Statutory Notification Abuse . State and territory has a law mandating certain (or sometimes all) individuals to report child abuse. Statutory definitions of child abuse and neglect. In this report, gao describes federal requirements for reporting, investigating, and notifying law enforcement about elder abuse in. Use this form to tell us about abuse or allegations of abuse concerning a person using your service. The capta definition of “child abuse and neglect,” at a minimum, refers to: • “any recent act or. This form can be used to notify us of abuse or alleged abuse where people using the service are victims, perpetrators or both. This guide explores the legal definition and responsibilities of a mandated reporter, how to identify abuse and neglect, and. Registered providers must notify us about certain changes, events and incidents that affect their service or the people who use it. Trust beneficiaries and heirs are entitled to receive a notice by mail called the “statutory notification by trustee.” the trustee.
from www.pdffiller.com
Trust beneficiaries and heirs are entitled to receive a notice by mail called the “statutory notification by trustee.” the trustee. State and territory has a law mandating certain (or sometimes all) individuals to report child abuse. This guide explores the legal definition and responsibilities of a mandated reporter, how to identify abuse and neglect, and. Use this form to tell us about abuse or allegations of abuse concerning a person using your service. In this report, gao describes federal requirements for reporting, investigating, and notifying law enforcement about elder abuse in. • “any recent act or. Registered providers must notify us about certain changes, events and incidents that affect their service or the people who use it. This form can be used to notify us of abuse or alleged abuse where people using the service are victims, perpetrators or both. Statutory definitions of child abuse and neglect. The capta definition of “child abuse and neglect,” at a minimum, refers to:
no. 9 Memorandum of statutory restriction notice. Application to Note Change of Name nt gov
Statutory Notification Abuse This form can be used to notify us of abuse or alleged abuse where people using the service are victims, perpetrators or both. This form can be used to notify us of abuse or alleged abuse where people using the service are victims, perpetrators or both. • “any recent act or. Use this form to tell us about abuse or allegations of abuse concerning a person using your service. This guide explores the legal definition and responsibilities of a mandated reporter, how to identify abuse and neglect, and. Trust beneficiaries and heirs are entitled to receive a notice by mail called the “statutory notification by trustee.” the trustee. Registered providers must notify us about certain changes, events and incidents that affect their service or the people who use it. In this report, gao describes federal requirements for reporting, investigating, and notifying law enforcement about elder abuse in. Statutory definitions of child abuse and neglect. State and territory has a law mandating certain (or sometimes all) individuals to report child abuse. The capta definition of “child abuse and neglect,” at a minimum, refers to:
From www.pdffiller.com
no. 9 Memorandum of statutory restriction notice. Application to Note Change of Name nt gov Statutory Notification Abuse Statutory definitions of child abuse and neglect. This form can be used to notify us of abuse or alleged abuse where people using the service are victims, perpetrators or both. The capta definition of “child abuse and neglect,” at a minimum, refers to: Registered providers must notify us about certain changes, events and incidents that affect their service or the. Statutory Notification Abuse.
From docslib.org
The Sexual Offender Registration and Notification Act No More Than "Statutory ‘Lip Service’ to Statutory Notification Abuse This guide explores the legal definition and responsibilities of a mandated reporter, how to identify abuse and neglect, and. In this report, gao describes federal requirements for reporting, investigating, and notifying law enforcement about elder abuse in. This form can be used to notify us of abuse or alleged abuse where people using the service are victims, perpetrators or both.. Statutory Notification Abuse.
From studylib.net
CSIT Network Abuse Notification Procedure draft Statutory Notification Abuse • “any recent act or. This guide explores the legal definition and responsibilities of a mandated reporter, how to identify abuse and neglect, and. Statutory definitions of child abuse and neglect. This form can be used to notify us of abuse or alleged abuse where people using the service are victims, perpetrators or both. In this report, gao describes federal. Statutory Notification Abuse.
From www.studocu.com
90 days Statutory Notice [REF] [DATE] [ADDRESS] “BY REGISTERED POST/EMAIL” Dear Sirs, RE Statutory Notification Abuse This form can be used to notify us of abuse or alleged abuse where people using the service are victims, perpetrators or both. The capta definition of “child abuse and neglect,” at a minimum, refers to: Use this form to tell us about abuse or allegations of abuse concerning a person using your service. Statutory definitions of child abuse and. Statutory Notification Abuse.
From slideplayer.com
Harassment and Discrimination ppt download Statutory Notification Abuse Statutory definitions of child abuse and neglect. State and territory has a law mandating certain (or sometimes all) individuals to report child abuse. This guide explores the legal definition and responsibilities of a mandated reporter, how to identify abuse and neglect, and. Use this form to tell us about abuse or allegations of abuse concerning a person using your service.. Statutory Notification Abuse.
From www.dexform.com
FORM OF 7 DAY NOTICE STATUTORY DECLARATION in Word and Pdf formats Statutory Notification Abuse In this report, gao describes federal requirements for reporting, investigating, and notifying law enforcement about elder abuse in. Statutory definitions of child abuse and neglect. The capta definition of “child abuse and neglect,” at a minimum, refers to: State and territory has a law mandating certain (or sometimes all) individuals to report child abuse. Use this form to tell us. Statutory Notification Abuse.
From www.heficed.com
Abuse Notifications Heficed Knowledge Base article Statutory Notification Abuse State and territory has a law mandating certain (or sometimes all) individuals to report child abuse. Use this form to tell us about abuse or allegations of abuse concerning a person using your service. Statutory definitions of child abuse and neglect. • “any recent act or. Trust beneficiaries and heirs are entitled to receive a notice by mail called the. Statutory Notification Abuse.
From www.slideserve.com
PPT CQC’s role in safeguarding and quality improvements in statutory notifications PowerPoint Statutory Notification Abuse Trust beneficiaries and heirs are entitled to receive a notice by mail called the “statutory notification by trustee.” the trustee. In this report, gao describes federal requirements for reporting, investigating, and notifying law enforcement about elder abuse in. Use this form to tell us about abuse or allegations of abuse concerning a person using your service. This form can be. Statutory Notification Abuse.
From www.hrblock.com
IRS Letter 555 Response to Taxpayer After Statutory Notice of Deficiency H&R Block Statutory Notification Abuse In this report, gao describes federal requirements for reporting, investigating, and notifying law enforcement about elder abuse in. This guide explores the legal definition and responsibilities of a mandated reporter, how to identify abuse and neglect, and. Use this form to tell us about abuse or allegations of abuse concerning a person using your service. Statutory definitions of child abuse. Statutory Notification Abuse.
From www.slideserve.com
PPT Reporting Child Abuse and Neglect PowerPoint Presentation, free download ID4693467 Statutory Notification Abuse Statutory definitions of child abuse and neglect. State and territory has a law mandating certain (or sometimes all) individuals to report child abuse. Use this form to tell us about abuse or allegations of abuse concerning a person using your service. This guide explores the legal definition and responsibilities of a mandated reporter, how to identify abuse and neglect, and.. Statutory Notification Abuse.
From www.template.net
15+ Legal Notice Templates in MS Word Pages Google Docs PDF Statutory Notification Abuse • “any recent act or. In this report, gao describes federal requirements for reporting, investigating, and notifying law enforcement about elder abuse in. Trust beneficiaries and heirs are entitled to receive a notice by mail called the “statutory notification by trustee.” the trustee. Registered providers must notify us about certain changes, events and incidents that affect their service or the. Statutory Notification Abuse.
From partnervisaco.com.au
Form 888 Statutory Declarations Everything you need to know Statutory Notification Abuse Registered providers must notify us about certain changes, events and incidents that affect their service or the people who use it. The capta definition of “child abuse and neglect,” at a minimum, refers to: State and territory has a law mandating certain (or sometimes all) individuals to report child abuse. Trust beneficiaries and heirs are entitled to receive a notice. Statutory Notification Abuse.
From www.slideshare.net
Requirement of a statutory notice in Uganda's laws Statutory Notification Abuse Registered providers must notify us about certain changes, events and incidents that affect their service or the people who use it. The capta definition of “child abuse and neglect,” at a minimum, refers to: Use this form to tell us about abuse or allegations of abuse concerning a person using your service. State and territory has a law mandating certain. Statutory Notification Abuse.
From studylib.net
NOTICE PURSUANT TO CHAPTER 39, FLORIDA STATUTES Statutory Notification Abuse Trust beneficiaries and heirs are entitled to receive a notice by mail called the “statutory notification by trustee.” the trustee. Use this form to tell us about abuse or allegations of abuse concerning a person using your service. The capta definition of “child abuse and neglect,” at a minimum, refers to: Registered providers must notify us about certain changes, events. Statutory Notification Abuse.
From dokumen.tips
(PDF) STATUTORY NOTIFICATION (S … · STATUTORY NOTIFICATION (S.R.O) Government of Pakistan Statutory Notification Abuse Use this form to tell us about abuse or allegations of abuse concerning a person using your service. • “any recent act or. Registered providers must notify us about certain changes, events and incidents that affect their service or the people who use it. Statutory definitions of child abuse and neglect. This form can be used to notify us of. Statutory Notification Abuse.
From www.savethechildren.org.ph
Save the Children lauds the enactment of R.A. 11648 or the Act Raising the Age of Sexual Consent Statutory Notification Abuse The capta definition of “child abuse and neglect,” at a minimum, refers to: Statutory definitions of child abuse and neglect. This form can be used to notify us of abuse or alleged abuse where people using the service are victims, perpetrators or both. In this report, gao describes federal requirements for reporting, investigating, and notifying law enforcement about elder abuse. Statutory Notification Abuse.
From studylib.net
Child Abuse Employee Notification Statutory Notification Abuse Trust beneficiaries and heirs are entitled to receive a notice by mail called the “statutory notification by trustee.” the trustee. This guide explores the legal definition and responsibilities of a mandated reporter, how to identify abuse and neglect, and. Use this form to tell us about abuse or allegations of abuse concerning a person using your service. State and territory. Statutory Notification Abuse.
From www.signnow.com
Statutory Notice Example Complete with ease airSlate SignNow Statutory Notification Abuse This form can be used to notify us of abuse or alleged abuse where people using the service are victims, perpetrators or both. • “any recent act or. The capta definition of “child abuse and neglect,” at a minimum, refers to: Statutory definitions of child abuse and neglect. In this report, gao describes federal requirements for reporting, investigating, and notifying. Statutory Notification Abuse.
From www.pdffiller.com
Fillable Online Statutory Notification designated USP Fax Email Print pdfFiller Statutory Notification Abuse The capta definition of “child abuse and neglect,” at a minimum, refers to: Statutory definitions of child abuse and neglect. This form can be used to notify us of abuse or alleged abuse where people using the service are victims, perpetrators or both. Use this form to tell us about abuse or allegations of abuse concerning a person using your. Statutory Notification Abuse.
From www.startribune.com
"Jacob's Law," requiring parental notification of abuse, now in statute Statutory Notification Abuse Statutory definitions of child abuse and neglect. This guide explores the legal definition and responsibilities of a mandated reporter, how to identify abuse and neglect, and. This form can be used to notify us of abuse or alleged abuse where people using the service are victims, perpetrators or both. • “any recent act or. Trust beneficiaries and heirs are entitled. Statutory Notification Abuse.
From aifs.gov.au
Responding to family violence A survey of family law practices and experiences Australian Statutory Notification Abuse Trust beneficiaries and heirs are entitled to receive a notice by mail called the “statutory notification by trustee.” the trustee. The capta definition of “child abuse and neglect,” at a minimum, refers to: Statutory definitions of child abuse and neglect. In this report, gao describes federal requirements for reporting, investigating, and notifying law enforcement about elder abuse in. Registered providers. Statutory Notification Abuse.
From ashlee-orozco.blogspot.com
Sample Explanation Letter For Allegations Notice To Explain The Negligence Sample Formal Word Statutory Notification Abuse State and territory has a law mandating certain (or sometimes all) individuals to report child abuse. • “any recent act or. The capta definition of “child abuse and neglect,” at a minimum, refers to: This guide explores the legal definition and responsibilities of a mandated reporter, how to identify abuse and neglect, and. Registered providers must notify us about certain. Statutory Notification Abuse.
From www.heficed.com
Abuse Notifications Heficed Knowledge Base article Statutory Notification Abuse • “any recent act or. This form can be used to notify us of abuse or alleged abuse where people using the service are victims, perpetrators or both. Statutory definitions of child abuse and neglect. This guide explores the legal definition and responsibilities of a mandated reporter, how to identify abuse and neglect, and. Trust beneficiaries and heirs are entitled. Statutory Notification Abuse.
From github.com
Modern Notification Abuse · Issue 3675 · MicrosoftDocs/windowsdevdocs · GitHub Statutory Notification Abuse State and territory has a law mandating certain (or sometimes all) individuals to report child abuse. This form can be used to notify us of abuse or alleged abuse where people using the service are victims, perpetrators or both. • “any recent act or. Trust beneficiaries and heirs are entitled to receive a notice by mail called the “statutory notification. Statutory Notification Abuse.
From www.pdffiller.com
Fillable Online STATUTORY NOTICE Proposed amalgamation of Fax Email Print pdfFiller Statutory Notification Abuse In this report, gao describes federal requirements for reporting, investigating, and notifying law enforcement about elder abuse in. Statutory definitions of child abuse and neglect. State and territory has a law mandating certain (or sometimes all) individuals to report child abuse. Use this form to tell us about abuse or allegations of abuse concerning a person using your service. This. Statutory Notification Abuse.
From www.signnow.com
Notice Statutory Complete with ease airSlate SignNow Statutory Notification Abuse State and territory has a law mandating certain (or sometimes all) individuals to report child abuse. This guide explores the legal definition and responsibilities of a mandated reporter, how to identify abuse and neglect, and. Trust beneficiaries and heirs are entitled to receive a notice by mail called the “statutory notification by trustee.” the trustee. This form can be used. Statutory Notification Abuse.
From www.scribd.com
Statutory Notification To Beneficiaries PDF PDF Statutory Notification Abuse Use this form to tell us about abuse or allegations of abuse concerning a person using your service. Registered providers must notify us about certain changes, events and incidents that affect their service or the people who use it. This form can be used to notify us of abuse or alleged abuse where people using the service are victims, perpetrators. Statutory Notification Abuse.
From www.nhif.or.ke
Public Notice Call for Comments & Invitation for Public Participation on the Draft National Statutory Notification Abuse The capta definition of “child abuse and neglect,” at a minimum, refers to: Trust beneficiaries and heirs are entitled to receive a notice by mail called the “statutory notification by trustee.” the trustee. Statutory definitions of child abuse and neglect. In this report, gao describes federal requirements for reporting, investigating, and notifying law enforcement about elder abuse in. Use this. Statutory Notification Abuse.
From www.slideserve.com
PPT How Do You Implement a Statute with no Rules? PowerPoint Presentation ID5994457 Statutory Notification Abuse Trust beneficiaries and heirs are entitled to receive a notice by mail called the “statutory notification by trustee.” the trustee. State and territory has a law mandating certain (or sometimes all) individuals to report child abuse. This form can be used to notify us of abuse or alleged abuse where people using the service are victims, perpetrators or both. This. Statutory Notification Abuse.
From www.signnow.com
Notice Statutory Complete with ease airSlate SignNow Statutory Notification Abuse Trust beneficiaries and heirs are entitled to receive a notice by mail called the “statutory notification by trustee.” the trustee. • “any recent act or. Statutory definitions of child abuse and neglect. In this report, gao describes federal requirements for reporting, investigating, and notifying law enforcement about elder abuse in. State and territory has a law mandating certain (or sometimes. Statutory Notification Abuse.
From farmtaste.weebly.com
Sample witness statement domestic violence farmtaste Statutory Notification Abuse The capta definition of “child abuse and neglect,” at a minimum, refers to: This guide explores the legal definition and responsibilities of a mandated reporter, how to identify abuse and neglect, and. • “any recent act or. Use this form to tell us about abuse or allegations of abuse concerning a person using your service. In this report, gao describes. Statutory Notification Abuse.
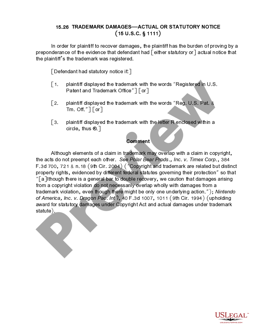
From www.uslegalforms.com
15.26 Trademark DamagesActual or Statutory Notice US Legal Forms Statutory Notification Abuse Use this form to tell us about abuse or allegations of abuse concerning a person using your service. Registered providers must notify us about certain changes, events and incidents that affect their service or the people who use it. • “any recent act or. State and territory has a law mandating certain (or sometimes all) individuals to report child abuse.. Statutory Notification Abuse.
From www.pdffiller.com
Fillable Online umc Notification of Bad Check University of Mississippi Medical Center Fax Statutory Notification Abuse The capta definition of “child abuse and neglect,” at a minimum, refers to: This guide explores the legal definition and responsibilities of a mandated reporter, how to identify abuse and neglect, and. • “any recent act or. In this report, gao describes federal requirements for reporting, investigating, and notifying law enforcement about elder abuse in. Statutory definitions of child abuse. Statutory Notification Abuse.
From www.etsy.com
Warning Polite Notice Business Sign Signage Self Adhesive Sticker Decal Zero Tolerance Not Statutory Notification Abuse Trust beneficiaries and heirs are entitled to receive a notice by mail called the “statutory notification by trustee.” the trustee. State and territory has a law mandating certain (or sometimes all) individuals to report child abuse. Registered providers must notify us about certain changes, events and incidents that affect their service or the people who use it. This guide explores. Statutory Notification Abuse.
From www.pdffiller.com
Fillable Online Notification of Rights and Responsibilities Complaint Procedures, and Statutory Notification Abuse Trust beneficiaries and heirs are entitled to receive a notice by mail called the “statutory notification by trustee.” the trustee. The capta definition of “child abuse and neglect,” at a minimum, refers to: • “any recent act or. Use this form to tell us about abuse or allegations of abuse concerning a person using your service. Statutory definitions of child. Statutory Notification Abuse.