Coefficient Of Friction Formula For Pipe . The coefficients can be determined from estimated pressure drop for thermoplastic lined fittings and valves. We begin with some results that we shall use. Table of static and dynamic friction coeffcient and friction equations given in imperial and si metric units. Calculate friction coefficients for laminar fluid flow. Shankar subramanian department of chemical and biomolecular engineering clarkson university.
from www.semanticscholar.org
Calculate friction coefficients for laminar fluid flow. Table of static and dynamic friction coeffcient and friction equations given in imperial and si metric units. We begin with some results that we shall use. Shankar subramanian department of chemical and biomolecular engineering clarkson university. The coefficients can be determined from estimated pressure drop for thermoplastic lined fittings and valves.
Table 2 from Simple Iterative Model for Adjusting HazenWilliams
Coefficient Of Friction Formula For Pipe We begin with some results that we shall use. Table of static and dynamic friction coeffcient and friction equations given in imperial and si metric units. Calculate friction coefficients for laminar fluid flow. We begin with some results that we shall use. The coefficients can be determined from estimated pressure drop for thermoplastic lined fittings and valves. Shankar subramanian department of chemical and biomolecular engineering clarkson university.
From www.youtube.com
Derivative of Friction Factor at Pipe in The Laminar Flow Regime Coefficient Of Friction Formula For Pipe We begin with some results that we shall use. Calculate friction coefficients for laminar fluid flow. Table of static and dynamic friction coeffcient and friction equations given in imperial and si metric units. Shankar subramanian department of chemical and biomolecular engineering clarkson university. The coefficients can be determined from estimated pressure drop for thermoplastic lined fittings and valves. Coefficient Of Friction Formula For Pipe.
From learningjamjars.z21.web.core.windows.net
How To Use The Coefficient Of Friction Coefficient Of Friction Formula For Pipe Table of static and dynamic friction coeffcient and friction equations given in imperial and si metric units. We begin with some results that we shall use. Shankar subramanian department of chemical and biomolecular engineering clarkson university. The coefficients can be determined from estimated pressure drop for thermoplastic lined fittings and valves. Calculate friction coefficients for laminar fluid flow. Coefficient Of Friction Formula For Pipe.
From www.youtube.com
6.4 Pipe friction equations LaminarTurbulent flow YouTube Coefficient Of Friction Formula For Pipe Calculate friction coefficients for laminar fluid flow. Table of static and dynamic friction coeffcient and friction equations given in imperial and si metric units. Shankar subramanian department of chemical and biomolecular engineering clarkson university. We begin with some results that we shall use. The coefficients can be determined from estimated pressure drop for thermoplastic lined fittings and valves. Coefficient Of Friction Formula For Pipe.
From www.youtube.com
Introductory Fluid Mechanics L17 p1 Friction Factor YouTube Coefficient Of Friction Formula For Pipe We begin with some results that we shall use. Table of static and dynamic friction coeffcient and friction equations given in imperial and si metric units. Calculate friction coefficients for laminar fluid flow. The coefficients can be determined from estimated pressure drop for thermoplastic lined fittings and valves. Shankar subramanian department of chemical and biomolecular engineering clarkson university. Coefficient Of Friction Formula For Pipe.
From camillerilmorre.blogspot.com
Coefficient of Friction Si Unit CamillerilMorre Coefficient Of Friction Formula For Pipe Table of static and dynamic friction coeffcient and friction equations given in imperial and si metric units. Shankar subramanian department of chemical and biomolecular engineering clarkson university. Calculate friction coefficients for laminar fluid flow. We begin with some results that we shall use. The coefficients can be determined from estimated pressure drop for thermoplastic lined fittings and valves. Coefficient Of Friction Formula For Pipe.
From rentlgh.com
Using The Coefficient of Friction to Calculate Frictional Force LGH Coefficient Of Friction Formula For Pipe Calculate friction coefficients for laminar fluid flow. Shankar subramanian department of chemical and biomolecular engineering clarkson university. Table of static and dynamic friction coeffcient and friction equations given in imperial and si metric units. The coefficients can be determined from estimated pressure drop for thermoplastic lined fittings and valves. We begin with some results that we shall use. Coefficient Of Friction Formula For Pipe.
From jailesu.blogspot.com
Coefficient Of Friction Formula / Force The coefficient of friction Coefficient Of Friction Formula For Pipe Shankar subramanian department of chemical and biomolecular engineering clarkson university. The coefficients can be determined from estimated pressure drop for thermoplastic lined fittings and valves. We begin with some results that we shall use. Table of static and dynamic friction coeffcient and friction equations given in imperial and si metric units. Calculate friction coefficients for laminar fluid flow. Coefficient Of Friction Formula For Pipe.
From sciencing.com
How to Calculate the Coefficient of Friction Sciencing Coefficient Of Friction Formula For Pipe Table of static and dynamic friction coeffcient and friction equations given in imperial and si metric units. The coefficients can be determined from estimated pressure drop for thermoplastic lined fittings and valves. Calculate friction coefficients for laminar fluid flow. Shankar subramanian department of chemical and biomolecular engineering clarkson university. We begin with some results that we shall use. Coefficient Of Friction Formula For Pipe.
From worksheetdbroyces.z21.web.core.windows.net
The Coefficient Of Friction Is Found Using Coefficient Of Friction Formula For Pipe We begin with some results that we shall use. The coefficients can be determined from estimated pressure drop for thermoplastic lined fittings and valves. Calculate friction coefficients for laminar fluid flow. Table of static and dynamic friction coeffcient and friction equations given in imperial and si metric units. Shankar subramanian department of chemical and biomolecular engineering clarkson university. Coefficient Of Friction Formula For Pipe.
From www.tec-science.com
Derivation of HagenPoiseuille equation for pipe flows with friction Coefficient Of Friction Formula For Pipe The coefficients can be determined from estimated pressure drop for thermoplastic lined fittings and valves. Calculate friction coefficients for laminar fluid flow. Table of static and dynamic friction coeffcient and friction equations given in imperial and si metric units. We begin with some results that we shall use. Shankar subramanian department of chemical and biomolecular engineering clarkson university. Coefficient Of Friction Formula For Pipe.
From www.slideserve.com
PPT Water Flow in Pipes PowerPoint Presentation, free download ID Coefficient Of Friction Formula For Pipe Shankar subramanian department of chemical and biomolecular engineering clarkson university. The coefficients can be determined from estimated pressure drop for thermoplastic lined fittings and valves. Table of static and dynamic friction coeffcient and friction equations given in imperial and si metric units. Calculate friction coefficients for laminar fluid flow. We begin with some results that we shall use. Coefficient Of Friction Formula For Pipe.
From www.slideserve.com
PPT Chapter 8 Flow in Pipes PowerPoint Presentation, free download Coefficient Of Friction Formula For Pipe Shankar subramanian department of chemical and biomolecular engineering clarkson university. Table of static and dynamic friction coeffcient and friction equations given in imperial and si metric units. Calculate friction coefficients for laminar fluid flow. We begin with some results that we shall use. The coefficients can be determined from estimated pressure drop for thermoplastic lined fittings and valves. Coefficient Of Friction Formula For Pipe.
From www.semanticscholar.org
Technical Note Friction Factor Diagrams for Pipe Flow Semantic Scholar Coefficient Of Friction Formula For Pipe The coefficients can be determined from estimated pressure drop for thermoplastic lined fittings and valves. Table of static and dynamic friction coeffcient and friction equations given in imperial and si metric units. Calculate friction coefficients for laminar fluid flow. We begin with some results that we shall use. Shankar subramanian department of chemical and biomolecular engineering clarkson university. Coefficient Of Friction Formula For Pipe.
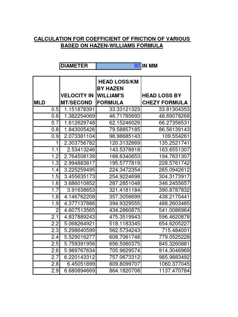
From www.scribd.com
Calculation For Coefficient of Friction of Various Size of Pipes Based Coefficient Of Friction Formula For Pipe Calculate friction coefficients for laminar fluid flow. Table of static and dynamic friction coeffcient and friction equations given in imperial and si metric units. Shankar subramanian department of chemical and biomolecular engineering clarkson university. The coefficients can be determined from estimated pressure drop for thermoplastic lined fittings and valves. We begin with some results that we shall use. Coefficient Of Friction Formula For Pipe.
From www.chegg.com
Solved TASK 2 The pressure loss due to pipe friction can be Coefficient Of Friction Formula For Pipe Shankar subramanian department of chemical and biomolecular engineering clarkson university. Table of static and dynamic friction coeffcient and friction equations given in imperial and si metric units. We begin with some results that we shall use. The coefficients can be determined from estimated pressure drop for thermoplastic lined fittings and valves. Calculate friction coefficients for laminar fluid flow. Coefficient Of Friction Formula For Pipe.
From jailesu.blogspot.com
Coefficient Of Friction Formula / Force The coefficient of friction Coefficient Of Friction Formula For Pipe Calculate friction coefficients for laminar fluid flow. Shankar subramanian department of chemical and biomolecular engineering clarkson university. The coefficients can be determined from estimated pressure drop for thermoplastic lined fittings and valves. We begin with some results that we shall use. Table of static and dynamic friction coeffcient and friction equations given in imperial and si metric units. Coefficient Of Friction Formula For Pipe.
From www.slideserve.com
PPT Fluid Mechanics PowerPoint Presentation, free download ID753871 Coefficient Of Friction Formula For Pipe Calculate friction coefficients for laminar fluid flow. Table of static and dynamic friction coeffcient and friction equations given in imperial and si metric units. Shankar subramanian department of chemical and biomolecular engineering clarkson university. The coefficients can be determined from estimated pressure drop for thermoplastic lined fittings and valves. We begin with some results that we shall use. Coefficient Of Friction Formula For Pipe.
From sciencing.com
How to Calculate the Coefficient of Friction Sciencing Coefficient Of Friction Formula For Pipe The coefficients can be determined from estimated pressure drop for thermoplastic lined fittings and valves. Calculate friction coefficients for laminar fluid flow. We begin with some results that we shall use. Table of static and dynamic friction coeffcient and friction equations given in imperial and si metric units. Shankar subramanian department of chemical and biomolecular engineering clarkson university. Coefficient Of Friction Formula For Pipe.
From www.youtube.com
Drag and Friction Coefficients and Turbulent Boundary Layers Fluid Coefficient Of Friction Formula For Pipe The coefficients can be determined from estimated pressure drop for thermoplastic lined fittings and valves. We begin with some results that we shall use. Table of static and dynamic friction coeffcient and friction equations given in imperial and si metric units. Shankar subramanian department of chemical and biomolecular engineering clarkson university. Calculate friction coefficients for laminar fluid flow. Coefficient Of Friction Formula For Pipe.
From www.tec-science.com
Derivation of HagenPoiseuille equation for pipe flows with friction Coefficient Of Friction Formula For Pipe Calculate friction coefficients for laminar fluid flow. The coefficients can be determined from estimated pressure drop for thermoplastic lined fittings and valves. Shankar subramanian department of chemical and biomolecular engineering clarkson university. We begin with some results that we shall use. Table of static and dynamic friction coeffcient and friction equations given in imperial and si metric units. Coefficient Of Friction Formula For Pipe.
From labbyag.es
Pipe Roughness Chart Labb by AG Coefficient Of Friction Formula For Pipe Shankar subramanian department of chemical and biomolecular engineering clarkson university. Table of static and dynamic friction coeffcient and friction equations given in imperial and si metric units. Calculate friction coefficients for laminar fluid flow. The coefficients can be determined from estimated pressure drop for thermoplastic lined fittings and valves. We begin with some results that we shall use. Coefficient Of Friction Formula For Pipe.
From www.researchgate.net
Diagram of friction factor for pipe flow, including sample inflectional Coefficient Of Friction Formula For Pipe The coefficients can be determined from estimated pressure drop for thermoplastic lined fittings and valves. Shankar subramanian department of chemical and biomolecular engineering clarkson university. Table of static and dynamic friction coeffcient and friction equations given in imperial and si metric units. Calculate friction coefficients for laminar fluid flow. We begin with some results that we shall use. Coefficient Of Friction Formula For Pipe.
From www.pinterest.com
Coefficient of Friction the ratio between the force necessary to move Coefficient Of Friction Formula For Pipe Table of static and dynamic friction coeffcient and friction equations given in imperial and si metric units. We begin with some results that we shall use. Shankar subramanian department of chemical and biomolecular engineering clarkson university. Calculate friction coefficients for laminar fluid flow. The coefficients can be determined from estimated pressure drop for thermoplastic lined fittings and valves. Coefficient Of Friction Formula For Pipe.
From www.chegg.com
Activity 4 Pipe Flow One can estimate the frictional Coefficient Of Friction Formula For Pipe Table of static and dynamic friction coeffcient and friction equations given in imperial and si metric units. Shankar subramanian department of chemical and biomolecular engineering clarkson university. Calculate friction coefficients for laminar fluid flow. The coefficients can be determined from estimated pressure drop for thermoplastic lined fittings and valves. We begin with some results that we shall use. Coefficient Of Friction Formula For Pipe.
From www.semanticscholar.org
Table 2 from Simple Iterative Model for Adjusting HazenWilliams Coefficient Of Friction Formula For Pipe Shankar subramanian department of chemical and biomolecular engineering clarkson university. Calculate friction coefficients for laminar fluid flow. Table of static and dynamic friction coeffcient and friction equations given in imperial and si metric units. The coefficients can be determined from estimated pressure drop for thermoplastic lined fittings and valves. We begin with some results that we shall use. Coefficient Of Friction Formula For Pipe.
From mavink.com
Formula Of Coefficient Of Friction Coefficient Of Friction Formula For Pipe Shankar subramanian department of chemical and biomolecular engineering clarkson university. The coefficients can be determined from estimated pressure drop for thermoplastic lined fittings and valves. Table of static and dynamic friction coeffcient and friction equations given in imperial and si metric units. We begin with some results that we shall use. Calculate friction coefficients for laminar fluid flow. Coefficient Of Friction Formula For Pipe.
From dokumen.tips
(PDF) Friction Coefficient in Pipes DOKUMEN.TIPS Coefficient Of Friction Formula For Pipe Table of static and dynamic friction coeffcient and friction equations given in imperial and si metric units. We begin with some results that we shall use. Calculate friction coefficients for laminar fluid flow. The coefficients can be determined from estimated pressure drop for thermoplastic lined fittings and valves. Shankar subramanian department of chemical and biomolecular engineering clarkson university. Coefficient Of Friction Formula For Pipe.
From www.pumpandflow.com.au
Pipe Friction Models Pump & Flow Coefficient Of Friction Formula For Pipe Shankar subramanian department of chemical and biomolecular engineering clarkson university. The coefficients can be determined from estimated pressure drop for thermoplastic lined fittings and valves. Table of static and dynamic friction coeffcient and friction equations given in imperial and si metric units. We begin with some results that we shall use. Calculate friction coefficients for laminar fluid flow. Coefficient Of Friction Formula For Pipe.
From jailesu.blogspot.com
Coefficient Of Friction Formula / Force The coefficient of friction Coefficient Of Friction Formula For Pipe Table of static and dynamic friction coeffcient and friction equations given in imperial and si metric units. The coefficients can be determined from estimated pressure drop for thermoplastic lined fittings and valves. Shankar subramanian department of chemical and biomolecular engineering clarkson university. We begin with some results that we shall use. Calculate friction coefficients for laminar fluid flow. Coefficient Of Friction Formula For Pipe.
From www.slideserve.com
PPT Closed Conduit Hydraulics PowerPoint Presentation, free download Coefficient Of Friction Formula For Pipe Shankar subramanian department of chemical and biomolecular engineering clarkson university. Calculate friction coefficients for laminar fluid flow. We begin with some results that we shall use. Table of static and dynamic friction coeffcient and friction equations given in imperial and si metric units. The coefficients can be determined from estimated pressure drop for thermoplastic lined fittings and valves. Coefficient Of Friction Formula For Pipe.
From mechextreme.blogspot.com
How to select of Coefficient Friction as per requirement Coefficient Of Friction Formula For Pipe The coefficients can be determined from estimated pressure drop for thermoplastic lined fittings and valves. Shankar subramanian department of chemical and biomolecular engineering clarkson university. We begin with some results that we shall use. Calculate friction coefficients for laminar fluid flow. Table of static and dynamic friction coeffcient and friction equations given in imperial and si metric units. Coefficient Of Friction Formula For Pipe.
From www.engineersedge.com
Pipe Roughness Coefficients Table Charts HazenWilliams Coefficient Coefficient Of Friction Formula For Pipe Calculate friction coefficients for laminar fluid flow. We begin with some results that we shall use. Shankar subramanian department of chemical and biomolecular engineering clarkson university. The coefficients can be determined from estimated pressure drop for thermoplastic lined fittings and valves. Table of static and dynamic friction coeffcient and friction equations given in imperial and si metric units. Coefficient Of Friction Formula For Pipe.
From www.researchgate.net
10. Friction loss (m/100 m) in galvanized steel pipe for center pivot Coefficient Of Friction Formula For Pipe We begin with some results that we shall use. Shankar subramanian department of chemical and biomolecular engineering clarkson university. The coefficients can be determined from estimated pressure drop for thermoplastic lined fittings and valves. Table of static and dynamic friction coeffcient and friction equations given in imperial and si metric units. Calculate friction coefficients for laminar fluid flow. Coefficient Of Friction Formula For Pipe.
From www.researchgate.net
Friction factors for commercial steel pipes with Reynolds number Coefficient Of Friction Formula For Pipe Calculate friction coefficients for laminar fluid flow. The coefficients can be determined from estimated pressure drop for thermoplastic lined fittings and valves. We begin with some results that we shall use. Table of static and dynamic friction coeffcient and friction equations given in imperial and si metric units. Shankar subramanian department of chemical and biomolecular engineering clarkson university. Coefficient Of Friction Formula For Pipe.
From www.engineeringtoolbox.com
PVC Pipes Schedule 40 Friction Loss vs. Water Flow Diagrams Coefficient Of Friction Formula For Pipe Calculate friction coefficients for laminar fluid flow. The coefficients can be determined from estimated pressure drop for thermoplastic lined fittings and valves. Table of static and dynamic friction coeffcient and friction equations given in imperial and si metric units. Shankar subramanian department of chemical and biomolecular engineering clarkson university. We begin with some results that we shall use. Coefficient Of Friction Formula For Pipe.