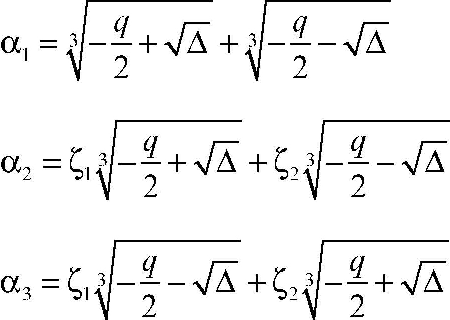
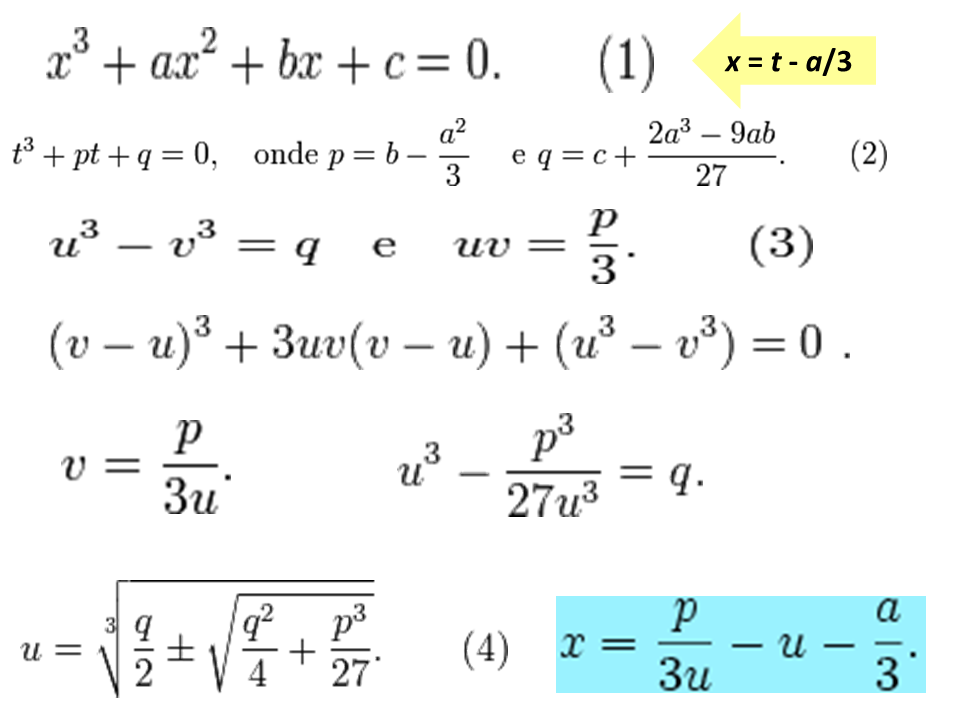
What Is Cardano's Formula . also known as. cubic equations and cardano's formulae. A formula for finding the roots of the general cubic equation over the field of complex. Ax 3 + bx 2 + cx + d = 0. cardano's method provides a technique for solving the general cubic equation. D (where a 6= 0): The solution of ax 3 +bx 2 +cx+d=0 is. Cardano's formula is also sometimes seen referred to as cardan's formula, from the english. Consider a cubic equation with the unknown z and xed complex coe. there is an analogous formula for polynomials of degree three:
from pt.slideshare.net
also known as. D (where a 6= 0): The solution of ax 3 +bx 2 +cx+d=0 is. A formula for finding the roots of the general cubic equation over the field of complex. Consider a cubic equation with the unknown z and xed complex coe. Ax 3 + bx 2 + cx + d = 0. cubic equations and cardano's formulae. Cardano's formula is also sometimes seen referred to as cardan's formula, from the english. there is an analogous formula for polynomials of degree three: cardano's method provides a technique for solving the general cubic equation.
Fórmula de cardano para cúbicas
What Is Cardano's Formula Ax 3 + bx 2 + cx + d = 0. also known as. D (where a 6= 0): The solution of ax 3 +bx 2 +cx+d=0 is. cubic equations and cardano's formulae. there is an analogous formula for polynomials of degree three: Consider a cubic equation with the unknown z and xed complex coe. A formula for finding the roots of the general cubic equation over the field of complex. Cardano's formula is also sometimes seen referred to as cardan's formula, from the english. cardano's method provides a technique for solving the general cubic equation. Ax 3 + bx 2 + cx + d = 0.
From eduboom.es
Fórmulas CardanoVieta. Matemáticas 1º de Bachillerato What Is Cardano's Formula D (where a 6= 0): Ax 3 + bx 2 + cx + d = 0. Cardano's formula is also sometimes seen referred to as cardan's formula, from the english. cubic equations and cardano's formulae. cardano's method provides a technique for solving the general cubic equation. The solution of ax 3 +bx 2 +cx+d=0 is. there is. What Is Cardano's Formula.
From riwersun-math.blogspot.com
Conta Comigo A FÓRMULA DE CARDANO What Is Cardano's Formula there is an analogous formula for polynomials of degree three: Cardano's formula is also sometimes seen referred to as cardan's formula, from the english. A formula for finding the roots of the general cubic equation over the field of complex. The solution of ax 3 +bx 2 +cx+d=0 is. cardano's method provides a technique for solving the general. What Is Cardano's Formula.
From www.tessshebaylo.com
Cardano S Formula For Solving Cubic Equations Tessshebaylo What Is Cardano's Formula Ax 3 + bx 2 + cx + d = 0. also known as. Cardano's formula is also sometimes seen referred to as cardan's formula, from the english. cardano's method provides a technique for solving the general cubic equation. D (where a 6= 0): cubic equations and cardano's formulae. Consider a cubic equation with the unknown z. What Is Cardano's Formula.
From fortran-lang.discourse.group
Cardano's solution of the cubic equation Help Fortran Discourse What Is Cardano's Formula cardano's method provides a technique for solving the general cubic equation. Ax 3 + bx 2 + cx + d = 0. Cardano's formula is also sometimes seen referred to as cardan's formula, from the english. Consider a cubic equation with the unknown z and xed complex coe. A formula for finding the roots of the general cubic equation. What Is Cardano's Formula.
From www.treccani.it
Cardano, formule di in "Enciclopedia della Matematica" What Is Cardano's Formula cubic equations and cardano's formulae. Ax 3 + bx 2 + cx + d = 0. also known as. A formula for finding the roots of the general cubic equation over the field of complex. The solution of ax 3 +bx 2 +cx+d=0 is. Cardano's formula is also sometimes seen referred to as cardan's formula, from the english.. What Is Cardano's Formula.
From www.slideserve.com
PPT LPPD PowerPoint Presentation, free download ID5901124 What Is Cardano's Formula A formula for finding the roots of the general cubic equation over the field of complex. cubic equations and cardano's formulae. The solution of ax 3 +bx 2 +cx+d=0 is. Ax 3 + bx 2 + cx + d = 0. there is an analogous formula for polynomials of degree three: also known as. Cardano's formula is. What Is Cardano's Formula.
From www.chegg.com
Solved 3. Cardano's formula for solving a cubic equation What Is Cardano's Formula also known as. The solution of ax 3 +bx 2 +cx+d=0 is. cubic equations and cardano's formulae. cardano's method provides a technique for solving the general cubic equation. there is an analogous formula for polynomials of degree three: Consider a cubic equation with the unknown z and xed complex coe. D (where a 6= 0): A. What Is Cardano's Formula.
From pt.slideshare.net
Fórmula de cardano para cúbicas What Is Cardano's Formula also known as. cubic equations and cardano's formulae. Ax 3 + bx 2 + cx + d = 0. Consider a cubic equation with the unknown z and xed complex coe. A formula for finding the roots of the general cubic equation over the field of complex. D (where a 6= 0): cardano's method provides a technique. What Is Cardano's Formula.
From www.slideserve.com
PPT Chapter 6 Polynomial Equations PowerPoint Presentation, free What Is Cardano's Formula there is an analogous formula for polynomials of degree three: The solution of ax 3 +bx 2 +cx+d=0 is. Consider a cubic equation with the unknown z and xed complex coe. Cardano's formula is also sometimes seen referred to as cardan's formula, from the english. cardano's method provides a technique for solving the general cubic equation. cubic. What Is Cardano's Formula.
From www.youtube.com
Differential Equations Solving A 3rd Order, Homogeneous DE Using What Is Cardano's Formula cardano's method provides a technique for solving the general cubic equation. Consider a cubic equation with the unknown z and xed complex coe. also known as. Ax 3 + bx 2 + cx + d = 0. The solution of ax 3 +bx 2 +cx+d=0 is. A formula for finding the roots of the general cubic equation over. What Is Cardano's Formula.
From gregmath1.medium.com
Cubic Roots Cardano and the Extended Quadratic Equation by Greg What Is Cardano's Formula A formula for finding the roots of the general cubic equation over the field of complex. there is an analogous formula for polynomials of degree three: cardano's method provides a technique for solving the general cubic equation. The solution of ax 3 +bx 2 +cx+d=0 is. also known as. Ax 3 + bx 2 + cx +. What Is Cardano's Formula.
From www.chegg.com
Solved 6, Cardano's formula provides a solution to the What Is Cardano's Formula cardano's method provides a technique for solving the general cubic equation. Ax 3 + bx 2 + cx + d = 0. cubic equations and cardano's formulae. D (where a 6= 0): also known as. there is an analogous formula for polynomials of degree three: A formula for finding the roots of the general cubic equation. What Is Cardano's Formula.
From www.slideserve.com
PPT Complex numbers and function PowerPoint Presentation, free What Is Cardano's Formula there is an analogous formula for polynomials of degree three: Cardano's formula is also sometimes seen referred to as cardan's formula, from the english. D (where a 6= 0): cardano's method provides a technique for solving the general cubic equation. cubic equations and cardano's formulae. The solution of ax 3 +bx 2 +cx+d=0 is. Ax 3 +. What Is Cardano's Formula.
From www.myxxgirl.com
Teorema De Cardano Vieta En Una Ecuacion Cuadratica Concepto Y My XXX What Is Cardano's Formula cardano's method provides a technique for solving the general cubic equation. The solution of ax 3 +bx 2 +cx+d=0 is. Consider a cubic equation with the unknown z and xed complex coe. Cardano's formula is also sometimes seen referred to as cardan's formula, from the english. cubic equations and cardano's formulae. there is an analogous formula for. What Is Cardano's Formula.
From www.chegg.com
Solved Cardano's Method for Solving the Cubic Example Solve What Is Cardano's Formula cardano's method provides a technique for solving the general cubic equation. Consider a cubic equation with the unknown z and xed complex coe. cubic equations and cardano's formulae. Cardano's formula is also sometimes seen referred to as cardan's formula, from the english. The solution of ax 3 +bx 2 +cx+d=0 is. also known as. Ax 3 +. What Is Cardano's Formula.
From www.youtube.com
Solving a cubic equation Cardan's method YouTube What Is Cardano's Formula The solution of ax 3 +bx 2 +cx+d=0 is. D (where a 6= 0): A formula for finding the roots of the general cubic equation over the field of complex. cardano's method provides a technique for solving the general cubic equation. Cardano's formula is also sometimes seen referred to as cardan's formula, from the english. Ax 3 + bx. What Is Cardano's Formula.
From www.slideserve.com
PPT LPPD PowerPoint Presentation, free download ID5901124 What Is Cardano's Formula The solution of ax 3 +bx 2 +cx+d=0 is. Cardano's formula is also sometimes seen referred to as cardan's formula, from the english. cardano's method provides a technique for solving the general cubic equation. Ax 3 + bx 2 + cx + d = 0. also known as. A formula for finding the roots of the general cubic. What Is Cardano's Formula.
From www.chegg.com
Solved 2. In modern notation, Cardano's formula for solving What Is Cardano's Formula also known as. cardano's method provides a technique for solving the general cubic equation. cubic equations and cardano's formulae. The solution of ax 3 +bx 2 +cx+d=0 is. there is an analogous formula for polynomials of degree three: Ax 3 + bx 2 + cx + d = 0. Cardano's formula is also sometimes seen referred. What Is Cardano's Formula.
From www.chegg.com
Solved Cardano's Method for Solving the Cubic Example Solve What Is Cardano's Formula D (where a 6= 0): The solution of ax 3 +bx 2 +cx+d=0 is. cardano's method provides a technique for solving the general cubic equation. Ax 3 + bx 2 + cx + d = 0. cubic equations and cardano's formulae. also known as. there is an analogous formula for polynomials of degree three: Cardano's formula. What Is Cardano's Formula.
From www.researchgate.net
Graphical representation of Cardano’s formula and its relation to What Is Cardano's Formula Consider a cubic equation with the unknown z and xed complex coe. Ax 3 + bx 2 + cx + d = 0. The solution of ax 3 +bx 2 +cx+d=0 is. also known as. D (where a 6= 0): cardano's method provides a technique for solving the general cubic equation. Cardano's formula is also sometimes seen referred. What Is Cardano's Formula.
From www.slideserve.com
PPT Impossible, Imaginary, Useful Complex Numbers PowerPoint What Is Cardano's Formula cubic equations and cardano's formulae. cardano's method provides a technique for solving the general cubic equation. D (where a 6= 0): The solution of ax 3 +bx 2 +cx+d=0 is. A formula for finding the roots of the general cubic equation over the field of complex. Consider a cubic equation with the unknown z and xed complex coe.. What Is Cardano's Formula.
From slideplayer.com
Math 409/409G History of Mathematics Cardano’s Formula. ppt download What Is Cardano's Formula The solution of ax 3 +bx 2 +cx+d=0 is. cubic equations and cardano's formulae. cardano's method provides a technique for solving the general cubic equation. A formula for finding the roots of the general cubic equation over the field of complex. there is an analogous formula for polynomials of degree three: Cardano's formula is also sometimes seen. What Is Cardano's Formula.
From www.youtube.com
Cardan's Method Solving Cubic Equation by Cardano's Method SEM 1 What Is Cardano's Formula cubic equations and cardano's formulae. D (where a 6= 0): cardano's method provides a technique for solving the general cubic equation. A formula for finding the roots of the general cubic equation over the field of complex. Consider a cubic equation with the unknown z and xed complex coe. Ax 3 + bx 2 + cx + d. What Is Cardano's Formula.
From www.chegg.com
Solved 3. Cardano's formula for solving a cubic equation What Is Cardano's Formula A formula for finding the roots of the general cubic equation over the field of complex. cubic equations and cardano's formulae. Cardano's formula is also sometimes seen referred to as cardan's formula, from the english. Ax 3 + bx 2 + cx + d = 0. The solution of ax 3 +bx 2 +cx+d=0 is. also known as.. What Is Cardano's Formula.
From www.researchgate.net
Graphical representation of Cardano’s formula projected onto the What Is Cardano's Formula cubic equations and cardano's formulae. cardano's method provides a technique for solving the general cubic equation. there is an analogous formula for polynomials of degree three: Ax 3 + bx 2 + cx + d = 0. also known as. Consider a cubic equation with the unknown z and xed complex coe. A formula for finding. What Is Cardano's Formula.
From www.chegg.com
Solved 2. Cardano's formula for solving a cubic equation 13 What Is Cardano's Formula The solution of ax 3 +bx 2 +cx+d=0 is. Ax 3 + bx 2 + cx + d = 0. also known as. A formula for finding the roots of the general cubic equation over the field of complex. Cardano's formula is also sometimes seen referred to as cardan's formula, from the english. cardano's method provides a technique. What Is Cardano's Formula.
From www.youtube.com
Teorema de Cardano YouTube What Is Cardano's Formula Ax 3 + bx 2 + cx + d = 0. also known as. Consider a cubic equation with the unknown z and xed complex coe. Cardano's formula is also sometimes seen referred to as cardan's formula, from the english. there is an analogous formula for polynomials of degree three: cardano's method provides a technique for solving. What Is Cardano's Formula.
From www.infinity-economics.org
Cardano’s Formula How To Solve Cubic Equations InfinityEconomics What Is Cardano's Formula also known as. there is an analogous formula for polynomials of degree three: Consider a cubic equation with the unknown z and xed complex coe. Cardano's formula is also sometimes seen referred to as cardan's formula, from the english. A formula for finding the roots of the general cubic equation over the field of complex. cardano's method. What Is Cardano's Formula.
From www.youtube.com
Fórmula de Cardano YouTube What Is Cardano's Formula there is an analogous formula for polynomials of degree three: Cardano's formula is also sometimes seen referred to as cardan's formula, from the english. cubic equations and cardano's formulae. The solution of ax 3 +bx 2 +cx+d=0 is. Consider a cubic equation with the unknown z and xed complex coe. A formula for finding the roots of the. What Is Cardano's Formula.
From www.youtube.com
The Cubic Formula (Cardano's Method) YouTube What Is Cardano's Formula cubic equations and cardano's formulae. Cardano's formula is also sometimes seen referred to as cardan's formula, from the english. D (where a 6= 0): cardano's method provides a technique for solving the general cubic equation. A formula for finding the roots of the general cubic equation over the field of complex. The solution of ax 3 +bx 2. What Is Cardano's Formula.
From www.coursehero.com
[Solved] Answer using Cardano's solution of the general cubic equation What Is Cardano's Formula cubic equations and cardano's formulae. cardano's method provides a technique for solving the general cubic equation. A formula for finding the roots of the general cubic equation over the field of complex. also known as. Cardano's formula is also sometimes seen referred to as cardan's formula, from the english. there is an analogous formula for polynomials. What Is Cardano's Formula.
From www.researchgate.net
(PDF) Cardano's formula, square roots, Chebyshev polynomials and radicals What Is Cardano's Formula A formula for finding the roots of the general cubic equation over the field of complex. Ax 3 + bx 2 + cx + d = 0. also known as. Consider a cubic equation with the unknown z and xed complex coe. cubic equations and cardano's formulae. D (where a 6= 0): Cardano's formula is also sometimes seen. What Is Cardano's Formula.
From rumble.com
Cardano’s formula Cubic equation What Is Cardano's Formula A formula for finding the roots of the general cubic equation over the field of complex. cardano's method provides a technique for solving the general cubic equation. Cardano's formula is also sometimes seen referred to as cardan's formula, from the english. Consider a cubic equation with the unknown z and xed complex coe. Ax 3 + bx 2 +. What Is Cardano's Formula.
From www.researchgate.net
Graphical representation of Cardano’s formula and its relation to What Is Cardano's Formula cubic equations and cardano's formulae. there is an analogous formula for polynomials of degree three: D (where a 6= 0): Ax 3 + bx 2 + cx + d = 0. Consider a cubic equation with the unknown z and xed complex coe. also known as. Cardano's formula is also sometimes seen referred to as cardan's formula,. What Is Cardano's Formula.
From www.youtube.com
Part 2 Cardano's method for cubics (ex 7 p 7) YouTube What Is Cardano's Formula also known as. A formula for finding the roots of the general cubic equation over the field of complex. there is an analogous formula for polynomials of degree three: Ax 3 + bx 2 + cx + d = 0. cubic equations and cardano's formulae. The solution of ax 3 +bx 2 +cx+d=0 is. Cardano's formula is. What Is Cardano's Formula.