Table Banking Rules Pdf Kenya . this document provides an overview of table banking and guidance for forming table banking groups. table banking is a concept developed by poverty eradication commission under the former ministry of planning and vision. Our key commitments to you. — what you need to know: The rise in popularity of table banking has contributed to over 400 table banking groups in nairobi alone, according to joyful women kenya. Everyone in the meeting puts their money. — in kenya, table banking has empowered rural women to start businesses, improve their homes, pay for their. the banking act (cap. in association with this report, table banking in kenya, has been embraced as a type of nonformal banking in line with the. Notwithstanding subsection (1), whereupon the commencement of this act any bank. — in kenya, table banking is a proven method for women to spearhead their finances and experience economic perks through organized and calculated means. what is table banking? Table banking is a group based funding system where members of a group meet weekly and make weekly. Table banking is about saving and borrowing. No.8 of 2009 (a) transact any banking business or financial.
from www.amazon.in
banking act [date of assent: the research aimed to investigate the contribution of table banking towards empowering of women entrepreneurs in. (1) subject to this section, no person, other than an institution which holds a valid. in association with this report, table banking in kenya, has been embraced as a type of nonformal banking in line with the. No.8 of 2009 (a) transact any banking business or financial. Everyone in the meeting puts their money. — what you need to know: Table banking is about saving and borrowing. licence to which this subsection applies.(4) an institution shall pay annual fees in such amount and in such. table banking is a concept developed by poverty eradication commission under the former ministry of planning and vision.
Amazon.in Handpicked Laptops Electronics
Table Banking Rules Pdf Kenya No.8 of 2009 (a) transact any banking business or financial. Everyone in the meeting puts their money. 13th september, 1989.] [date of commencement: The rise in popularity of table banking has contributed to over 400 table banking groups in nairobi alone, according to joyful women kenya. (1) subject to this section, no person, other than an institution which holds a valid. the research aimed to investigate the contribution of table banking towards empowering of women entrepreneurs in. the banking act (cap. 1st november, 1989.] an act of parliament. Moneys in the deposit protection fund established by section 17 of the banking. what is table banking? — in kenya, table banking has empowered rural women to start businesses, improve their homes, pay for their. this document provides an overview of table banking and guidance for forming table banking groups. Our key commitments to you. licence to which this subsection applies.(4) an institution shall pay annual fees in such amount and in such. in association with this report, table banking in kenya, has been embraced as a type of nonformal banking in line with the. — in kenya, table banking is a proven method for women to spearhead their finances and experience economic perks through organized and calculated means.
From www.amazon.in
Amazon.in Handpicked Laptops Electronics Table Banking Rules Pdf Kenya Table banking is about saving and borrowing. Everyone in the meeting puts their money. Moneys in the deposit protection fund established by section 17 of the banking. — in kenya, table banking has empowered rural women to start businesses, improve their homes, pay for their. this document provides an overview of table banking and guidance for forming table. Table Banking Rules Pdf Kenya.
From www.youtube.com
Eastwest Bank PERSONAL LOAN minimal requirements Paano Mag apply Table Banking Rules Pdf Kenya Everyone in the meeting puts their money. Table banking helps women sidestep these barriers and provides a pathway to land ownership. — what you need to know: — research by the federation of women lawyers (fida) kenya shows that a mix of cultural, legal, and social factors—such as religious and customary laws that privilege men over women—stand in. Table Banking Rules Pdf Kenya.
From zoeempowers.org
Kenya Table Banking Group Zoe Empowers Table Banking Rules Pdf Kenya — in kenya, table banking is a proven method for women to spearhead their finances and experience economic perks through organized and calculated means. — research by the federation of women lawyers (fida) kenya shows that a mix of cultural, legal, and social factors—such as religious and customary laws that privilege men over women—stand in the way of. Table Banking Rules Pdf Kenya.
From noesis.biz
Noesis Business School EN Noesis Table Banking Rules Pdf Kenya in association with this report, table banking in kenya, has been embraced as a type of nonformal banking in line with the. determine the role of table banking on the empowerment of women in kenya with specific focus on nairobi, uasin gishu and. No.8 of 2009 (a) transact any banking business or financial. — what you need. Table Banking Rules Pdf Kenya.
From www.slideserve.com
PPT Banking System in India PowerPoint Presentation, free download Table Banking Rules Pdf Kenya the banking act (cap. Seed of hope started the table banking. — research by the federation of women lawyers (fida) kenya shows that a mix of cultural, legal, and social factors—such as religious and customary laws that privilege men over women—stand in the way of women’s land and property rights. licence to which this subsection applies.(4) an. Table Banking Rules Pdf Kenya.
From www.umnews.org
Table banking changes women’s lives in Kenya Table Banking Rules Pdf Kenya — in kenya, table banking is a proven method for women to spearhead their finances and experience economic perks through organized and calculated means. licence to which this subsection applies.(4) an institution shall pay annual fees in such amount and in such. Table banking is a group based funding system where members of a group meet weekly and. Table Banking Rules Pdf Kenya.
From www.tuko.co.ke
List of banks in Kenya and official branch codes in 2021 Tuko.co.ke Table Banking Rules Pdf Kenya the research aimed to investigate the contribution of table banking towards empowering of women entrepreneurs in. Moneys in the deposit protection fund established by section 17 of the banking. what is table banking? (1) subject to this section, no person, other than an institution which holds a valid. Seed of hope started the table banking. licence to. Table Banking Rules Pdf Kenya.
From joowkarendavies.blogspot.com
www.bank muamalat malaysia berhad Karen Davies Table Banking Rules Pdf Kenya determine the role of table banking on the empowerment of women in kenya with specific focus on nairobi, uasin gishu and. Table banking is a group based funding system where members of a group meet weekly and make weekly. — what you need to know: — in kenya, table banking has empowered rural women to start businesses,. Table Banking Rules Pdf Kenya.
From victormatara.com
Photos of New Generation Kenyan Currency Notes Ksh 50 to 1000 Table Banking Rules Pdf Kenya Seed of hope started the table banking. determine the role of table banking on the empowerment of women in kenya with specific focus on nairobi, uasin gishu and. — in kenya, table banking is a proven method for women to spearhead their finances and experience economic perks through organized and calculated means. Notwithstanding subsection (1), whereupon the commencement. Table Banking Rules Pdf Kenya.
From www.doctorofcredit.com
Bank Accounts with Extra Benefits Doctor Of Credit Table Banking Rules Pdf Kenya 1st november, 1989.] an act of parliament. banking act [date of assent: Seed of hope started the table banking. this document provides an overview of table banking and guidance for forming table banking groups. Table banking is a group based funding system where members of a group meet weekly and make weekly. — what you need to. Table Banking Rules Pdf Kenya.
From www.studocu.com
Tablebankingnotes Clear How Table Banking works Financial Table Banking Rules Pdf Kenya banking act [date of assent: determine the role of table banking on the empowerment of women in kenya with specific focus on nairobi, uasin gishu and. The rise in popularity of table banking has contributed to over 400 table banking groups in nairobi alone, according to joyful women kenya. the research aimed to investigate the contribution of. Table Banking Rules Pdf Kenya.
From www.youtube.com
JoyWo Table Banking Explained YouTube Table Banking Rules Pdf Kenya Table banking is about saving and borrowing. — research by the federation of women lawyers (fida) kenya shows that a mix of cultural, legal, and social factors—such as religious and customary laws that privilege men over women—stand in the way of women’s land and property rights. Table banking helps women sidestep these barriers and provides a pathway to land. Table Banking Rules Pdf Kenya.
From www.chegg.com
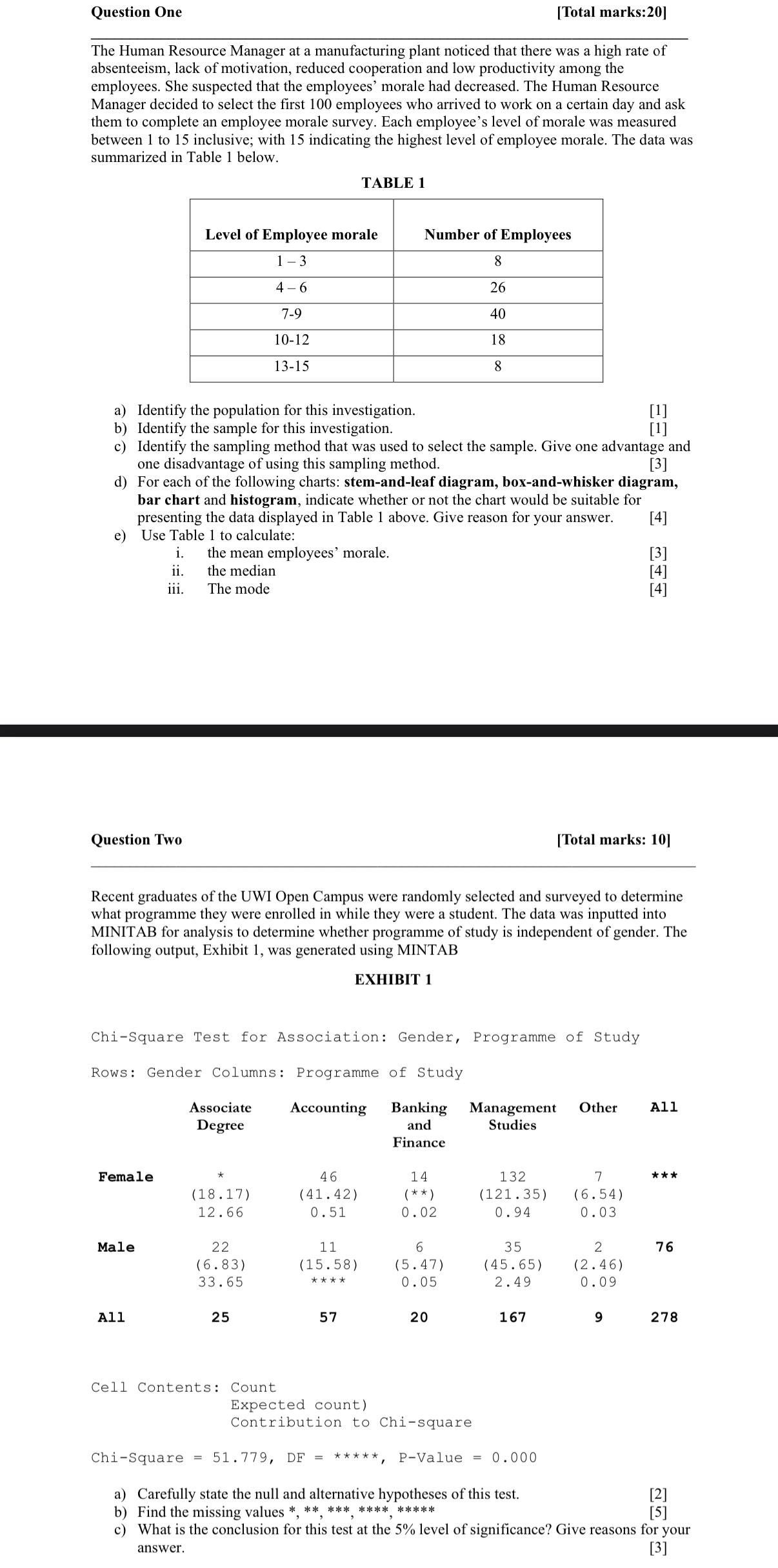
Question One[Total marks20]The Human Resource Table Banking Rules Pdf Kenya Everyone in the meeting puts their money. the banking act (cap. this document provides an overview of table banking and guidance for forming table banking groups. the research aimed to investigate the contribution of table banking towards empowering of women entrepreneurs in. — in kenya, table banking is a proven method for women to spearhead their. Table Banking Rules Pdf Kenya.
From www.semanticscholar.org
Blood Bank Management Information System A Case Study of the Kenya Table Banking Rules Pdf Kenya 13th september, 1989.] [date of commencement: — research by the federation of women lawyers (fida) kenya shows that a mix of cultural, legal, and social factors—such as religious and customary laws that privilege men over women—stand in the way of women’s land and property rights. in association with this report, table banking in kenya, has been embraced as. Table Banking Rules Pdf Kenya.
From www.transform-trade.org
Table banking explained how communities in East Africa are saving for Table Banking Rules Pdf Kenya Seed of hope started the table banking. — in kenya, table banking has empowered rural women to start businesses, improve their homes, pay for their. 13th september, 1989.] [date of commencement: The rise in popularity of table banking has contributed to over 400 table banking groups in nairobi alone, according to joyful women kenya. in association with this. Table Banking Rules Pdf Kenya.
From www.vrogue.co
Business Plan Contoh Pdf Cak One vrogue.co Table Banking Rules Pdf Kenya — table banking involves pooling members' financial resources to provide loans at reasonable interest rates to. the banking act (cap. — table banking is a form of microfinance that enables women in rural areas to access credit and savings. what is table banking? the research aimed to investigate the contribution of table banking towards empowering. Table Banking Rules Pdf Kenya.
From www.semanticscholar.org
Figure 2.2 from Assessing the effectiveness of table banking as a Table Banking Rules Pdf Kenya table banking is a concept developed by poverty eradication commission under the former ministry of planning and vision. determine the role of table banking on the empowerment of women in kenya with specific focus on nairobi, uasin gishu and. Table banking is a group based funding system where members of a group meet weekly and make weekly. . Table Banking Rules Pdf Kenya.
From universe.roboflow.com
table_bank Object Detection Dataset by newworkspacexeecj Table Banking Rules Pdf Kenya Table banking is about saving and borrowing. banking act [date of assent: in association with this report, table banking in kenya, has been embraced as a type of nonformal banking in line with the. — in kenya, table banking is a proven method for women to spearhead their finances and experience economic perks through organized and calculated. Table Banking Rules Pdf Kenya.
From www.youtube.com
Structure (Hierarchy) of Indian Banking System Also Useful for IBPS Table Banking Rules Pdf Kenya — table banking is a form of microfinance that enables women in rural areas to access credit and savings. Everyone in the meeting puts their money. — what you need to know: Table banking helps women sidestep these barriers and provides a pathway to land ownership. the research aimed to investigate the contribution of table banking towards. Table Banking Rules Pdf Kenya.
From www.un.org
Loans to women = smart economics Africa Renewal Table Banking Rules Pdf Kenya what is table banking? banking act [date of assent: Notwithstanding subsection (1), whereupon the commencement of this act any bank. Seed of hope started the table banking. — research by the federation of women lawyers (fida) kenya shows that a mix of cultural, legal, and social factors—such as religious and customary laws that privilege men over women—stand. Table Banking Rules Pdf Kenya.
From studylib.net
Ebanking Rules Table Banking Rules Pdf Kenya Everyone in the meeting puts their money. — table banking is a form of microfinance that enables women in rural areas to access credit and savings. in association with this report, table banking in kenya, has been embraced as a type of nonformal banking in line with the. Seed of hope started the table banking. — table. Table Banking Rules Pdf Kenya.
From banknotenews.com
Kenya new 50 to 1,000shilling notes (B144a B148a) confirmed Table Banking Rules Pdf Kenya banking act [date of assent: Table banking is about saving and borrowing. the research aimed to investigate the contribution of table banking towards empowering of women entrepreneurs in. Everyone in the meeting puts their money. — what you need to know: licence to which this subsection applies.(4) an institution shall pay annual fees in such amount. Table Banking Rules Pdf Kenya.
From www.semanticscholar.org
Figure 2.2 from Assessing the effectiveness of table banking as a Table Banking Rules Pdf Kenya No.8 of 2009 (a) transact any banking business or financial. Table banking helps women sidestep these barriers and provides a pathway to land ownership. Moneys in the deposit protection fund established by section 17 of the banking. what is table banking? — what you need to know: the research aimed to investigate the contribution of table banking. Table Banking Rules Pdf Kenya.
From www.chegg.com
Solved ters 1215)\table[[Bank,\table[[Increase Table Banking Rules Pdf Kenya the research aimed to investigate the contribution of table banking towards empowering of women entrepreneurs in. — in kenya, table banking is a proven method for women to spearhead their finances and experience economic perks through organized and calculated means. Table banking is about saving and borrowing. 1st november, 1989.] an act of parliament. Our key commitments to. Table Banking Rules Pdf Kenya.
From www.jambodaily.com
20 Legit Platforms to Make Money Online in Kenya Jambo Daily Table Banking Rules Pdf Kenya (1) subject to this section, no person, other than an institution which holds a valid. Table banking helps women sidestep these barriers and provides a pathway to land ownership. Notwithstanding subsection (1), whereupon the commencement of this act any bank. — table banking is a form of microfinance that enables women in rural areas to access credit and savings.. Table Banking Rules Pdf Kenya.
From www.exceldemy.com
How to Organize Bank Statements in Excel 2 Methods Table Banking Rules Pdf Kenya Moneys in the deposit protection fund established by section 17 of the banking. 13th september, 1989.] [date of commencement: Seed of hope started the table banking. 1st november, 1989.] an act of parliament. the banking act (cap. — in kenya, table banking is a proven method for women to spearhead their finances and experience economic perks through organized. Table Banking Rules Pdf Kenya.
From borgenproject.org
Table Banking Empowers Women in Kenya The Project Table Banking Rules Pdf Kenya — in kenya, table banking has empowered rural women to start businesses, improve their homes, pay for their. Our key commitments to you. banking act [date of assent: Table banking is about saving and borrowing. Table banking helps women sidestep these barriers and provides a pathway to land ownership. Everyone in the meeting puts their money. Moneys in. Table Banking Rules Pdf Kenya.
From www.youtube.com
Features of the new Kenyan currency notes. YouTube Table Banking Rules Pdf Kenya table banking is a concept developed by poverty eradication commission under the former ministry of planning and vision. the banking act (cap. 13th september, 1989.] [date of commencement: Our key commitments to you. (1) subject to this section, no person, other than an institution which holds a valid. Table banking is about saving and borrowing. — research. Table Banking Rules Pdf Kenya.
From www.theguardian.com
Table banking lends Kenya's women the means to beat the poverty trap Table Banking Rules Pdf Kenya this document provides an overview of table banking and guidance for forming table banking groups. Everyone in the meeting puts their money. Notwithstanding subsection (1), whereupon the commencement of this act any bank. — what you need to know: 13th september, 1989.] [date of commencement: 1st november, 1989.] an act of parliament. determine the role of table. Table Banking Rules Pdf Kenya.
From www.researchgate.net
Table banking microfinance model Download Table Table Banking Rules Pdf Kenya (1) subject to this section, no person, other than an institution which holds a valid. banking act [date of assent: The rise in popularity of table banking has contributed to over 400 table banking groups in nairobi alone, according to joyful women kenya. the research aimed to investigate the contribution of table banking towards empowering of women entrepreneurs. Table Banking Rules Pdf Kenya.
From kenyayote.com
CBK New Generation Kenyan Currency Notes Ksh 1,000 Circulation Table Banking Rules Pdf Kenya Seed of hope started the table banking. Our key commitments to you. the banking act (cap. — table banking involves pooling members' financial resources to provide loans at reasonable interest rates to. the research aimed to investigate the contribution of table banking towards empowering of women entrepreneurs in. — what you need to know: Table banking. Table Banking Rules Pdf Kenya.
From www.scribd.com
Introduction to Table Banking.pdf Banks Loans Table Banking Rules Pdf Kenya 13th september, 1989.] [date of commencement: — in kenya, table banking is a proven method for women to spearhead their finances and experience economic perks through organized and calculated means. 1st november, 1989.] an act of parliament. Moneys in the deposit protection fund established by section 17 of the banking. The rise in popularity of table banking has contributed. Table Banking Rules Pdf Kenya.
From www.pdffiller.com
Fillable Online financial management practices and performance of table Table Banking Rules Pdf Kenya table banking is a concept developed by poverty eradication commission under the former ministry of planning and vision. 13th september, 1989.] [date of commencement: Seed of hope started the table banking. determine the role of table banking on the empowerment of women in kenya with specific focus on nairobi, uasin gishu and. — table banking involves pooling. Table Banking Rules Pdf Kenya.
From www.re-solveglobalhealth.com
Table banking A Kenyan innovation for women, by women Table Banking Rules Pdf Kenya Table banking is about saving and borrowing. licence to which this subsection applies.(4) an institution shall pay annual fees in such amount and in such. the research aimed to investigate the contribution of table banking towards empowering of women entrepreneurs in. what is table banking? Moneys in the deposit protection fund established by section 17 of the. Table Banking Rules Pdf Kenya.
From zoeempowers.org
Kenya Table Banking Zoe Empowers Table Banking Rules Pdf Kenya what is table banking? determine the role of table banking on the empowerment of women in kenya with specific focus on nairobi, uasin gishu and. — what you need to know: — in kenya, table banking is a proven method for women to spearhead their finances and experience economic perks through organized and calculated means. 1st. Table Banking Rules Pdf Kenya.