Trigonometric Functions Hsc Questions . Click on the subtopic to take you to. According to the hsc mapping grid, the following list of past hsc questions examines syllabus dot points within this module. Find all trigonometric functions of angle in standard position whose terminal arm passes through point (3, −4). The region abc is a sector of a circle with radius 30 cm, centred. Here you will find all the past advanced hsc questions broken down into 1 place for efficient studying. Our analysis on each topic, the common question types, past areas of difficulty and recent hsc trends all combine to create this revision set. Find all times during the first 12 months when the population equals 2 375 horses. Find free hsc resources like study notes, essays, past papers,.
from www.youtube.com
Here you will find all the past advanced hsc questions broken down into 1 place for efficient studying. Find free hsc resources like study notes, essays, past papers,. The region abc is a sector of a circle with radius 30 cm, centred. Click on the subtopic to take you to. Find all trigonometric functions of angle in standard position whose terminal arm passes through point (3, −4). Find all times during the first 12 months when the population equals 2 375 horses. According to the hsc mapping grid, the following list of past hsc questions examines syllabus dot points within this module. Our analysis on each topic, the common question types, past areas of difficulty and recent hsc trends all combine to create this revision set.
Inverse Trigonometric FunctionsHS Exam Important Questions 2019 CBSE
Trigonometric Functions Hsc Questions Here you will find all the past advanced hsc questions broken down into 1 place for efficient studying. The region abc is a sector of a circle with radius 30 cm, centred. Find free hsc resources like study notes, essays, past papers,. According to the hsc mapping grid, the following list of past hsc questions examines syllabus dot points within this module. Here you will find all the past advanced hsc questions broken down into 1 place for efficient studying. Click on the subtopic to take you to. Find all trigonometric functions of angle in standard position whose terminal arm passes through point (3, −4). Our analysis on each topic, the common question types, past areas of difficulty and recent hsc trends all combine to create this revision set. Find all times during the first 12 months when the population equals 2 375 horses.
From www.tes.com
Trigonometric Functions Revision Booklet HSC Mathematics Advanced Trigonometric Functions Hsc Questions Find all times during the first 12 months when the population equals 2 375 horses. According to the hsc mapping grid, the following list of past hsc questions examines syllabus dot points within this module. Here you will find all the past advanced hsc questions broken down into 1 place for efficient studying. Find free hsc resources like study notes,. Trigonometric Functions Hsc Questions.
From schools.aglasem.com
Class 12 Important Questions for Maths Inverse Trigonometric Function Trigonometric Functions Hsc Questions Find all trigonometric functions of angle in standard position whose terminal arm passes through point (3, −4). Our analysis on each topic, the common question types, past areas of difficulty and recent hsc trends all combine to create this revision set. Find free hsc resources like study notes, essays, past papers,. Here you will find all the past advanced hsc. Trigonometric Functions Hsc Questions.
From trigidentities.net
Trigonometric Equations Formula with Worksheets Trigonometric Functions Hsc Questions According to the hsc mapping grid, the following list of past hsc questions examines syllabus dot points within this module. Our analysis on each topic, the common question types, past areas of difficulty and recent hsc trends all combine to create this revision set. Click on the subtopic to take you to. Find free hsc resources like study notes, essays,. Trigonometric Functions Hsc Questions.
From www.studocu.com
Further Trigonometric Identities Past HSC Questions EXT 1 Trigonometric Functions Hsc Questions According to the hsc mapping grid, the following list of past hsc questions examines syllabus dot points within this module. Find all times during the first 12 months when the population equals 2 375 horses. Our analysis on each topic, the common question types, past areas of difficulty and recent hsc trends all combine to create this revision set. Find. Trigonometric Functions Hsc Questions.
From www.cazoommaths.com
Graphs of Trigonometric Functions GCSE Questions GCSE Revision Questions Trigonometric Functions Hsc Questions According to the hsc mapping grid, the following list of past hsc questions examines syllabus dot points within this module. The region abc is a sector of a circle with radius 30 cm, centred. Find free hsc resources like study notes, essays, past papers,. Click on the subtopic to take you to. Find all trigonometric functions of angle in standard. Trigonometric Functions Hsc Questions.
From www.scribd.com
HSC Exam Questions (Trigonometric Ratios) Sine Trigonometric Functions Trigonometric Functions Hsc Questions According to the hsc mapping grid, the following list of past hsc questions examines syllabus dot points within this module. Find free hsc resources like study notes, essays, past papers,. The region abc is a sector of a circle with radius 30 cm, centred. Our analysis on each topic, the common question types, past areas of difficulty and recent hsc. Trigonometric Functions Hsc Questions.
From www.studocu.com
2019 MA Trigonometric Ratios Worksheet HSC Questions w solutions 1 Trigonometric Functions Hsc Questions According to the hsc mapping grid, the following list of past hsc questions examines syllabus dot points within this module. Find free hsc resources like study notes, essays, past papers,. Click on the subtopic to take you to. Find all times during the first 12 months when the population equals 2 375 horses. Find all trigonometric functions of angle in. Trigonometric Functions Hsc Questions.
From www.thinkswap.com
Trigonometric functions Mathematics (Extension 1) Year 11 HSC Trigonometric Functions Hsc Questions Find all trigonometric functions of angle in standard position whose terminal arm passes through point (3, −4). Find all times during the first 12 months when the population equals 2 375 horses. Our analysis on each topic, the common question types, past areas of difficulty and recent hsc trends all combine to create this revision set. Find free hsc resources. Trigonometric Functions Hsc Questions.
From www.youtube.com
Lecture 3 Inverse Trigonometric Functions HSC Higher Math 2nd paper Trigonometric Functions Hsc Questions Here you will find all the past advanced hsc questions broken down into 1 place for efficient studying. Find all times during the first 12 months when the population equals 2 375 horses. The region abc is a sector of a circle with radius 30 cm, centred. Click on the subtopic to take you to. Find free hsc resources like. Trigonometric Functions Hsc Questions.
From lunchtimeswithbella.weebly.com
Radians Past HSC Questions Questions Trigonometric Functions Year 11 Trigonometric Functions Hsc Questions Find all times during the first 12 months when the population equals 2 375 horses. According to the hsc mapping grid, the following list of past hsc questions examines syllabus dot points within this module. Here you will find all the past advanced hsc questions broken down into 1 place for efficient studying. The region abc is a sector of. Trigonometric Functions Hsc Questions.
From www.youtube.com
Exercise 3A, question 10 to 20,Trigonometric Function, 12th maths1,HSC Trigonometric Functions Hsc Questions According to the hsc mapping grid, the following list of past hsc questions examines syllabus dot points within this module. Our analysis on each topic, the common question types, past areas of difficulty and recent hsc trends all combine to create this revision set. Click on the subtopic to take you to. Find all times during the first 12 months. Trigonometric Functions Hsc Questions.
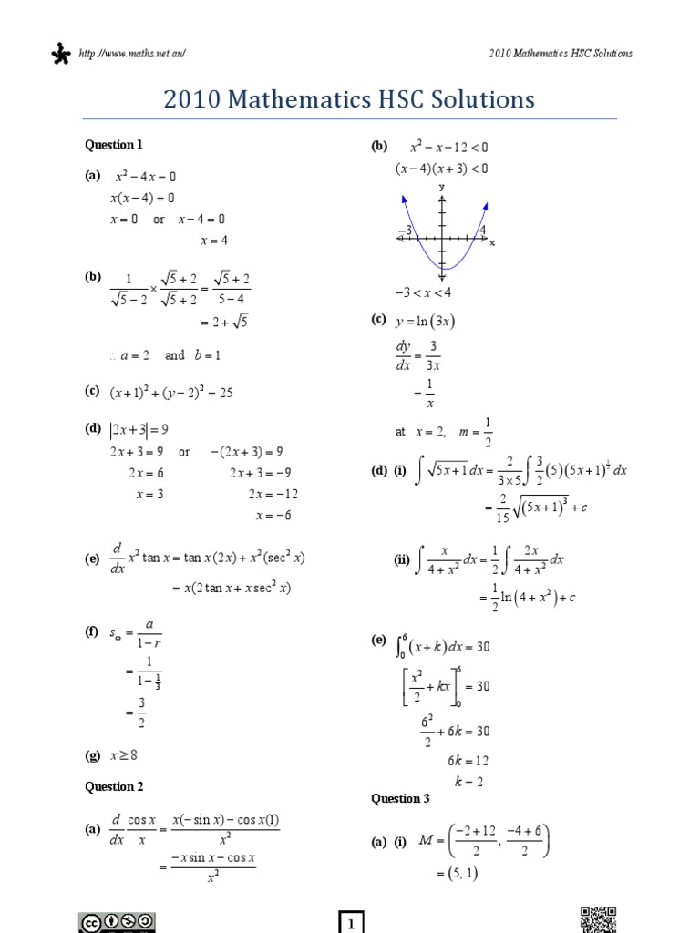
From www.scribd.com
2010 Mathematics HSC Solutions Trigonometric Functions Elementary Trigonometric Functions Hsc Questions Here you will find all the past advanced hsc questions broken down into 1 place for efficient studying. According to the hsc mapping grid, the following list of past hsc questions examines syllabus dot points within this module. Our analysis on each topic, the common question types, past areas of difficulty and recent hsc trends all combine to create this. Trigonometric Functions Hsc Questions.
From www.youtube.com
IMPORTANT QUESTIONS TRIGONOMETRIC FUNCTIONS 12th BOARD HSC Trigonometric Functions Hsc Questions Find free hsc resources like study notes, essays, past papers,. The region abc is a sector of a circle with radius 30 cm, centred. Find all times during the first 12 months when the population equals 2 375 horses. Find all trigonometric functions of angle in standard position whose terminal arm passes through point (3, −4). Click on the subtopic. Trigonometric Functions Hsc Questions.
From www.studocu.com
Six Trigonometric Functions Practice Questions Six Trigonometric Trigonometric Functions Hsc Questions Here you will find all the past advanced hsc questions broken down into 1 place for efficient studying. Find all trigonometric functions of angle in standard position whose terminal arm passes through point (3, −4). The region abc is a sector of a circle with radius 30 cm, centred. Find free hsc resources like study notes, essays, past papers,. According. Trigonometric Functions Hsc Questions.
From www.youtube.com
Inverse Trigonometric FunctionsHS Exam Important Questions 2019 CBSE Trigonometric Functions Hsc Questions The region abc is a sector of a circle with radius 30 cm, centred. Find free hsc resources like study notes, essays, past papers,. Find all trigonometric functions of angle in standard position whose terminal arm passes through point (3, −4). According to the hsc mapping grid, the following list of past hsc questions examines syllabus dot points within this. Trigonometric Functions Hsc Questions.
From www.youtube.com
HSC Chapter 3 Trigonometric Function YouTube Trigonometric Functions Hsc Questions Here you will find all the past advanced hsc questions broken down into 1 place for efficient studying. Find all times during the first 12 months when the population equals 2 375 horses. Our analysis on each topic, the common question types, past areas of difficulty and recent hsc trends all combine to create this revision set. The region abc. Trigonometric Functions Hsc Questions.
From www.youtube.com
Trigonometric Function IMP Questions HSC BOARD EXAM 2023 Sahyadri Trigonometric Functions Hsc Questions According to the hsc mapping grid, the following list of past hsc questions examines syllabus dot points within this module. Here you will find all the past advanced hsc questions broken down into 1 place for efficient studying. Our analysis on each topic, the common question types, past areas of difficulty and recent hsc trends all combine to create this. Trigonometric Functions Hsc Questions.
From infinitylearn.com
Important Questions for Class 12 Maths Chapter 2 Inverse Trigonometric Functions Hsc Questions Find all trigonometric functions of angle in standard position whose terminal arm passes through point (3, −4). Find free hsc resources like study notes, essays, past papers,. According to the hsc mapping grid, the following list of past hsc questions examines syllabus dot points within this module. Find all times during the first 12 months when the population equals 2. Trigonometric Functions Hsc Questions.
From www.home-tution.com
Important Questions For Class 11 Maths Chapter 3 Trigonometric Functions Trigonometric Functions Hsc Questions The region abc is a sector of a circle with radius 30 cm, centred. Find all times during the first 12 months when the population equals 2 375 horses. According to the hsc mapping grid, the following list of past hsc questions examines syllabus dot points within this module. Our analysis on each topic, the common question types, past areas. Trigonometric Functions Hsc Questions.
From www.youtube.com
Most Important Questions of Trigonometric Functions HSC Board April Trigonometric Functions Hsc Questions The region abc is a sector of a circle with radius 30 cm, centred. Find all trigonometric functions of angle in standard position whose terminal arm passes through point (3, −4). According to the hsc mapping grid, the following list of past hsc questions examines syllabus dot points within this module. Here you will find all the past advanced hsc. Trigonometric Functions Hsc Questions.
From www.youtube.com
Imp Questions Series Trigonometric Functions Maths1 HSC Board Exam Trigonometric Functions Hsc Questions Find all trigonometric functions of angle in standard position whose terminal arm passes through point (3, −4). Click on the subtopic to take you to. According to the hsc mapping grid, the following list of past hsc questions examines syllabus dot points within this module. Here you will find all the past advanced hsc questions broken down into 1 place. Trigonometric Functions Hsc Questions.
From lunchtimeswithbella.weebly.com
Radians Past HSC Questions Questions Trigonometric Functions Year 11 Trigonometric Functions Hsc Questions Our analysis on each topic, the common question types, past areas of difficulty and recent hsc trends all combine to create this revision set. The region abc is a sector of a circle with radius 30 cm, centred. Find free hsc resources like study notes, essays, past papers,. Click on the subtopic to take you to. Find all trigonometric functions. Trigonometric Functions Hsc Questions.
From www.youtube.com
1. Trigonometry HSC Basics YouTube Trigonometric Functions Hsc Questions Click on the subtopic to take you to. Find free hsc resources like study notes, essays, past papers,. The region abc is a sector of a circle with radius 30 cm, centred. According to the hsc mapping grid, the following list of past hsc questions examines syllabus dot points within this module. Find all trigonometric functions of angle in standard. Trigonometric Functions Hsc Questions.
From www.youtube.com
Imp Questions Series Trigonometric Functions Maths 1 HSC Exam Trigonometric Functions Hsc Questions The region abc is a sector of a circle with radius 30 cm, centred. According to the hsc mapping grid, the following list of past hsc questions examines syllabus dot points within this module. Here you will find all the past advanced hsc questions broken down into 1 place for efficient studying. Find all times during the first 12 months. Trigonometric Functions Hsc Questions.
From www.studocu.com
Functions and Graphs Mastering HSC Questions MATH Studocu Trigonometric Functions Hsc Questions Find free hsc resources like study notes, essays, past papers,. Here you will find all the past advanced hsc questions broken down into 1 place for efficient studying. The region abc is a sector of a circle with radius 30 cm, centred. Click on the subtopic to take you to. Find all trigonometric functions of angle in standard position whose. Trigonometric Functions Hsc Questions.
From www.youtube.com
HSC 2023 Trigonometric functions Important Questions and Oneshot Trigonometric Functions Hsc Questions Find free hsc resources like study notes, essays, past papers,. Find all times during the first 12 months when the population equals 2 375 horses. According to the hsc mapping grid, the following list of past hsc questions examines syllabus dot points within this module. Here you will find all the past advanced hsc questions broken down into 1 place. Trigonometric Functions Hsc Questions.
From www.studiestoday.com
CBSE Class 11 Trigonometric Functions Worksheet C Trigonometric Functions Hsc Questions Find all trigonometric functions of angle in standard position whose terminal arm passes through point (3, −4). Here you will find all the past advanced hsc questions broken down into 1 place for efficient studying. Find all times during the first 12 months when the population equals 2 375 horses. Our analysis on each topic, the common question types, past. Trigonometric Functions Hsc Questions.
From www.youtube.com
Trigonometric Functions 01 HSC Boards MHT CET Allied Angles Trigonometric Functions Hsc Questions Find all trigonometric functions of angle in standard position whose terminal arm passes through point (3, −4). Find free hsc resources like study notes, essays, past papers,. The region abc is a sector of a circle with radius 30 cm, centred. Here you will find all the past advanced hsc questions broken down into 1 place for efficient studying. Click. Trigonometric Functions Hsc Questions.
From www.studiestoday.com
CBSE Class 12 Mathematics HOTs Inverse Trigonometric Functions Trigonometric Functions Hsc Questions Find free hsc resources like study notes, essays, past papers,. According to the hsc mapping grid, the following list of past hsc questions examines syllabus dot points within this module. Our analysis on each topic, the common question types, past areas of difficulty and recent hsc trends all combine to create this revision set. Here you will find all the. Trigonometric Functions Hsc Questions.
From www.studypool.com
SOLUTION Trigonometry formula sheet Studypool Trigonometric Functions Hsc Questions Our analysis on each topic, the common question types, past areas of difficulty and recent hsc trends all combine to create this revision set. Find all trigonometric functions of angle in standard position whose terminal arm passes through point (3, −4). The region abc is a sector of a circle with radius 30 cm, centred. Find free hsc resources like. Trigonometric Functions Hsc Questions.
From www.studypool.com
SOLUTION Hsc higher mathematics 2nd paper note 7th chapter inverse Trigonometric Functions Hsc Questions Here you will find all the past advanced hsc questions broken down into 1 place for efficient studying. Our analysis on each topic, the common question types, past areas of difficulty and recent hsc trends all combine to create this revision set. Click on the subtopic to take you to. Find all times during the first 12 months when the. Trigonometric Functions Hsc Questions.
From www.studocu.com
Year 11 MA Trigonometric Functions HSC 2020 to 2010 Year 11 Trigonometric Functions Hsc Questions According to the hsc mapping grid, the following list of past hsc questions examines syllabus dot points within this module. Find free hsc resources like study notes, essays, past papers,. Here you will find all the past advanced hsc questions broken down into 1 place for efficient studying. Find all times during the first 12 months when the population equals. Trigonometric Functions Hsc Questions.
From www.math-exercises.com
Math Exercises & Math Problems Trigonometric Functions Trigonometric Functions Hsc Questions Click on the subtopic to take you to. The region abc is a sector of a circle with radius 30 cm, centred. Here you will find all the past advanced hsc questions broken down into 1 place for efficient studying. Our analysis on each topic, the common question types, past areas of difficulty and recent hsc trends all combine to. Trigonometric Functions Hsc Questions.
From www.omtexclasses.com
OMTEX CLASSES TRIGONOMETRIC FUNCTIONS Trigonometric Functions Hsc Questions Click on the subtopic to take you to. Find free hsc resources like study notes, essays, past papers,. According to the hsc mapping grid, the following list of past hsc questions examines syllabus dot points within this module. Our analysis on each topic, the common question types, past areas of difficulty and recent hsc trends all combine to create this. Trigonometric Functions Hsc Questions.
From www.youtube.com
Trigonometric Functions 02 PYQ's 12th HSC Science By Amit Patil Trigonometric Functions Hsc Questions Find free hsc resources like study notes, essays, past papers,. Find all times during the first 12 months when the population equals 2 375 horses. According to the hsc mapping grid, the following list of past hsc questions examines syllabus dot points within this module. Find all trigonometric functions of angle in standard position whose terminal arm passes through point. Trigonometric Functions Hsc Questions.