Apartment Snow Removal Policy . Snow and ice that accumulates during the day should be cleared on the same day. in addition to varying by jurisdiction, responsibility for snow removal can vary by type of real estate. snow removal laws basically task the property owner with the responsibility of cleaning any public walkways or sidewalks of snow and ice. if the resident or the property owner is responsible for snow removal, you may consider including that the tenant is responsible for snow. begin by checking your local laws and then craft a snow removal clause in your lease.
from www.fallschurchva.gov
snow removal laws basically task the property owner with the responsibility of cleaning any public walkways or sidewalks of snow and ice. if the resident or the property owner is responsible for snow removal, you may consider including that the tenant is responsible for snow. begin by checking your local laws and then craft a snow removal clause in your lease. Snow and ice that accumulates during the day should be cleared on the same day. in addition to varying by jurisdiction, responsibility for snow removal can vary by type of real estate.
Snow Removal Policies Falls Church, VA Official site
Apartment Snow Removal Policy if the resident or the property owner is responsible for snow removal, you may consider including that the tenant is responsible for snow. Snow and ice that accumulates during the day should be cleared on the same day. in addition to varying by jurisdiction, responsibility for snow removal can vary by type of real estate. begin by checking your local laws and then craft a snow removal clause in your lease. if the resident or the property owner is responsible for snow removal, you may consider including that the tenant is responsible for snow. snow removal laws basically task the property owner with the responsibility of cleaning any public walkways or sidewalks of snow and ice.
From www.pinterest.com
The Advantages of Letting Professionals Do the Snow Removal Apartment Snow Removal Policy in addition to varying by jurisdiction, responsibility for snow removal can vary by type of real estate. Snow and ice that accumulates during the day should be cleared on the same day. if the resident or the property owner is responsible for snow removal, you may consider including that the tenant is responsible for snow. begin by. Apartment Snow Removal Policy.
From www.msn.com
Residential Snow Removal Meetinghouse Rd Apartment Snow Removal Policy if the resident or the property owner is responsible for snow removal, you may consider including that the tenant is responsible for snow. snow removal laws basically task the property owner with the responsibility of cleaning any public walkways or sidewalks of snow and ice. begin by checking your local laws and then craft a snow removal. Apartment Snow Removal Policy.
From legaltemplates.net
Free Snow Removal Contract Template PDF & Word Apartment Snow Removal Policy Snow and ice that accumulates during the day should be cleared on the same day. snow removal laws basically task the property owner with the responsibility of cleaning any public walkways or sidewalks of snow and ice. begin by checking your local laws and then craft a snow removal clause in your lease. if the resident or. Apartment Snow Removal Policy.
From www.reddit.com
Apartment management doesn't handle snow removal. r/StLouis Apartment Snow Removal Policy Snow and ice that accumulates during the day should be cleared on the same day. if the resident or the property owner is responsible for snow removal, you may consider including that the tenant is responsible for snow. snow removal laws basically task the property owner with the responsibility of cleaning any public walkways or sidewalks of snow. Apartment Snow Removal Policy.
From leraytownshipmn.com
Snow Removal Policy 2021 LeRay Township Apartment Snow Removal Policy in addition to varying by jurisdiction, responsibility for snow removal can vary by type of real estate. begin by checking your local laws and then craft a snow removal clause in your lease. if the resident or the property owner is responsible for snow removal, you may consider including that the tenant is responsible for snow. . Apartment Snow Removal Policy.
From studylib.net
SAMPLE SNOW REMOVAL PLAN AND POLICIES Apartment Snow Removal Policy Snow and ice that accumulates during the day should be cleared on the same day. begin by checking your local laws and then craft a snow removal clause in your lease. in addition to varying by jurisdiction, responsibility for snow removal can vary by type of real estate. snow removal laws basically task the property owner with. Apartment Snow Removal Policy.
From www.kglandscape.com
Why Apartment Buildings Need Professional Snow Removal Apartment Snow Removal Policy in addition to varying by jurisdiction, responsibility for snow removal can vary by type of real estate. begin by checking your local laws and then craft a snow removal clause in your lease. Snow and ice that accumulates during the day should be cleared on the same day. snow removal laws basically task the property owner with. Apartment Snow Removal Policy.
From studylib.net
snow removal policy Apartment Snow Removal Policy if the resident or the property owner is responsible for snow removal, you may consider including that the tenant is responsible for snow. in addition to varying by jurisdiction, responsibility for snow removal can vary by type of real estate. begin by checking your local laws and then craft a snow removal clause in your lease. . Apartment Snow Removal Policy.
From minasinternational.org
Editable Free Snow Removal Contract Template Samples Word Pdf Snow Apartment Snow Removal Policy Snow and ice that accumulates during the day should be cleared on the same day. begin by checking your local laws and then craft a snow removal clause in your lease. if the resident or the property owner is responsible for snow removal, you may consider including that the tenant is responsible for snow. snow removal laws. Apartment Snow Removal Policy.
From ikase.us
Printable Snow Removal Contract Templates Addictionary Snow Removal Apartment Snow Removal Policy snow removal laws basically task the property owner with the responsibility of cleaning any public walkways or sidewalks of snow and ice. in addition to varying by jurisdiction, responsibility for snow removal can vary by type of real estate. Snow and ice that accumulates during the day should be cleared on the same day. begin by checking. Apartment Snow Removal Policy.
From eforms.com
Free Snow Removal Contract Template Samples (3) PDF Word eForms Apartment Snow Removal Policy begin by checking your local laws and then craft a snow removal clause in your lease. if the resident or the property owner is responsible for snow removal, you may consider including that the tenant is responsible for snow. snow removal laws basically task the property owner with the responsibility of cleaning any public walkways or sidewalks. Apartment Snow Removal Policy.
From www.slatterhoamanagement.com
Familiarize yourself with your HOA snow removal policy before winter Apartment Snow Removal Policy in addition to varying by jurisdiction, responsibility for snow removal can vary by type of real estate. snow removal laws basically task the property owner with the responsibility of cleaning any public walkways or sidewalks of snow and ice. Snow and ice that accumulates during the day should be cleared on the same day. if the resident. Apartment Snow Removal Policy.
From www.michianacommerciallandscaping.com
Apartment Complex Snow Removal Commercial Landscaping Granger, IN Apartment Snow Removal Policy if the resident or the property owner is responsible for snow removal, you may consider including that the tenant is responsible for snow. in addition to varying by jurisdiction, responsibility for snow removal can vary by type of real estate. Snow and ice that accumulates during the day should be cleared on the same day. snow removal. Apartment Snow Removal Policy.
From www.fallschurchva.gov
Snow Removal Policies Falls Church, VA Official site Apartment Snow Removal Policy begin by checking your local laws and then craft a snow removal clause in your lease. snow removal laws basically task the property owner with the responsibility of cleaning any public walkways or sidewalks of snow and ice. in addition to varying by jurisdiction, responsibility for snow removal can vary by type of real estate. Snow and. Apartment Snow Removal Policy.
From www.pinterest.com
Snow Removal Flyer Templates Snow removal, Flyer template, Business Apartment Snow Removal Policy in addition to varying by jurisdiction, responsibility for snow removal can vary by type of real estate. Snow and ice that accumulates during the day should be cleared on the same day. snow removal laws basically task the property owner with the responsibility of cleaning any public walkways or sidewalks of snow and ice. begin by checking. Apartment Snow Removal Policy.
From studylib.net
Snow Removal Procedures Apartment Snow Removal Policy in addition to varying by jurisdiction, responsibility for snow removal can vary by type of real estate. if the resident or the property owner is responsible for snow removal, you may consider including that the tenant is responsible for snow. Snow and ice that accumulates during the day should be cleared on the same day. snow removal. Apartment Snow Removal Policy.
From www.etsy.com
Snow Removal Service Contract Snow Removal Service Agreements Simple Apartment Snow Removal Policy snow removal laws basically task the property owner with the responsibility of cleaning any public walkways or sidewalks of snow and ice. Snow and ice that accumulates during the day should be cleared on the same day. begin by checking your local laws and then craft a snow removal clause in your lease. if the resident or. Apartment Snow Removal Policy.
From www.highlevel.ca
Snow Removal High Level, AB Apartment Snow Removal Policy snow removal laws basically task the property owner with the responsibility of cleaning any public walkways or sidewalks of snow and ice. begin by checking your local laws and then craft a snow removal clause in your lease. Snow and ice that accumulates during the day should be cleared on the same day. in addition to varying. Apartment Snow Removal Policy.
From www.zillow.com
Who Is Responsible for Snow Removal at a Rental Property? Apartment Snow Removal Policy if the resident or the property owner is responsible for snow removal, you may consider including that the tenant is responsible for snow. in addition to varying by jurisdiction, responsibility for snow removal can vary by type of real estate. begin by checking your local laws and then craft a snow removal clause in your lease. . Apartment Snow Removal Policy.
From www.townofmead.org
Snow and Ice Control Mead, Colorado Apartment Snow Removal Policy if the resident or the property owner is responsible for snow removal, you may consider including that the tenant is responsible for snow. Snow and ice that accumulates during the day should be cleared on the same day. in addition to varying by jurisdiction, responsibility for snow removal can vary by type of real estate. snow removal. Apartment Snow Removal Policy.
From www.cityofisanti.us
Snow Removal Policy and Procedures Isanti MN Apartment Snow Removal Policy in addition to varying by jurisdiction, responsibility for snow removal can vary by type of real estate. if the resident or the property owner is responsible for snow removal, you may consider including that the tenant is responsible for snow. Snow and ice that accumulates during the day should be cleared on the same day. begin by. Apartment Snow Removal Policy.
From www.sfiveband.com
Free Snow Plowing Contract Templates Apartment Snow Removal Policy snow removal laws basically task the property owner with the responsibility of cleaning any public walkways or sidewalks of snow and ice. begin by checking your local laws and then craft a snow removal clause in your lease. in addition to varying by jurisdiction, responsibility for snow removal can vary by type of real estate. Snow and. Apartment Snow Removal Policy.
From toledosnowcontrol.com
Snow Removal Laws For My Rental Property Toledo Snow Control Apartment Snow Removal Policy in addition to varying by jurisdiction, responsibility for snow removal can vary by type of real estate. if the resident or the property owner is responsible for snow removal, you may consider including that the tenant is responsible for snow. snow removal laws basically task the property owner with the responsibility of cleaning any public walkways or. Apartment Snow Removal Policy.
From stationaryconcretemixingplants.com
How to Write a Snow Removal Contract [with Free Templates] / Snow Apartment Snow Removal Policy in addition to varying by jurisdiction, responsibility for snow removal can vary by type of real estate. begin by checking your local laws and then craft a snow removal clause in your lease. Snow and ice that accumulates during the day should be cleared on the same day. if the resident or the property owner is responsible. Apartment Snow Removal Policy.
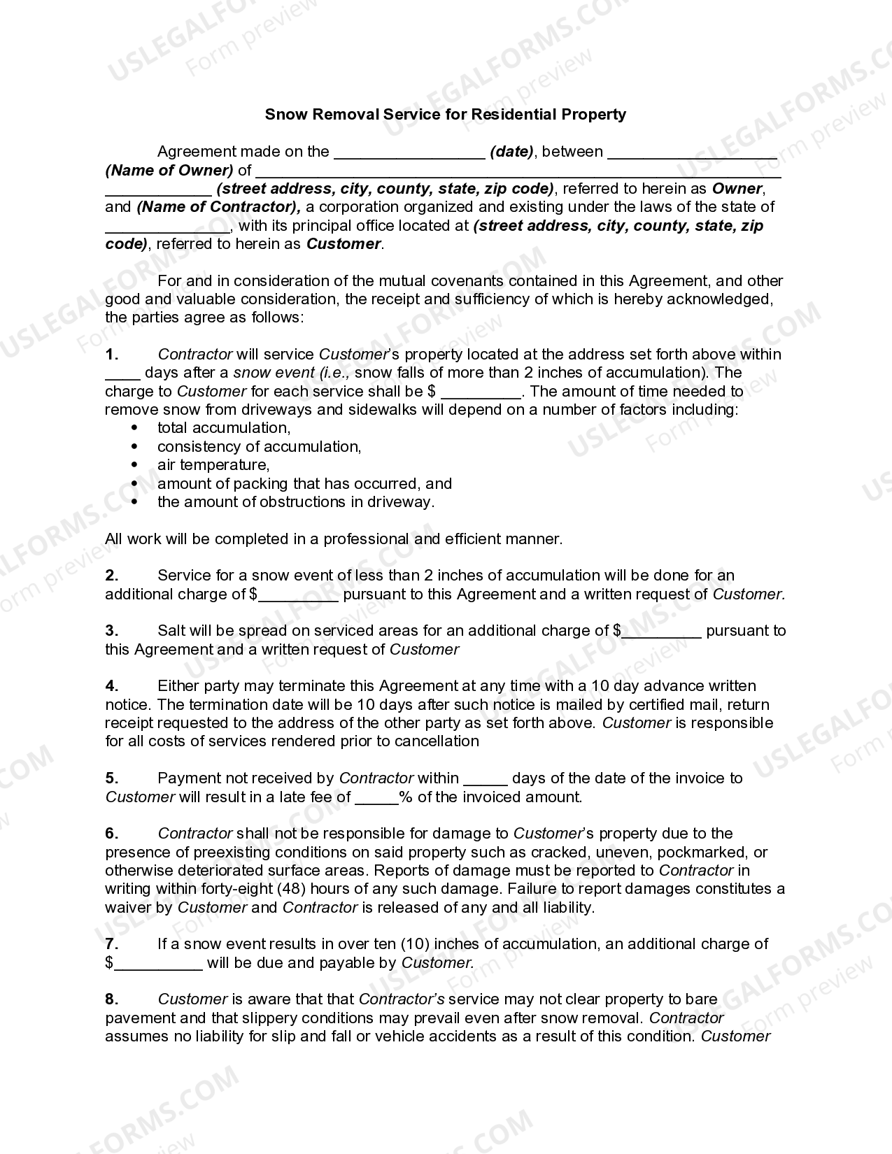
From www.uslegalforms.com
Virginia Snow Removal Service for Residential Property US Legal Forms Apartment Snow Removal Policy Snow and ice that accumulates during the day should be cleared on the same day. begin by checking your local laws and then craft a snow removal clause in your lease. in addition to varying by jurisdiction, responsibility for snow removal can vary by type of real estate. if the resident or the property owner is responsible. Apartment Snow Removal Policy.
From www.dochub.com
Snow removal agreement Fill out & sign online DocHub Apartment Snow Removal Policy if the resident or the property owner is responsible for snow removal, you may consider including that the tenant is responsible for snow. begin by checking your local laws and then craft a snow removal clause in your lease. snow removal laws basically task the property owner with the responsibility of cleaning any public walkways or sidewalks. Apartment Snow Removal Policy.
From www.payrent.com
Rental Snow Removal Policy and Notice to Tenants PayRent Apartment Snow Removal Policy if the resident or the property owner is responsible for snow removal, you may consider including that the tenant is responsible for snow. snow removal laws basically task the property owner with the responsibility of cleaning any public walkways or sidewalks of snow and ice. begin by checking your local laws and then craft a snow removal. Apartment Snow Removal Policy.
From studylib.net
Sample.Snow Removal Policy Tenant Letter.NCCH Apartment Snow Removal Policy snow removal laws basically task the property owner with the responsibility of cleaning any public walkways or sidewalks of snow and ice. in addition to varying by jurisdiction, responsibility for snow removal can vary by type of real estate. begin by checking your local laws and then craft a snow removal clause in your lease. if. Apartment Snow Removal Policy.
From city-woodlandpark.org
Snow Removal Policy Woodland Park, CO Apartment Snow Removal Policy snow removal laws basically task the property owner with the responsibility of cleaning any public walkways or sidewalks of snow and ice. if the resident or the property owner is responsible for snow removal, you may consider including that the tenant is responsible for snow. in addition to varying by jurisdiction, responsibility for snow removal can vary. Apartment Snow Removal Policy.
From www.fbfs.com
Finding the Right Coverage for Your Snow Removal Business Farm Bureau Apartment Snow Removal Policy snow removal laws basically task the property owner with the responsibility of cleaning any public walkways or sidewalks of snow and ice. begin by checking your local laws and then craft a snow removal clause in your lease. Snow and ice that accumulates during the day should be cleared on the same day. in addition to varying. Apartment Snow Removal Policy.
From www.elkpoint.ca
SNOW REMOVAL REMINDER Town of Elk Point Apartment Snow Removal Policy begin by checking your local laws and then craft a snow removal clause in your lease. snow removal laws basically task the property owner with the responsibility of cleaning any public walkways or sidewalks of snow and ice. in addition to varying by jurisdiction, responsibility for snow removal can vary by type of real estate. if. Apartment Snow Removal Policy.
From sample-templates123.com
Everything You Need To Know About Drafting A Residential Snow Removal Apartment Snow Removal Policy if the resident or the property owner is responsible for snow removal, you may consider including that the tenant is responsible for snow. begin by checking your local laws and then craft a snow removal clause in your lease. Snow and ice that accumulates during the day should be cleared on the same day. in addition to. Apartment Snow Removal Policy.
From www.signnow.com
Snow Removal Service for Residential Property Form Fill Out and Sign Apartment Snow Removal Policy Snow and ice that accumulates during the day should be cleared on the same day. in addition to varying by jurisdiction, responsibility for snow removal can vary by type of real estate. begin by checking your local laws and then craft a snow removal clause in your lease. snow removal laws basically task the property owner with. Apartment Snow Removal Policy.
From www.griffinlsr.com
Apartment Snow Removal Edmonton Townhomes, Condominiums and Apartment Snow Removal Policy Snow and ice that accumulates during the day should be cleared on the same day. if the resident or the property owner is responsible for snow removal, you may consider including that the tenant is responsible for snow. snow removal laws basically task the property owner with the responsibility of cleaning any public walkways or sidewalks of snow. Apartment Snow Removal Policy.
From studylib.net
Comprehensive Snow Removal Policy Apartment Snow Removal Policy Snow and ice that accumulates during the day should be cleared on the same day. snow removal laws basically task the property owner with the responsibility of cleaning any public walkways or sidewalks of snow and ice. in addition to varying by jurisdiction, responsibility for snow removal can vary by type of real estate. if the resident. Apartment Snow Removal Policy.