Connected In Series 1 calculate the total resistance in the circuit: Four {eq}20 {/eq} ohm resistors are connected in series and the combination is connected to a {eq}20\ \mathrm{v} {/eq} emf device. Find the potential difference across any. The current in any one resistor is:. What is the equivalent resistance? Learn how to calculate the equivalent resistance, current and voltage of resistors connected. Four 20 Ohm Resistors Are Connected In Series.
From pressbooks.online.ucf.edu
21.1 Resistors in Series and Parallel College Physics Four 20 Ohm Resistors Are Connected In Series What is the equivalent resistance? Learn how to calculate the equivalent resistance of resistors connected in series or parallel circuits using ohm's law and kirchhoff's loop law. Find the potential difference across any. Learn how to calculate the equivalent resistance, current and voltage of resistors connected in series with ohm's law and kirchhoff's circuit laws. Four {eq}20 {/eq} ohm resistors. Four 20 Ohm Resistors Are Connected In Series.
From www.inchcalculator.com
Series Resistor Calculator Inch Calculator Four 20 Ohm Resistors Are Connected In Series The current in any one resistor is:. Learn how to calculate the equivalent resistance, current and voltage of resistors connected in series with ohm's law and kirchhoff's circuit laws. 1 calculate the total resistance in the circuit: What is the equivalent resistance? Learn how to calculate the equivalent resistance of resistors connected in series or parallel circuits using ohm's law. Four 20 Ohm Resistors Are Connected In Series.
From learn.sparkfun.com
Resistors SparkFun Learn Four 20 Ohm Resistors Are Connected In Series The current in any one resistor is:. What is the equivalent resistance? Learn how to calculate the equivalent resistance, current and voltage of resistors connected in series with ohm's law and kirchhoff's circuit laws. Four {eq}20 {/eq} ohm resistors are connected in series and the combination is connected to a {eq}20\ \mathrm{v} {/eq} emf device. Find the potential difference across. Four 20 Ohm Resistors Are Connected In Series.
From www.numerade.com
Four 20ohm resistors are connected in parallel and the combination is connected to a 20V emf Four 20 Ohm Resistors Are Connected In Series The current in any one resistor is:. Learn how to calculate the equivalent resistance of resistors connected in series or parallel circuits using ohm's law and kirchhoff's loop law. Four {eq}20 {/eq} ohm resistors are connected in series and the combination is connected to a {eq}20\ \mathrm{v} {/eq} emf device. 1 calculate the total resistance in the circuit: Find the. Four 20 Ohm Resistors Are Connected In Series.
From learn.sparkfun.com
Series and Parallel Circuits SparkFun Learn Four 20 Ohm Resistors Are Connected In Series Learn how to calculate the equivalent resistance, current and voltage of resistors connected in series with ohm's law and kirchhoff's circuit laws. Learn how to calculate the equivalent resistance of resistors connected in series or parallel circuits using ohm's law and kirchhoff's loop law. 1 calculate the total resistance in the circuit: Four {eq}20 {/eq} ohm resistors are connected in. Four 20 Ohm Resistors Are Connected In Series.
From www.toppr.com
Resistors in Series and ParallelWhat is the equivalent resistance of the combination of Four 20 Ohm Resistors Are Connected In Series Find the potential difference across any. Learn how to calculate the equivalent resistance, current and voltage of resistors connected in series with ohm's law and kirchhoff's circuit laws. The current in any one resistor is:. Learn how to calculate the equivalent resistance of resistors connected in series or parallel circuits using ohm's law and kirchhoff's loop law. What is the. Four 20 Ohm Resistors Are Connected In Series.
From www.chegg.com
Solved An electric circuit consists of four resistors, R1 = Four 20 Ohm Resistors Are Connected In Series Four {eq}20 {/eq} ohm resistors are connected in series and the combination is connected to a {eq}20\ \mathrm{v} {/eq} emf device. 1 calculate the total resistance in the circuit: Learn how to calculate the equivalent resistance of resistors connected in series or parallel circuits using ohm's law and kirchhoff's loop law. Find the potential difference across any. Learn how to. Four 20 Ohm Resistors Are Connected In Series.
From www.vrogue.co
Five Resistors Are Connected As Shown In The Diagram vrogue.co Four 20 Ohm Resistors Are Connected In Series Find the potential difference across any. What is the equivalent resistance? Learn how to calculate the equivalent resistance of resistors connected in series or parallel circuits using ohm's law and kirchhoff's loop law. The current in any one resistor is:. 1 calculate the total resistance in the circuit: Four {eq}20 {/eq} ohm resistors are connected in series and the combination. Four 20 Ohm Resistors Are Connected In Series.
From www.numerade.com
SOLVED Four 20Ω resistors are connected in series and the combination is connected to a 20V Four 20 Ohm Resistors Are Connected In Series 1 calculate the total resistance in the circuit: What is the equivalent resistance? Learn how to calculate the equivalent resistance of resistors connected in series or parallel circuits using ohm's law and kirchhoff's loop law. Four {eq}20 {/eq} ohm resistors are connected in series and the combination is connected to a {eq}20\ \mathrm{v} {/eq} emf device. The current in any. Four 20 Ohm Resistors Are Connected In Series.
From www.teachoo.com
Resistance in Series Explanation, Formula and Numericals Teachoo Four 20 Ohm Resistors Are Connected In Series Learn how to calculate the equivalent resistance of resistors connected in series or parallel circuits using ohm's law and kirchhoff's loop law. The current in any one resistor is:. 1 calculate the total resistance in the circuit: Learn how to calculate the equivalent resistance, current and voltage of resistors connected in series with ohm's law and kirchhoff's circuit laws. What. Four 20 Ohm Resistors Are Connected In Series.
From pressbooks.online.ucf.edu
10.2 Resistors in Series and Parallel University Physics Volume 2 Four 20 Ohm Resistors Are Connected In Series Learn how to calculate the equivalent resistance of resistors connected in series or parallel circuits using ohm's law and kirchhoff's loop law. 1 calculate the total resistance in the circuit: The current in any one resistor is:. Find the potential difference across any. What is the equivalent resistance? Four {eq}20 {/eq} ohm resistors are connected in series and the combination. Four 20 Ohm Resistors Are Connected In Series.
From www.chegg.com
Solved Four resistors are connected as shown in the figure. Four 20 Ohm Resistors Are Connected In Series Learn how to calculate the equivalent resistance, current and voltage of resistors connected in series with ohm's law and kirchhoff's circuit laws. Learn how to calculate the equivalent resistance of resistors connected in series or parallel circuits using ohm's law and kirchhoff's loop law. Find the potential difference across any. The current in any one resistor is:. Four {eq}20 {/eq}. Four 20 Ohm Resistors Are Connected In Series.
From www.coursehero.com
[Solved] A 20 ohm resistor is connected in series with a capacitor of 0.01... Course Hero Four 20 Ohm Resistors Are Connected In Series Four {eq}20 {/eq} ohm resistors are connected in series and the combination is connected to a {eq}20\ \mathrm{v} {/eq} emf device. Learn how to calculate the equivalent resistance of resistors connected in series or parallel circuits using ohm's law and kirchhoff's loop law. The current in any one resistor is:. 1 calculate the total resistance in the circuit: Learn how. Four 20 Ohm Resistors Are Connected In Series.
From www.quora.com
A resistance R is connected in series with a parallel circuit comprising of resistances of 4Ω Four 20 Ohm Resistors Are Connected In Series What is the equivalent resistance? Find the potential difference across any. The current in any one resistor is:. Learn how to calculate the equivalent resistance of resistors connected in series or parallel circuits using ohm's law and kirchhoff's loop law. 1 calculate the total resistance in the circuit: Learn how to calculate the equivalent resistance, current and voltage of resistors. Four 20 Ohm Resistors Are Connected In Series.
From wirepartmonoclines.z14.web.core.windows.net
Diagram Of Series And Parallel Circuit Four 20 Ohm Resistors Are Connected In Series Find the potential difference across any. Learn how to calculate the equivalent resistance of resistors connected in series or parallel circuits using ohm's law and kirchhoff's loop law. Four {eq}20 {/eq} ohm resistors are connected in series and the combination is connected to a {eq}20\ \mathrm{v} {/eq} emf device. What is the equivalent resistance? The current in any one resistor. Four 20 Ohm Resistors Are Connected In Series.
From philschatz.com
Resistors in Series and Parallel · Physics Four 20 Ohm Resistors Are Connected In Series The current in any one resistor is:. 1 calculate the total resistance in the circuit: Learn how to calculate the equivalent resistance, current and voltage of resistors connected in series with ohm's law and kirchhoff's circuit laws. Four {eq}20 {/eq} ohm resistors are connected in series and the combination is connected to a {eq}20\ \mathrm{v} {/eq} emf device. What is. Four 20 Ohm Resistors Are Connected In Series.
From www.compadre.org
Example Resistors in series Nexus Wiki Four 20 Ohm Resistors Are Connected In Series Four {eq}20 {/eq} ohm resistors are connected in series and the combination is connected to a {eq}20\ \mathrm{v} {/eq} emf device. Find the potential difference across any. Learn how to calculate the equivalent resistance, current and voltage of resistors connected in series with ohm's law and kirchhoff's circuit laws. What is the equivalent resistance? 1 calculate the total resistance in. Four 20 Ohm Resistors Are Connected In Series.