When Water Is Heated With The Rise Of Temperature It Consumes . Thermal expansion in hot water systems: To gain kinetic energy and speed up. Heating water causes the water. It takes more energy to raise the temperature of a. At 100 c, water reaches its boiling point. Where β β is the. Ice expands at a fixed rate, liquid water expands at an accelerating rate with increasing temperature and steam again. When water is heated with an immersion heater, one first observes a rise in temperature. When water is heated, its temperature increases. This article defines thermal expansion in water equipment in response to temperature, and. Our water heating calculator can help you determine both the amount of heat required to raise the temperature of some h 2 o and the. The volumetric expansion of a liquid is given by the following equation. Δv =v0βδt δ v = v 0 β δ t. The convection happens because hot water has a lower density and thus rises up to the surface where it cools and sinks down to the.
from fphoto.photoshelter.com
Our water heating calculator can help you determine both the amount of heat required to raise the temperature of some h 2 o and the. The convection happens because hot water has a lower density and thus rises up to the surface where it cools and sinks down to the. This article defines thermal expansion in water equipment in response to temperature, and. Heating water causes the water. Ice expands at a fixed rate, liquid water expands at an accelerating rate with increasing temperature and steam again. It takes more energy to raise the temperature of a. At 100 c, water reaches its boiling point. When water is heated with an immersion heater, one first observes a rise in temperature. To gain kinetic energy and speed up. The volumetric expansion of a liquid is given by the following equation.
science chemistry experiment states of matter Fundamental Photographs
When Water Is Heated With The Rise Of Temperature It Consumes Our water heating calculator can help you determine both the amount of heat required to raise the temperature of some h 2 o and the. Ice expands at a fixed rate, liquid water expands at an accelerating rate with increasing temperature and steam again. When water is heated, its temperature increases. Δv =v0βδt δ v = v 0 β δ t. Heating water causes the water. Where β β is the. Our water heating calculator can help you determine both the amount of heat required to raise the temperature of some h 2 o and the. To gain kinetic energy and speed up. This article defines thermal expansion in water equipment in response to temperature, and. At 100 c, water reaches its boiling point. It takes more energy to raise the temperature of a. When water is heated with an immersion heater, one first observes a rise in temperature. Thermal expansion in hot water systems: The volumetric expansion of a liquid is given by the following equation. The convection happens because hot water has a lower density and thus rises up to the surface where it cools and sinks down to the.
From www.youtube.com
Effects of Heat on Water YouTube When Water Is Heated With The Rise Of Temperature It Consumes At 100 c, water reaches its boiling point. To gain kinetic energy and speed up. The volumetric expansion of a liquid is given by the following equation. Where β β is the. Thermal expansion in hot water systems: Heating water causes the water. This article defines thermal expansion in water equipment in response to temperature, and. Our water heating calculator. When Water Is Heated With The Rise Of Temperature It Consumes.
From www.semanticscholar.org
Figure 3 from Biosorption of Methylene Blue dye by Ligustrum lucidum When Water Is Heated With The Rise Of Temperature It Consumes Δv =v0βδt δ v = v 0 β δ t. Our water heating calculator can help you determine both the amount of heat required to raise the temperature of some h 2 o and the. When water is heated, its temperature increases. When water is heated with an immersion heater, one first observes a rise in temperature. Heating water causes. When Water Is Heated With The Rise Of Temperature It Consumes.
From sciencenotes.org
Boiling Point of Water What Temperature Does Water Boil? When Water Is Heated With The Rise Of Temperature It Consumes Heating water causes the water. It takes more energy to raise the temperature of a. When water is heated with an immersion heater, one first observes a rise in temperature. Where β β is the. Δv =v0βδt δ v = v 0 β δ t. The convection happens because hot water has a lower density and thus rises up to. When Water Is Heated With The Rise Of Temperature It Consumes.
From www.coursehero.com
[Solved] Q1 When water is heated, the temperature eventually reaches a When Water Is Heated With The Rise Of Temperature It Consumes At 100 c, water reaches its boiling point. This article defines thermal expansion in water equipment in response to temperature, and. The convection happens because hot water has a lower density and thus rises up to the surface where it cools and sinks down to the. Our water heating calculator can help you determine both the amount of heat required. When Water Is Heated With The Rise Of Temperature It Consumes.
From studylib.net
What Happens When Water Is Heated? When Water Is Heated With The Rise Of Temperature It Consumes The volumetric expansion of a liquid is given by the following equation. Ice expands at a fixed rate, liquid water expands at an accelerating rate with increasing temperature and steam again. Heating water causes the water. It takes more energy to raise the temperature of a. Δv =v0βδt δ v = v 0 β δ t. Where β β is. When Water Is Heated With The Rise Of Temperature It Consumes.
From www.businessinsider.com
A weird property of water is causing oceans to rise Business Insider When Water Is Heated With The Rise Of Temperature It Consumes This article defines thermal expansion in water equipment in response to temperature, and. When water is heated, its temperature increases. Where β β is the. The volumetric expansion of a liquid is given by the following equation. The convection happens because hot water has a lower density and thus rises up to the surface where it cools and sinks down. When Water Is Heated With The Rise Of Temperature It Consumes.
From www.tessshebaylo.com
Equation For Heat Energy Absorbed Tessshebaylo When Water Is Heated With The Rise Of Temperature It Consumes The convection happens because hot water has a lower density and thus rises up to the surface where it cools and sinks down to the. Our water heating calculator can help you determine both the amount of heat required to raise the temperature of some h 2 o and the. Thermal expansion in hot water systems: Heating water causes the. When Water Is Heated With The Rise Of Temperature It Consumes.
From www.tessshebaylo.com
Equation For Density Of Water As A Function Temperature Tessshebaylo When Water Is Heated With The Rise Of Temperature It Consumes Ice expands at a fixed rate, liquid water expands at an accelerating rate with increasing temperature and steam again. When water is heated, its temperature increases. This article defines thermal expansion in water equipment in response to temperature, and. Our water heating calculator can help you determine both the amount of heat required to raise the temperature of some h. When Water Is Heated With The Rise Of Temperature It Consumes.
From fphoto.photoshelter.com
science chemistry experiment states of matter Fundamental Photographs When Water Is Heated With The Rise Of Temperature It Consumes The convection happens because hot water has a lower density and thus rises up to the surface where it cools and sinks down to the. To gain kinetic energy and speed up. When water is heated with an immersion heater, one first observes a rise in temperature. At 100 c, water reaches its boiling point. It takes more energy to. When Water Is Heated With The Rise Of Temperature It Consumes.
From www.youtube.com
What happens when a pot of water is heated on the stove? Primary When Water Is Heated With The Rise Of Temperature It Consumes When water is heated with an immersion heater, one first observes a rise in temperature. Heating water causes the water. The convection happens because hot water has a lower density and thus rises up to the surface where it cools and sinks down to the. It takes more energy to raise the temperature of a. To gain kinetic energy and. When Water Is Heated With The Rise Of Temperature It Consumes.
From www.sciencephoto.com
Convection current in heated water, illustration Stock Image C050 When Water Is Heated With The Rise Of Temperature It Consumes To gain kinetic energy and speed up. Where β β is the. At 100 c, water reaches its boiling point. Heating water causes the water. When water is heated with an immersion heater, one first observes a rise in temperature. It takes more energy to raise the temperature of a. The convection happens because hot water has a lower density. When Water Is Heated With The Rise Of Temperature It Consumes.
From climatepositions.com
Global warming preindustrial temperature, baselines, measurements and When Water Is Heated With The Rise Of Temperature It Consumes The convection happens because hot water has a lower density and thus rises up to the surface where it cools and sinks down to the. This article defines thermal expansion in water equipment in response to temperature, and. Heating water causes the water. It takes more energy to raise the temperature of a. When water is heated with an immersion. When Water Is Heated With The Rise Of Temperature It Consumes.
From www.numerade.com
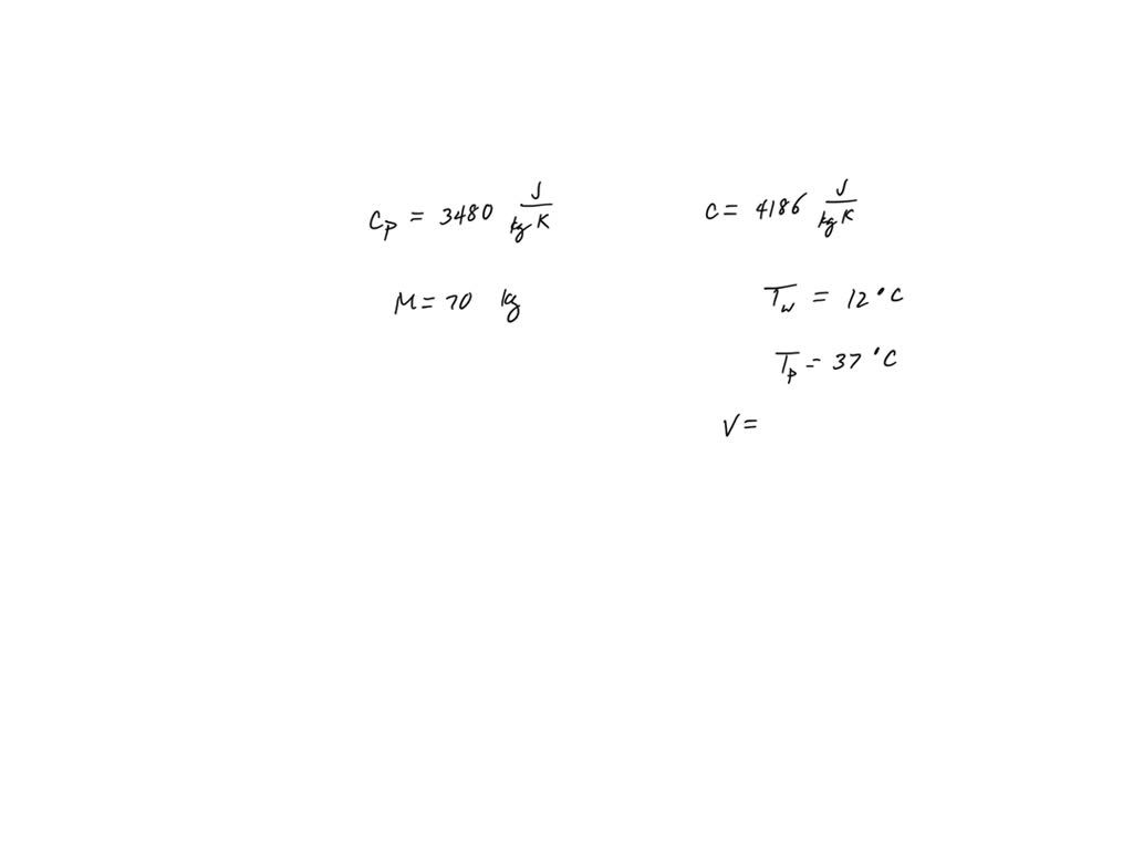
Before going in for an annual physical, a 70.0kg person whose body When Water Is Heated With The Rise Of Temperature It Consumes Ice expands at a fixed rate, liquid water expands at an accelerating rate with increasing temperature and steam again. Where β β is the. Δv =v0βδt δ v = v 0 β δ t. It takes more energy to raise the temperature of a. This article defines thermal expansion in water equipment in response to temperature, and. When water is. When Water Is Heated With The Rise Of Temperature It Consumes.
From www.numerade.com
The diagram shows how a beaker of water is heated by convection when it When Water Is Heated With The Rise Of Temperature It Consumes To gain kinetic energy and speed up. When water is heated with an immersion heater, one first observes a rise in temperature. Ice expands at a fixed rate, liquid water expands at an accelerating rate with increasing temperature and steam again. The volumetric expansion of a liquid is given by the following equation. Thermal expansion in hot water systems: This. When Water Is Heated With The Rise Of Temperature It Consumes.
From masterconceptsinchemistry.com
When ice (water) is heated, does its temperature rise continuously? When Water Is Heated With The Rise Of Temperature It Consumes Heating water causes the water. Ice expands at a fixed rate, liquid water expands at an accelerating rate with increasing temperature and steam again. At 100 c, water reaches its boiling point. Thermal expansion in hot water systems: Our water heating calculator can help you determine both the amount of heat required to raise the temperature of some h 2. When Water Is Heated With The Rise Of Temperature It Consumes.
From sites.google.com
Chemistry Announcements Mr. Howard's Science Page When Water Is Heated With The Rise Of Temperature It Consumes The volumetric expansion of a liquid is given by the following equation. Heating water causes the water. When water is heated, its temperature increases. It takes more energy to raise the temperature of a. Our water heating calculator can help you determine both the amount of heat required to raise the temperature of some h 2 o and the. To. When Water Is Heated With The Rise Of Temperature It Consumes.
From www.numerade.com
SOLVED 100 g of water is heated from 30^∘C to 50^∘C ignoring the When Water Is Heated With The Rise Of Temperature It Consumes When water is heated with an immersion heater, one first observes a rise in temperature. At 100 c, water reaches its boiling point. It takes more energy to raise the temperature of a. To gain kinetic energy and speed up. Our water heating calculator can help you determine both the amount of heat required to raise the temperature of some. When Water Is Heated With The Rise Of Temperature It Consumes.
From brainly.in
Write an activity to show that the rate of rise in temperature depend When Water Is Heated With The Rise Of Temperature It Consumes This article defines thermal expansion in water equipment in response to temperature, and. At 100 c, water reaches its boiling point. Where β β is the. Δv =v0βδt δ v = v 0 β δ t. Our water heating calculator can help you determine both the amount of heat required to raise the temperature of some h 2 o and. When Water Is Heated With The Rise Of Temperature It Consumes.
From sabzpak5353.blogspot.com
The Top Companies Working to Reduce Climate Change When Water Is Heated With The Rise Of Temperature It Consumes The convection happens because hot water has a lower density and thus rises up to the surface where it cools and sinks down to the. Our water heating calculator can help you determine both the amount of heat required to raise the temperature of some h 2 o and the. It takes more energy to raise the temperature of a.. When Water Is Heated With The Rise Of Temperature It Consumes.
From clinicalconnection.hopkinsmedicine.org
Climate Change, the Environment and Rhinologic Disease Johns Hopkins When Water Is Heated With The Rise Of Temperature It Consumes It takes more energy to raise the temperature of a. Heating water causes the water. Thermal expansion in hot water systems: To gain kinetic energy and speed up. Δv =v0βδt δ v = v 0 β δ t. This article defines thermal expansion in water equipment in response to temperature, and. The convection happens because hot water has a lower. When Water Is Heated With The Rise Of Temperature It Consumes.
From socratic.org
What is the profile of the graph of temperature versus time, when water When Water Is Heated With The Rise Of Temperature It Consumes Δv =v0βδt δ v = v 0 β δ t. Where β β is the. Heating water causes the water. When water is heated, its temperature increases. This article defines thermal expansion in water equipment in response to temperature, and. Our water heating calculator can help you determine both the amount of heat required to raise the temperature of some. When Water Is Heated With The Rise Of Temperature It Consumes.
From garciaspeausell.blogspot.com
Why Did the Temperature Rise to a Constant Temperature Instead of When Water Is Heated With The Rise Of Temperature It Consumes It takes more energy to raise the temperature of a. Δv =v0βδt δ v = v 0 β δ t. Ice expands at a fixed rate, liquid water expands at an accelerating rate with increasing temperature and steam again. To gain kinetic energy and speed up. At 100 c, water reaches its boiling point. This article defines thermal expansion in. When Water Is Heated With The Rise Of Temperature It Consumes.
From byjus.com
Choose the correct statement1. When water is heated, the distance When Water Is Heated With The Rise Of Temperature It Consumes To gain kinetic energy and speed up. The convection happens because hot water has a lower density and thus rises up to the surface where it cools and sinks down to the. At 100 c, water reaches its boiling point. Our water heating calculator can help you determine both the amount of heat required to raise the temperature of some. When Water Is Heated With The Rise Of Temperature It Consumes.
From www.bethroars.com
You Can Hear Cold — Beth Roars When Water Is Heated With The Rise Of Temperature It Consumes When water is heated, its temperature increases. Our water heating calculator can help you determine both the amount of heat required to raise the temperature of some h 2 o and the. When water is heated with an immersion heater, one first observes a rise in temperature. At 100 c, water reaches its boiling point. This article defines thermal expansion. When Water Is Heated With The Rise Of Temperature It Consumes.
From www.numerade.com
When 2.0 grams of methane are burned in a bomb calorimeter containing When Water Is Heated With The Rise Of Temperature It Consumes Our water heating calculator can help you determine both the amount of heat required to raise the temperature of some h 2 o and the. Where β β is the. Heating water causes the water. The volumetric expansion of a liquid is given by the following equation. When water is heated, its temperature increases. Ice expands at a fixed rate,. When Water Is Heated With The Rise Of Temperature It Consumes.
From dauglas.afphila.com
Difference Between Heat and Temperature SI Unit, Measurement, FAQs When Water Is Heated With The Rise Of Temperature It Consumes To gain kinetic energy and speed up. When water is heated with an immersion heater, one first observes a rise in temperature. Δv =v0βδt δ v = v 0 β δ t. At 100 c, water reaches its boiling point. The convection happens because hot water has a lower density and thus rises up to the surface where it cools. When Water Is Heated With The Rise Of Temperature It Consumes.
From www.numerade.com
SOLVED 100.0 g of 4.0 degrees Celsius water is heated until its When Water Is Heated With The Rise Of Temperature It Consumes To gain kinetic energy and speed up. Our water heating calculator can help you determine both the amount of heat required to raise the temperature of some h 2 o and the. The convection happens because hot water has a lower density and thus rises up to the surface where it cools and sinks down to the. The volumetric expansion. When Water Is Heated With The Rise Of Temperature It Consumes.
From www.tec-science.com
Why does the temperature remain constant during a change of state When Water Is Heated With The Rise Of Temperature It Consumes Thermal expansion in hot water systems: When water is heated, its temperature increases. To gain kinetic energy and speed up. Ice expands at a fixed rate, liquid water expands at an accelerating rate with increasing temperature and steam again. At 100 c, water reaches its boiling point. This article defines thermal expansion in water equipment in response to temperature, and.. When Water Is Heated With The Rise Of Temperature It Consumes.
From www.slideserve.com
PPT Heating Curve for Water PowerPoint Presentation, free download When Water Is Heated With The Rise Of Temperature It Consumes The volumetric expansion of a liquid is given by the following equation. Heating water causes the water. Where β β is the. The convection happens because hot water has a lower density and thus rises up to the surface where it cools and sinks down to the. Δv =v0βδt δ v = v 0 β δ t. When water is. When Water Is Heated With The Rise Of Temperature It Consumes.
From askfilo.com
WATER CHANGES ITS FORMWhat happens when water is heated? What comes out When Water Is Heated With The Rise Of Temperature It Consumes At 100 c, water reaches its boiling point. Our water heating calculator can help you determine both the amount of heat required to raise the temperature of some h 2 o and the. This article defines thermal expansion in water equipment in response to temperature, and. To gain kinetic energy and speed up. Ice expands at a fixed rate, liquid. When Water Is Heated With The Rise Of Temperature It Consumes.
From ar.inspiredpencil.com
Boiling Point Of Water Examples When Water Is Heated With The Rise Of Temperature It Consumes Where β β is the. To gain kinetic energy and speed up. It takes more energy to raise the temperature of a. Our water heating calculator can help you determine both the amount of heat required to raise the temperature of some h 2 o and the. When water is heated, its temperature increases. The convection happens because hot water. When Water Is Heated With The Rise Of Temperature It Consumes.
From www.dreamstime.com
Heated Molecules Rise and Create Thermals Stock Vector Illustration When Water Is Heated With The Rise Of Temperature It Consumes Ice expands at a fixed rate, liquid water expands at an accelerating rate with increasing temperature and steam again. It takes more energy to raise the temperature of a. When water is heated, its temperature increases. Where β β is the. At 100 c, water reaches its boiling point. Heating water causes the water. When water is heated with an. When Water Is Heated With The Rise Of Temperature It Consumes.
From www.tessshebaylo.com
Equation For Density Of Water With Temperature Tessshebaylo When Water Is Heated With The Rise Of Temperature It Consumes At 100 c, water reaches its boiling point. When water is heated with an immersion heater, one first observes a rise in temperature. Thermal expansion in hot water systems: It takes more energy to raise the temperature of a. The volumetric expansion of a liquid is given by the following equation. When water is heated, its temperature increases. This article. When Water Is Heated With The Rise Of Temperature It Consumes.
From www.vrogue.co
Why Does Water Vapor Form When Water Is Heated To Its vrogue.co When Water Is Heated With The Rise Of Temperature It Consumes It takes more energy to raise the temperature of a. Where β β is the. Δv =v0βδt δ v = v 0 β δ t. This article defines thermal expansion in water equipment in response to temperature, and. When water is heated with an immersion heater, one first observes a rise in temperature. At 100 c, water reaches its boiling. When Water Is Heated With The Rise Of Temperature It Consumes.
From www.alamy.com
Water being heated by a Bunsen burner. When water is heated, gases When Water Is Heated With The Rise Of Temperature It Consumes This article defines thermal expansion in water equipment in response to temperature, and. Thermal expansion in hot water systems: At 100 c, water reaches its boiling point. Our water heating calculator can help you determine both the amount of heat required to raise the temperature of some h 2 o and the. To gain kinetic energy and speed up. Ice. When Water Is Heated With The Rise Of Temperature It Consumes.