How To Calculate Loss Resistance . We'll try to do that on this page. the ohm's law formula can be used to calculate the resistance as the quotient of the voltage and current. The voltage drop calculation formula involves ohm’s law, which uses resistance, current, and impedance values to. Now, use the current to calculate the. first, calculate total resistance: It can be written as: this 100 kw needs to be transported over a 1 km wire that has 1 ohm of resistance. Let's start with the equation for the d.c. We can transfer this 100 kw. the formula to calculate power loss in an electrical circuit is given by: we can calculate the resistance of the wire \$\text{r}_{\text{wire}}\$ by multiplying the length of the wire by the resistance per. 4 + 2 + 6 = 12 ω. how do we derive the equation for the loss resistance of a short dipole antenna? 24 v/12 ω = 2 a.
from eesasha.com
this 100 kw needs to be transported over a 1 km wire that has 1 ohm of resistance. first, calculate total resistance: The voltage drop calculation formula involves ohm’s law, which uses resistance, current, and impedance values to. We'll try to do that on this page. Now, use the current to calculate the. the ohm's law formula can be used to calculate the resistance as the quotient of the voltage and current. the formula to calculate power loss in an electrical circuit is given by: 24 v/12 ω = 2 a. how do we derive the equation for the loss resistance of a short dipole antenna? Let's start with the equation for the d.c.
Electrical Formula for Calculating Resistance eeSasha Electrical
How To Calculate Loss Resistance We'll try to do that on this page. We can transfer this 100 kw. we can calculate the resistance of the wire \$\text{r}_{\text{wire}}\$ by multiplying the length of the wire by the resistance per. first, calculate total resistance: the ohm's law formula can be used to calculate the resistance as the quotient of the voltage and current. We'll try to do that on this page. The voltage drop calculation formula involves ohm’s law, which uses resistance, current, and impedance values to. how do we derive the equation for the loss resistance of a short dipole antenna? this 100 kw needs to be transported over a 1 km wire that has 1 ohm of resistance. It can be written as: the formula to calculate power loss in an electrical circuit is given by: 24 v/12 ω = 2 a. 4 + 2 + 6 = 12 ω. Now, use the current to calculate the. Let's start with the equation for the d.c.
From nataljabaranovska.blogspot.com
The Power Dissipated By The Resistor / Question Video Finding The How To Calculate Loss Resistance We can transfer this 100 kw. the formula to calculate power loss in an electrical circuit is given by: we can calculate the resistance of the wire \$\text{r}_{\text{wire}}\$ by multiplying the length of the wire by the resistance per. this 100 kw needs to be transported over a 1 km wire that has 1 ohm of resistance.. How To Calculate Loss Resistance.
From www.youtube.com
Weight Loss Resistance YouTube How To Calculate Loss Resistance first, calculate total resistance: the formula to calculate power loss in an electrical circuit is given by: Let's start with the equation for the d.c. 4 + 2 + 6 = 12 ω. It can be written as: the ohm's law formula can be used to calculate the resistance as the quotient of the voltage and current.. How To Calculate Loss Resistance.
From www.tessshebaylo.com
Power Dissipated By Resistor Equation Tessshebaylo How To Calculate Loss Resistance the ohm's law formula can be used to calculate the resistance as the quotient of the voltage and current. this 100 kw needs to be transported over a 1 km wire that has 1 ohm of resistance. how do we derive the equation for the loss resistance of a short dipole antenna? 24 v/12 ω = 2. How To Calculate Loss Resistance.
From www.youtube.com
40. Calculation of Transformer Core Loss & Noload Current Using How To Calculate Loss Resistance The voltage drop calculation formula involves ohm’s law, which uses resistance, current, and impedance values to. It can be written as: We'll try to do that on this page. we can calculate the resistance of the wire \$\text{r}_{\text{wire}}\$ by multiplying the length of the wire by the resistance per. this 100 kw needs to be transported over a. How To Calculate Loss Resistance.
From www.numerade.com
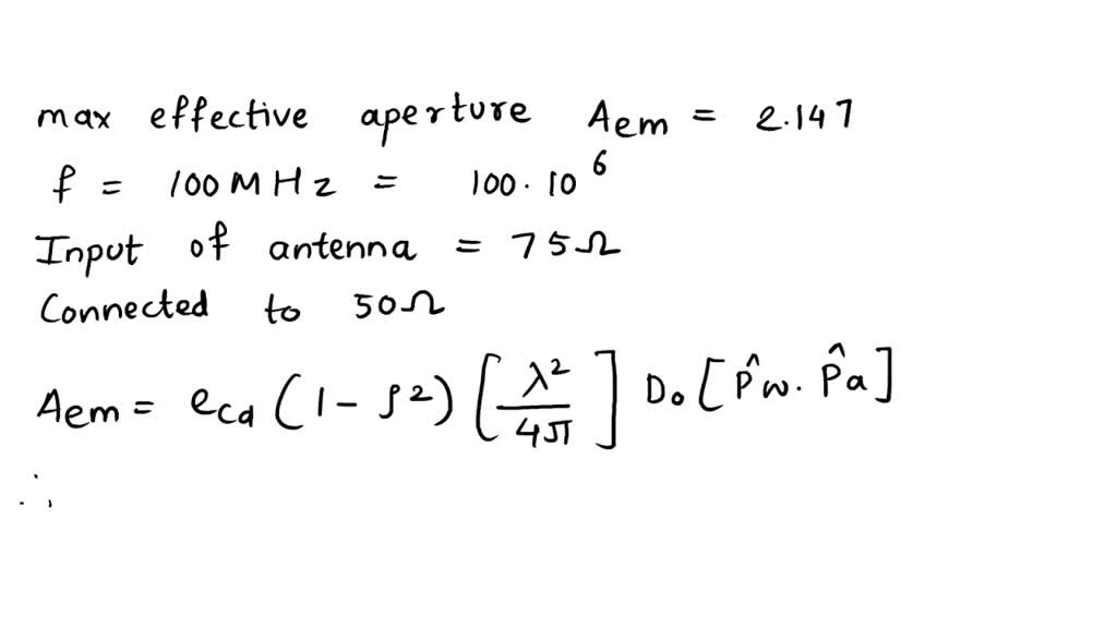
SOLVED The radiation resistance of an antenna is 55 Ohm and the loss How To Calculate Loss Resistance we can calculate the resistance of the wire \$\text{r}_{\text{wire}}\$ by multiplying the length of the wire by the resistance per. Let's start with the equation for the d.c. this 100 kw needs to be transported over a 1 km wire that has 1 ohm of resistance. 4 + 2 + 6 = 12 ω. first, calculate total. How To Calculate Loss Resistance.
From www.engineeringtoolbox.com
Ventilation Ducts Minor Loss Resistance How To Calculate Loss Resistance 24 v/12 ω = 2 a. The voltage drop calculation formula involves ohm’s law, which uses resistance, current, and impedance values to. Let's start with the equation for the d.c. this 100 kw needs to be transported over a 1 km wire that has 1 ohm of resistance. the ohm's law formula can be used to calculate the. How To Calculate Loss Resistance.
From fxaccess.com
How To Set A Stop Loss Based On Support And Resistance From Charts FX How To Calculate Loss Resistance how do we derive the equation for the loss resistance of a short dipole antenna? It can be written as: We'll try to do that on this page. the formula to calculate power loss in an electrical circuit is given by: We can transfer this 100 kw. 24 v/12 ω = 2 a. the ohm's law formula. How To Calculate Loss Resistance.
From www.allaboutcircuits.com
True, Reactive, and Apparent Power Power Factor Electronics Textbook How To Calculate Loss Resistance 4 + 2 + 6 = 12 ω. Now, use the current to calculate the. first, calculate total resistance: this 100 kw needs to be transported over a 1 km wire that has 1 ohm of resistance. We can transfer this 100 kw. how do we derive the equation for the loss resistance of a short dipole. How To Calculate Loss Resistance.
From www.hsb.co.id
How To Set A Stop Loss Based On Support And Resistance From Charts How To Calculate Loss Resistance It can be written as: this 100 kw needs to be transported over a 1 km wire that has 1 ohm of resistance. Now, use the current to calculate the. 24 v/12 ω = 2 a. We'll try to do that on this page. the formula to calculate power loss in an electrical circuit is given by: Let's. How To Calculate Loss Resistance.
From www.wikihow.com
How to Calculate Voltage Across a Resistor (with Pictures) How To Calculate Loss Resistance first, calculate total resistance: this 100 kw needs to be transported over a 1 km wire that has 1 ohm of resistance. 4 + 2 + 6 = 12 ω. 24 v/12 ω = 2 a. Let's start with the equation for the d.c. We can transfer this 100 kw. It can be written as: how do. How To Calculate Loss Resistance.
From studylib.net
calculating poe power loss due to cable resistance How To Calculate Loss Resistance we can calculate the resistance of the wire \$\text{r}_{\text{wire}}\$ by multiplying the length of the wire by the resistance per. first, calculate total resistance: 4 + 2 + 6 = 12 ω. 24 v/12 ω = 2 a. how do we derive the equation for the loss resistance of a short dipole antenna? We can transfer this. How To Calculate Loss Resistance.
From www.researchgate.net
Calculation of pressure losses and local resistance coefficient on the How To Calculate Loss Resistance 4 + 2 + 6 = 12 ω. the ohm's law formula can be used to calculate the resistance as the quotient of the voltage and current. how do we derive the equation for the loss resistance of a short dipole antenna? 24 v/12 ω = 2 a. Let's start with the equation for the d.c. Now, use. How To Calculate Loss Resistance.
From www.slideshare.net
Thermodynamics Chapter 3 Heat Transfer How To Calculate Loss Resistance Let's start with the equation for the d.c. this 100 kw needs to be transported over a 1 km wire that has 1 ohm of resistance. It can be written as: Now, use the current to calculate the. the ohm's law formula can be used to calculate the resistance as the quotient of the voltage and current. 24. How To Calculate Loss Resistance.
From www.mdpi.com
Energies Free FullText Calculation Method of Allowable Continuous How To Calculate Loss Resistance It can be written as: the ohm's law formula can be used to calculate the resistance as the quotient of the voltage and current. We can transfer this 100 kw. this 100 kw needs to be transported over a 1 km wire that has 1 ohm of resistance. Let's start with the equation for the d.c. Now, use. How To Calculate Loss Resistance.
From www.coursehero.com
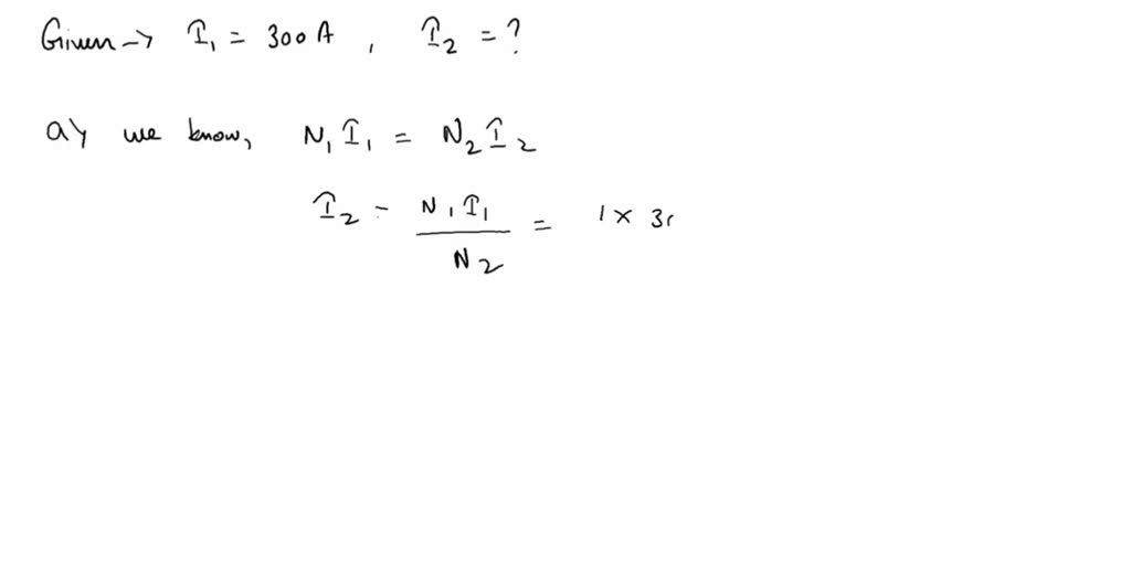
[Solved] A 3phase induction motor has a 4pole, Yconnected stator How To Calculate Loss Resistance The voltage drop calculation formula involves ohm’s law, which uses resistance, current, and impedance values to. 4 + 2 + 6 = 12 ω. Let's start with the equation for the d.c. this 100 kw needs to be transported over a 1 km wire that has 1 ohm of resistance. we can calculate the resistance of the wire. How To Calculate Loss Resistance.
From www.cencepower.com
3 Types of Line Losses in Power Transmission Cence Power How To Calculate Loss Resistance Let's start with the equation for the d.c. The voltage drop calculation formula involves ohm’s law, which uses resistance, current, and impedance values to. We'll try to do that on this page. We can transfer this 100 kw. 24 v/12 ω = 2 a. this 100 kw needs to be transported over a 1 km wire that has 1. How To Calculate Loss Resistance.
From www.nuclear-power.com
Cavity Wall Insulation How To Calculate Loss Resistance It can be written as: We'll try to do that on this page. The voltage drop calculation formula involves ohm’s law, which uses resistance, current, and impedance values to. how do we derive the equation for the loss resistance of a short dipole antenna? first, calculate total resistance: Now, use the current to calculate the. we can. How To Calculate Loss Resistance.
From makenaancestrickland.blogspot.com
Formula for Power Dissipated in a Resistor MakenaanceStrickland How To Calculate Loss Resistance Let's start with the equation for the d.c. Now, use the current to calculate the. The voltage drop calculation formula involves ohm’s law, which uses resistance, current, and impedance values to. the ohm's law formula can be used to calculate the resistance as the quotient of the voltage and current. the formula to calculate power loss in an. How To Calculate Loss Resistance.
From www.vrogue.co
What Is Power Factor Types Of Load Leading Pf Lagging vrogue.co How To Calculate Loss Resistance Now, use the current to calculate the. The voltage drop calculation formula involves ohm’s law, which uses resistance, current, and impedance values to. We'll try to do that on this page. the ohm's law formula can be used to calculate the resistance as the quotient of the voltage and current. It can be written as: we can calculate. How To Calculate Loss Resistance.
From www.numerade.com
SOLVED Assuming the loss resistance of the halfwave dipole antenna is How To Calculate Loss Resistance this 100 kw needs to be transported over a 1 km wire that has 1 ohm of resistance. The voltage drop calculation formula involves ohm’s law, which uses resistance, current, and impedance values to. We'll try to do that on this page. It can be written as: We can transfer this 100 kw. we can calculate the resistance. How To Calculate Loss Resistance.
From voltage-disturbance.com
Transformer Open Circuit Test Voltage Disturbance How To Calculate Loss Resistance Now, use the current to calculate the. this 100 kw needs to be transported over a 1 km wire that has 1 ohm of resistance. how do we derive the equation for the loss resistance of a short dipole antenna? the ohm's law formula can be used to calculate the resistance as the quotient of the voltage. How To Calculate Loss Resistance.
From worksheetdbointed.z13.web.core.windows.net
How To Calculate The Percentage Composition How To Calculate Loss Resistance It can be written as: the ohm's law formula can be used to calculate the resistance as the quotient of the voltage and current. Now, use the current to calculate the. we can calculate the resistance of the wire \$\text{r}_{\text{wire}}\$ by multiplying the length of the wire by the resistance per. the formula to calculate power loss. How To Calculate Loss Resistance.
From wiringdbfurthered.z5.web.core.windows.net
How To Measure Thermal Resistance How To Calculate Loss Resistance 4 + 2 + 6 = 12 ω. how do we derive the equation for the loss resistance of a short dipole antenna? the ohm's law formula can be used to calculate the resistance as the quotient of the voltage and current. we can calculate the resistance of the wire \$\text{r}_{\text{wire}}\$ by multiplying the length of the. How To Calculate Loss Resistance.
From www.linstitute.net
CIE A Level Physics复习笔记10.1.3 Internal Resistance翰林国际教育 How To Calculate Loss Resistance 4 + 2 + 6 = 12 ω. how do we derive the equation for the loss resistance of a short dipole antenna? the ohm's law formula can be used to calculate the resistance as the quotient of the voltage and current. 24 v/12 ω = 2 a. We can transfer this 100 kw. Now, use the current. How To Calculate Loss Resistance.
From eesasha.com
Electrical Formula for Calculating Resistance eeSasha Electrical How To Calculate Loss Resistance It can be written as: how do we derive the equation for the loss resistance of a short dipole antenna? the formula to calculate power loss in an electrical circuit is given by: the ohm's law formula can be used to calculate the resistance as the quotient of the voltage and current. We'll try to do that. How To Calculate Loss Resistance.
From fxaccess.com
How To Set A Stop Loss Based On Support And Resistance From Charts FX How To Calculate Loss Resistance first, calculate total resistance: the ohm's law formula can be used to calculate the resistance as the quotient of the voltage and current. It can be written as: Let's start with the equation for the d.c. We can transfer this 100 kw. how do we derive the equation for the loss resistance of a short dipole antenna?. How To Calculate Loss Resistance.
From www.coursehero.com
[Solved] A shunt generator produces 240V with an output current of 100A How To Calculate Loss Resistance first, calculate total resistance: the ohm's law formula can be used to calculate the resistance as the quotient of the voltage and current. Let's start with the equation for the d.c. 4 + 2 + 6 = 12 ω. this 100 kw needs to be transported over a 1 km wire that has 1 ohm of resistance.. How To Calculate Loss Resistance.
From www.coursehero.com
[Solved] A 1000 kVA, 4.6 kV, 3phase, 60 Hz, wyeconnected alternator How To Calculate Loss Resistance We'll try to do that on this page. The voltage drop calculation formula involves ohm’s law, which uses resistance, current, and impedance values to. how do we derive the equation for the loss resistance of a short dipole antenna? first, calculate total resistance: the formula to calculate power loss in an electrical circuit is given by: Let's. How To Calculate Loss Resistance.
From www.youtube.com
Calculating Rate of Heat Transfer Through Composite Walls YouTube How To Calculate Loss Resistance We'll try to do that on this page. Let's start with the equation for the d.c. The voltage drop calculation formula involves ohm’s law, which uses resistance, current, and impedance values to. the ohm's law formula can be used to calculate the resistance as the quotient of the voltage and current. first, calculate total resistance: we can. How To Calculate Loss Resistance.
From techiescience.com
Comprehensive Guide to Calculating Energy Loss Due to Air Resistance How To Calculate Loss Resistance first, calculate total resistance: It can be written as: 24 v/12 ω = 2 a. Let's start with the equation for the d.c. 4 + 2 + 6 = 12 ω. We can transfer this 100 kw. we can calculate the resistance of the wire \$\text{r}_{\text{wire}}\$ by multiplying the length of the wire by the resistance per. . How To Calculate Loss Resistance.
From dxodnxlxc.blob.core.windows.net
Resistance Training For Weight Loss For Beginners at Willa Doss blog How To Calculate Loss Resistance We can transfer this 100 kw. We'll try to do that on this page. first, calculate total resistance: Now, use the current to calculate the. the formula to calculate power loss in an electrical circuit is given by: It can be written as: how do we derive the equation for the loss resistance of a short dipole. How To Calculate Loss Resistance.
From www.numerade.com
SOLVED A singlephase, 50kVA, 10kV/1.8kV transformer has the following How To Calculate Loss Resistance this 100 kw needs to be transported over a 1 km wire that has 1 ohm of resistance. 24 v/12 ω = 2 a. first, calculate total resistance: the formula to calculate power loss in an electrical circuit is given by: Now, use the current to calculate the. We can transfer this 100 kw. We'll try to. How To Calculate Loss Resistance.
From www.chegg.com
Solved Calculate the core loss resistance and the How To Calculate Loss Resistance we can calculate the resistance of the wire \$\text{r}_{\text{wire}}\$ by multiplying the length of the wire by the resistance per. 4 + 2 + 6 = 12 ω. first, calculate total resistance: how do we derive the equation for the loss resistance of a short dipole antenna? the ohm's law formula can be used to calculate. How To Calculate Loss Resistance.
From www.coursehero.com
[Solved] 2. A 3000/200V, 50Hz, 1phase transformer is built on a core How To Calculate Loss Resistance this 100 kw needs to be transported over a 1 km wire that has 1 ohm of resistance. 4 + 2 + 6 = 12 ω. first, calculate total resistance: We'll try to do that on this page. we can calculate the resistance of the wire \$\text{r}_{\text{wire}}\$ by multiplying the length of the wire by the resistance. How To Calculate Loss Resistance.
From exoknqekt.blob.core.windows.net
Copper Pipe Head Loss Calculator at Keith Reulet blog How To Calculate Loss Resistance It can be written as: first, calculate total resistance: Let's start with the equation for the d.c. how do we derive the equation for the loss resistance of a short dipole antenna? We can transfer this 100 kw. 24 v/12 ω = 2 a. we can calculate the resistance of the wire \$\text{r}_{\text{wire}}\$ by multiplying the length. How To Calculate Loss Resistance.