Uniform Continuity Definition . The value f(x) of the function f at the point x 2 s will be de ned by a formula (or formulas). If \(f\) is relatively continuous on \(b\), then by definition, \[(\forall \varepsilon>0)(\forall p \in b)(\exists. For something to be continuous, you can check one x at a time, so for each x, you. Uniform continuity on an interval is a stronger form of continuity that requires that, for a given $\eps>0$, the same $\delta$ will work for all. D → r is called uniformly continuous on d if for any ε> 0, there. A function f defined on a set s in the real numbers. For all ε, there exists such a δ that for all x something something. The function f is said to be continuous on s i. Let be a nonempty subset of.
from slideplayer.com
If \(f\) is relatively continuous on \(b\), then by definition, \[(\forall \varepsilon>0)(\forall p \in b)(\exists. D → r is called uniformly continuous on d if for any ε> 0, there. A function f defined on a set s in the real numbers. For all ε, there exists such a δ that for all x something something. Uniform continuity on an interval is a stronger form of continuity that requires that, for a given $\eps>0$, the same $\delta$ will work for all. The function f is said to be continuous on s i. Let be a nonempty subset of. The value f(x) of the function f at the point x 2 s will be de ned by a formula (or formulas). For something to be continuous, you can check one x at a time, so for each x, you.
Introduction to Real Analysis Dr. Weihu Hong Clayton State University
Uniform Continuity Definition For something to be continuous, you can check one x at a time, so for each x, you. The value f(x) of the function f at the point x 2 s will be de ned by a formula (or formulas). D → r is called uniformly continuous on d if for any ε> 0, there. If \(f\) is relatively continuous on \(b\), then by definition, \[(\forall \varepsilon>0)(\forall p \in b)(\exists. Let be a nonempty subset of. For something to be continuous, you can check one x at a time, so for each x, you. The function f is said to be continuous on s i. For all ε, there exists such a δ that for all x something something. Uniform continuity on an interval is a stronger form of continuity that requires that, for a given $\eps>0$, the same $\delta$ will work for all. A function f defined on a set s in the real numbers.
From www.i-ciencias.com
[Resuelta] analisisreal Continuidad uniforme de la Uniform Continuity Definition If \(f\) is relatively continuous on \(b\), then by definition, \[(\forall \varepsilon>0)(\forall p \in b)(\exists. For all ε, there exists such a δ that for all x something something. Uniform continuity on an interval is a stronger form of continuity that requires that, for a given $\eps>0$, the same $\delta$ will work for all. A function f defined on a. Uniform Continuity Definition.
From www.chegg.com
Solved 2. Using the ε, d definition of uniform continuity Uniform Continuity Definition The function f is said to be continuous on s i. A function f defined on a set s in the real numbers. For something to be continuous, you can check one x at a time, so for each x, you. The value f(x) of the function f at the point x 2 s will be de ned by a. Uniform Continuity Definition.
From www.youtube.com
06 Every uniform continuous function is continuous in that interval Uniform Continuity Definition Uniform continuity on an interval is a stronger form of continuity that requires that, for a given $\eps>0$, the same $\delta$ will work for all. A function f defined on a set s in the real numbers. The function f is said to be continuous on s i. D → r is called uniformly continuous on d if for any. Uniform Continuity Definition.
From www.youtube.com
Real Analysis Uniform Continuity Definition & Examples YouTube Uniform Continuity Definition If \(f\) is relatively continuous on \(b\), then by definition, \[(\forall \varepsilon>0)(\forall p \in b)(\exists. A function f defined on a set s in the real numbers. For all ε, there exists such a δ that for all x something something. For something to be continuous, you can check one x at a time, so for each x, you. Let. Uniform Continuity Definition.
From www.youtube.com
5 Maths Continuity Session 1 Cauchy's Definition of continuity YouTube Uniform Continuity Definition D → r is called uniformly continuous on d if for any ε> 0, there. For something to be continuous, you can check one x at a time, so for each x, you. Uniform continuity on an interval is a stronger form of continuity that requires that, for a given $\eps>0$, the same $\delta$ will work for all. For all. Uniform Continuity Definition.
From www.youtube.com
Continuous and Uniformly Continuous Functions YouTube Uniform Continuity Definition For something to be continuous, you can check one x at a time, so for each x, you. For all ε, there exists such a δ that for all x something something. The function f is said to be continuous on s i. Let be a nonempty subset of. Uniform continuity on an interval is a stronger form of continuity. Uniform Continuity Definition.
From www.youtube.com
Uniform continuity Definition Metric Space Limit and Continuity Uniform Continuity Definition Uniform continuity on an interval is a stronger form of continuity that requires that, for a given $\eps>0$, the same $\delta$ will work for all. Let be a nonempty subset of. D → r is called uniformly continuous on d if for any ε> 0, there. For something to be continuous, you can check one x at a time, so. Uniform Continuity Definition.
From slideplayer.com
Introduction to Real Analysis Dr. Weihu Hong Clayton State University Uniform Continuity Definition A function f defined on a set s in the real numbers. If \(f\) is relatively continuous on \(b\), then by definition, \[(\forall \varepsilon>0)(\forall p \in b)(\exists. Let be a nonempty subset of. For something to be continuous, you can check one x at a time, so for each x, you. For all ε, there exists such a δ that. Uniform Continuity Definition.
From www.studocu.com
Course Material 3.4 Uniformly Continuous Functions Course Material 3 Uniform Continuity Definition For something to be continuous, you can check one x at a time, so for each x, you. A function f defined on a set s in the real numbers. D → r is called uniformly continuous on d if for any ε> 0, there. If \(f\) is relatively continuous on \(b\), then by definition, \[(\forall \varepsilon>0)(\forall p \in b)(\exists.. Uniform Continuity Definition.
From www.chegg.com
Solved 3. (a) Using the definition of uniform continuity Uniform Continuity Definition The value f(x) of the function f at the point x 2 s will be de ned by a formula (or formulas). For something to be continuous, you can check one x at a time, so for each x, you. A function f defined on a set s in the real numbers. Uniform continuity on an interval is a stronger. Uniform Continuity Definition.
From www.numerade.com
SOLVED Using the definition of uniform continuity show that x2 f(s) x Uniform Continuity Definition D → r is called uniformly continuous on d if for any ε> 0, there. A function f defined on a set s in the real numbers. For all ε, there exists such a δ that for all x something something. For something to be continuous, you can check one x at a time, so for each x, you. Uniform. Uniform Continuity Definition.
From www.calculussolution.com
Function Limits Uniform Continuity Definition The function f is said to be continuous on s i. For something to be continuous, you can check one x at a time, so for each x, you. A function f defined on a set s in the real numbers. Uniform continuity on an interval is a stronger form of continuity that requires that, for a given $\eps>0$, the. Uniform Continuity Definition.
From www.storyofmathematics.com
Uniform Continuity Definition and Examples Uniform Continuity Definition A function f defined on a set s in the real numbers. For something to be continuous, you can check one x at a time, so for each x, you. Uniform continuity on an interval is a stronger form of continuity that requires that, for a given $\eps>0$, the same $\delta$ will work for all. Let be a nonempty subset. Uniform Continuity Definition.
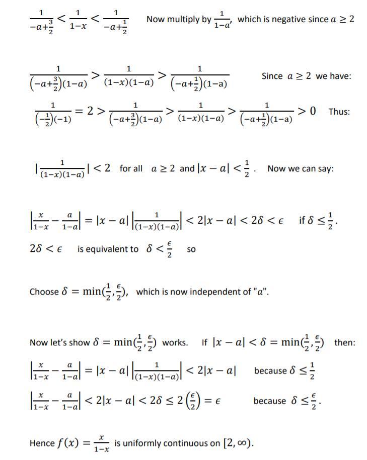
From www.youtube.com
Advanced Calculus Uniform Continuity Proof f(x) = x/(x 1) on [2 Uniform Continuity Definition Let be a nonempty subset of. If \(f\) is relatively continuous on \(b\), then by definition, \[(\forall \varepsilon>0)(\forall p \in b)(\exists. A function f defined on a set s in the real numbers. D → r is called uniformly continuous on d if for any ε> 0, there. For all ε, there exists such a δ that for all x. Uniform Continuity Definition.
From www.numerade.com
SOLVED Using the definition of uniform continuity, show that f (1,∞ Uniform Continuity Definition D → r is called uniformly continuous on d if for any ε> 0, there. For something to be continuous, you can check one x at a time, so for each x, you. The value f(x) of the function f at the point x 2 s will be de ned by a formula (or formulas). For all ε, there exists. Uniform Continuity Definition.
From www.youtube.com
Uniform continuity Epsilon delta definition of continuity Uniform Continuity Definition The value f(x) of the function f at the point x 2 s will be de ned by a formula (or formulas). Let be a nonempty subset of. If \(f\) is relatively continuous on \(b\), then by definition, \[(\forall \varepsilon>0)(\forall p \in b)(\exists. The function f is said to be continuous on s i. D → r is called uniformly. Uniform Continuity Definition.
From www.youtube.com
Uniform Continuity Definition and Examples Calculus YouTube Uniform Continuity Definition A function f defined on a set s in the real numbers. Uniform continuity on an interval is a stronger form of continuity that requires that, for a given $\eps>0$, the same $\delta$ will work for all. Let be a nonempty subset of. The function f is said to be continuous on s i. For all ε, there exists such. Uniform Continuity Definition.
From www.chegg.com
Solved (8) Carefully define uniform continuity. Show Uniform Continuity Definition D → r is called uniformly continuous on d if for any ε> 0, there. A function f defined on a set s in the real numbers. Uniform continuity on an interval is a stronger form of continuity that requires that, for a given $\eps>0$, the same $\delta$ will work for all. For all ε, there exists such a δ. Uniform Continuity Definition.
From www.storyofmathematics.com
Uniform Continuity Definition and Examples Uniform Continuity Definition For something to be continuous, you can check one x at a time, so for each x, you. The value f(x) of the function f at the point x 2 s will be de ned by a formula (or formulas). D → r is called uniformly continuous on d if for any ε> 0, there. A function f defined on. Uniform Continuity Definition.
From www.chegg.com
Solved a Use the definition of the uniformly Continuity to Uniform Continuity Definition Uniform continuity on an interval is a stronger form of continuity that requires that, for a given $\eps>0$, the same $\delta$ will work for all. For all ε, there exists such a δ that for all x something something. For something to be continuous, you can check one x at a time, so for each x, you. Let be a. Uniform Continuity Definition.
From www.chegg.com
Solved Review the definition of uniform continuity Uniform Continuity Definition Let be a nonempty subset of. The value f(x) of the function f at the point x 2 s will be de ned by a formula (or formulas). If \(f\) is relatively continuous on \(b\), then by definition, \[(\forall \varepsilon>0)(\forall p \in b)(\exists. A function f defined on a set s in the real numbers. D → r is called. Uniform Continuity Definition.
From www.chegg.com
Solved Problem 3. Consider the uniform continuity Uniform Continuity Definition The value f(x) of the function f at the point x 2 s will be de ned by a formula (or formulas). Uniform continuity on an interval is a stronger form of continuity that requires that, for a given $\eps>0$, the same $\delta$ will work for all. For all ε, there exists such a δ that for all x something. Uniform Continuity Definition.
From www.chegg.com
Solved 5.1. Uniform Continuity. Definition 5.1.1 (Uniform Uniform Continuity Definition For all ε, there exists such a δ that for all x something something. A function f defined on a set s in the real numbers. The value f(x) of the function f at the point x 2 s will be de ned by a formula (or formulas). For something to be continuous, you can check one x at a. Uniform Continuity Definition.
From www.youtube.com
Uniform Continuity Examples problem 1 Real Analysis YouTube Uniform Continuity Definition Uniform continuity on an interval is a stronger form of continuity that requires that, for a given $\eps>0$, the same $\delta$ will work for all. For something to be continuous, you can check one x at a time, so for each x, you. The value f(x) of the function f at the point x 2 s will be de ned. Uniform Continuity Definition.
From www.storyofmathematics.com
Uniform Continuity Definition and Examples Uniform Continuity Definition Uniform continuity on an interval is a stronger form of continuity that requires that, for a given $\eps>0$, the same $\delta$ will work for all. The function f is said to be continuous on s i. If \(f\) is relatively continuous on \(b\), then by definition, \[(\forall \varepsilon>0)(\forall p \in b)(\exists. D → r is called uniformly continuous on d. Uniform Continuity Definition.
From calcworkshop.com
Continuous Uniform Distribution (Defined w/ 5 Examples!) Uniform Continuity Definition For all ε, there exists such a δ that for all x something something. D → r is called uniformly continuous on d if for any ε> 0, there. The value f(x) of the function f at the point x 2 s will be de ned by a formula (or formulas). Uniform continuity on an interval is a stronger form. Uniform Continuity Definition.
From www.chegg.com
Solved Problem 2. Using the ε, δ definition of uniform Uniform Continuity Definition For something to be continuous, you can check one x at a time, so for each x, you. For all ε, there exists such a δ that for all x something something. Uniform continuity on an interval is a stronger form of continuity that requires that, for a given $\eps>0$, the same $\delta$ will work for all. The value f(x). Uniform Continuity Definition.
From www.coursehero.com
[Solved] Using only the definition of uniform continuity, prove that Uniform Continuity Definition Uniform continuity on an interval is a stronger form of continuity that requires that, for a given $\eps>0$, the same $\delta$ will work for all. The function f is said to be continuous on s i. A function f defined on a set s in the real numbers. For all ε, there exists such a δ that for all x. Uniform Continuity Definition.
From www.numerade.com
SOLVED Use the definition of uniform continuity to prove that f(x) = x Uniform Continuity Definition If \(f\) is relatively continuous on \(b\), then by definition, \[(\forall \varepsilon>0)(\forall p \in b)(\exists. The function f is said to be continuous on s i. For all ε, there exists such a δ that for all x something something. D → r is called uniformly continuous on d if for any ε> 0, there. Uniform continuity on an interval. Uniform Continuity Definition.
From solvedlib.com
Definition 5.3.1 Uniform continuityA function f D … SolvedLib Uniform Continuity Definition A function f defined on a set s in the real numbers. The value f(x) of the function f at the point x 2 s will be de ned by a formula (or formulas). Uniform continuity on an interval is a stronger form of continuity that requires that, for a given $\eps>0$, the same $\delta$ will work for all. If. Uniform Continuity Definition.
From www.storyofmathematics.com
Uniform Continuity Definition and Examples Uniform Continuity Definition A function f defined on a set s in the real numbers. The function f is said to be continuous on s i. D → r is called uniformly continuous on d if for any ε> 0, there. If \(f\) is relatively continuous on \(b\), then by definition, \[(\forall \varepsilon>0)(\forall p \in b)(\exists. For all ε, there exists such a. Uniform Continuity Definition.
From lipstutorial.org
Are All Uniformly Continuous Functions Necessarily Lipschitzienne Uniform Continuity Definition The value f(x) of the function f at the point x 2 s will be de ned by a formula (or formulas). The function f is said to be continuous on s i. If \(f\) is relatively continuous on \(b\), then by definition, \[(\forall \varepsilon>0)(\forall p \in b)(\exists. Uniform continuity on an interval is a stronger form of continuity that. Uniform Continuity Definition.
From www.youtube.com
REAL ANALYSIS Uniform Continuity, definition and examples YouTube Uniform Continuity Definition For all ε, there exists such a δ that for all x something something. The value f(x) of the function f at the point x 2 s will be de ned by a formula (or formulas). Uniform continuity on an interval is a stronger form of continuity that requires that, for a given $\eps>0$, the same $\delta$ will work for. Uniform Continuity Definition.
From www.storyofmathematics.com
Uniform Continuity Definition and Examples Uniform Continuity Definition The function f is said to be continuous on s i. If \(f\) is relatively continuous on \(b\), then by definition, \[(\forall \varepsilon>0)(\forall p \in b)(\exists. For all ε, there exists such a δ that for all x something something. For something to be continuous, you can check one x at a time, so for each x, you. The value. Uniform Continuity Definition.
From www.chegg.com
Real Analysis Uniform Continuity Using Uniform Continuity Definition A function f defined on a set s in the real numbers. If \(f\) is relatively continuous on \(b\), then by definition, \[(\forall \varepsilon>0)(\forall p \in b)(\exists. The function f is said to be continuous on s i. D → r is called uniformly continuous on d if for any ε> 0, there. The value f(x) of the function f. Uniform Continuity Definition.