Was Ist Wahrscheinlichkeit . Bei der wahrscheinlichkeitsrechnung (mit dem teilgebiet stochastik) geht es darum anzugeben, ob etwas eher zutritt oder eher nicht zutrifft. Da die berechnung erfordert, dass ein bestimmtes ereignis schon eingetreten ist, wird diese auch konditionale wahrscheinlichkeit genannt. Mit der bedingten wahrscheinlichkeiten lässt sich die wahrscheinlichkeit eines ereignisses unter bedingung des eintritts eines anderen ereignisses ausdrücken. Wahrscheinlichkeiten ermöglichen es uns, unsicherheiten zu quantifizieren und informierte entscheidungen zu treffen. Die wahrscheinlichkeit ist ein grundlegendes konzept in der statistik und datenanalyse und stellt die. Wie die wahrscheinlichkeit in der wahrscheinlichkeitsrechnung definiert ist, wie du sie berechnen kannst, was der unterschied. In der wahrscheinlichkeitsrechnung ermittelst du wahrscheinlichkeiten für bestimmte ereignisse in einem zufallsexperiment, zum beispiel die.
from studyflix.de
Bei der wahrscheinlichkeitsrechnung (mit dem teilgebiet stochastik) geht es darum anzugeben, ob etwas eher zutritt oder eher nicht zutrifft. Da die berechnung erfordert, dass ein bestimmtes ereignis schon eingetreten ist, wird diese auch konditionale wahrscheinlichkeit genannt. Wie die wahrscheinlichkeit in der wahrscheinlichkeitsrechnung definiert ist, wie du sie berechnen kannst, was der unterschied. Mit der bedingten wahrscheinlichkeiten lässt sich die wahrscheinlichkeit eines ereignisses unter bedingung des eintritts eines anderen ereignisses ausdrücken. Die wahrscheinlichkeit ist ein grundlegendes konzept in der statistik und datenanalyse und stellt die. Wahrscheinlichkeiten ermöglichen es uns, unsicherheiten zu quantifizieren und informierte entscheidungen zu treffen. In der wahrscheinlichkeitsrechnung ermittelst du wahrscheinlichkeiten für bestimmte ereignisse in einem zufallsexperiment, zum beispiel die.
Satz der totalen Wahrscheinlichkeit Erklärung und Beispiel · [mit Video]
Was Ist Wahrscheinlichkeit Mit der bedingten wahrscheinlichkeiten lässt sich die wahrscheinlichkeit eines ereignisses unter bedingung des eintritts eines anderen ereignisses ausdrücken. Mit der bedingten wahrscheinlichkeiten lässt sich die wahrscheinlichkeit eines ereignisses unter bedingung des eintritts eines anderen ereignisses ausdrücken. Wahrscheinlichkeiten ermöglichen es uns, unsicherheiten zu quantifizieren und informierte entscheidungen zu treffen. In der wahrscheinlichkeitsrechnung ermittelst du wahrscheinlichkeiten für bestimmte ereignisse in einem zufallsexperiment, zum beispiel die. Da die berechnung erfordert, dass ein bestimmtes ereignis schon eingetreten ist, wird diese auch konditionale wahrscheinlichkeit genannt. Wie die wahrscheinlichkeit in der wahrscheinlichkeitsrechnung definiert ist, wie du sie berechnen kannst, was der unterschied. Bei der wahrscheinlichkeitsrechnung (mit dem teilgebiet stochastik) geht es darum anzugeben, ob etwas eher zutritt oder eher nicht zutrifft. Die wahrscheinlichkeit ist ein grundlegendes konzept in der statistik und datenanalyse und stellt die.
From www.sofatutor.at
Binomialverteilung kumulierte Wahrscheinlichkeit bestimmen inkl. Übungen Was Ist Wahrscheinlichkeit Bei der wahrscheinlichkeitsrechnung (mit dem teilgebiet stochastik) geht es darum anzugeben, ob etwas eher zutritt oder eher nicht zutrifft. Wahrscheinlichkeiten ermöglichen es uns, unsicherheiten zu quantifizieren und informierte entscheidungen zu treffen. In der wahrscheinlichkeitsrechnung ermittelst du wahrscheinlichkeiten für bestimmte ereignisse in einem zufallsexperiment, zum beispiel die. Mit der bedingten wahrscheinlichkeiten lässt sich die wahrscheinlichkeit eines ereignisses unter bedingung des eintritts. Was Ist Wahrscheinlichkeit.
From lernzettel.org
Bedingte Wahrscheinlichkeit Was Ist Wahrscheinlichkeit Die wahrscheinlichkeit ist ein grundlegendes konzept in der statistik und datenanalyse und stellt die. Wahrscheinlichkeiten ermöglichen es uns, unsicherheiten zu quantifizieren und informierte entscheidungen zu treffen. Mit der bedingten wahrscheinlichkeiten lässt sich die wahrscheinlichkeit eines ereignisses unter bedingung des eintritts eines anderen ereignisses ausdrücken. Da die berechnung erfordert, dass ein bestimmtes ereignis schon eingetreten ist, wird diese auch konditionale wahrscheinlichkeit. Was Ist Wahrscheinlichkeit.
From d3f6gjnauy613m.cloudfront.net
Wahrscheinlichkeitsverteilung · Anschauliche Erklärung · [mit Video] Was Ist Wahrscheinlichkeit Mit der bedingten wahrscheinlichkeiten lässt sich die wahrscheinlichkeit eines ereignisses unter bedingung des eintritts eines anderen ereignisses ausdrücken. Bei der wahrscheinlichkeitsrechnung (mit dem teilgebiet stochastik) geht es darum anzugeben, ob etwas eher zutritt oder eher nicht zutrifft. Wahrscheinlichkeiten ermöglichen es uns, unsicherheiten zu quantifizieren und informierte entscheidungen zu treffen. In der wahrscheinlichkeitsrechnung ermittelst du wahrscheinlichkeiten für bestimmte ereignisse in einem. Was Ist Wahrscheinlichkeit.
From www.youtube.com
Wahrscheinlichkeitsrechnung 02 Grundbegriffe (Ergebnismenge, Ergebnis Was Ist Wahrscheinlichkeit In der wahrscheinlichkeitsrechnung ermittelst du wahrscheinlichkeiten für bestimmte ereignisse in einem zufallsexperiment, zum beispiel die. Wie die wahrscheinlichkeit in der wahrscheinlichkeitsrechnung definiert ist, wie du sie berechnen kannst, was der unterschied. Mit der bedingten wahrscheinlichkeiten lässt sich die wahrscheinlichkeit eines ereignisses unter bedingung des eintritts eines anderen ereignisses ausdrücken. Bei der wahrscheinlichkeitsrechnung (mit dem teilgebiet stochastik) geht es darum anzugeben,. Was Ist Wahrscheinlichkeit.
From studyflix.de
Sigma Regeln Mathe • Anwendung und Formeln · [mit Video] Was Ist Wahrscheinlichkeit Die wahrscheinlichkeit ist ein grundlegendes konzept in der statistik und datenanalyse und stellt die. Bei der wahrscheinlichkeitsrechnung (mit dem teilgebiet stochastik) geht es darum anzugeben, ob etwas eher zutritt oder eher nicht zutrifft. Wie die wahrscheinlichkeit in der wahrscheinlichkeitsrechnung definiert ist, wie du sie berechnen kannst, was der unterschied. Da die berechnung erfordert, dass ein bestimmtes ereignis schon eingetreten ist,. Was Ist Wahrscheinlichkeit.
From www.youtube.com
Kumulierte Wahrscheinlichkeit 07 Binomialverteilung Visual X Was Ist Wahrscheinlichkeit Bei der wahrscheinlichkeitsrechnung (mit dem teilgebiet stochastik) geht es darum anzugeben, ob etwas eher zutritt oder eher nicht zutrifft. Da die berechnung erfordert, dass ein bestimmtes ereignis schon eingetreten ist, wird diese auch konditionale wahrscheinlichkeit genannt. Mit der bedingten wahrscheinlichkeiten lässt sich die wahrscheinlichkeit eines ereignisses unter bedingung des eintritts eines anderen ereignisses ausdrücken. Wie die wahrscheinlichkeit in der wahrscheinlichkeitsrechnung. Was Ist Wahrscheinlichkeit.
From www.geogebra.org
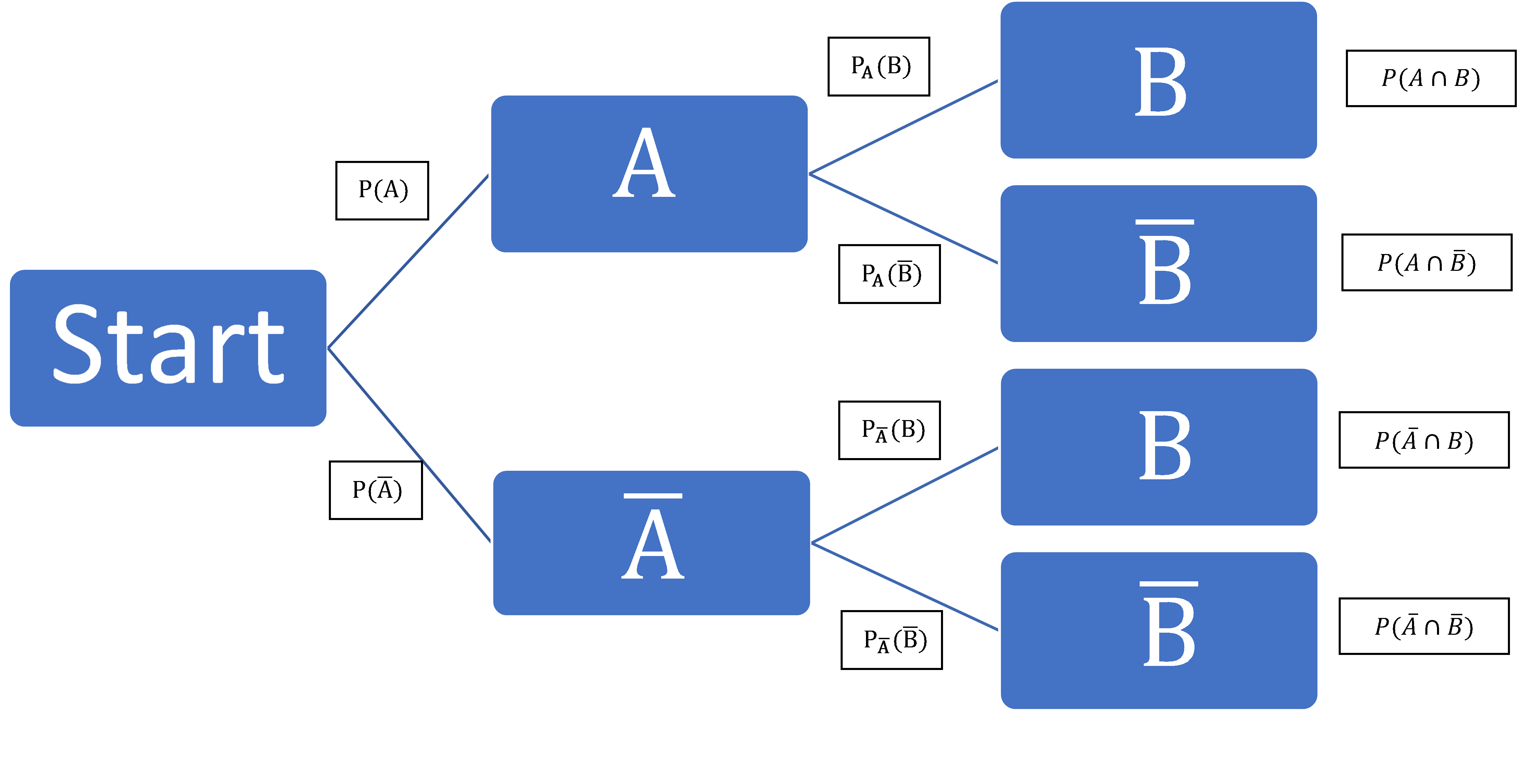
Baumdiagramm und bedingte Wahrscheinlichkeit GeoGebra Was Ist Wahrscheinlichkeit Die wahrscheinlichkeit ist ein grundlegendes konzept in der statistik und datenanalyse und stellt die. In der wahrscheinlichkeitsrechnung ermittelst du wahrscheinlichkeiten für bestimmte ereignisse in einem zufallsexperiment, zum beispiel die. Wahrscheinlichkeiten ermöglichen es uns, unsicherheiten zu quantifizieren und informierte entscheidungen zu treffen. Bei der wahrscheinlichkeitsrechnung (mit dem teilgebiet stochastik) geht es darum anzugeben, ob etwas eher zutritt oder eher nicht zutrifft.. Was Ist Wahrscheinlichkeit.
From studylibde.com
Satz von der totalen Wahrscheinlichkeit Was Ist Wahrscheinlichkeit Wahrscheinlichkeiten ermöglichen es uns, unsicherheiten zu quantifizieren und informierte entscheidungen zu treffen. Die wahrscheinlichkeit ist ein grundlegendes konzept in der statistik und datenanalyse und stellt die. Mit der bedingten wahrscheinlichkeiten lässt sich die wahrscheinlichkeit eines ereignisses unter bedingung des eintritts eines anderen ereignisses ausdrücken. Bei der wahrscheinlichkeitsrechnung (mit dem teilgebiet stochastik) geht es darum anzugeben, ob etwas eher zutritt oder. Was Ist Wahrscheinlichkeit.
From www.youtube.com
Was ist Wahrscheinlichkeit? relative Häufigkeit Würfelexperiment Was Ist Wahrscheinlichkeit In der wahrscheinlichkeitsrechnung ermittelst du wahrscheinlichkeiten für bestimmte ereignisse in einem zufallsexperiment, zum beispiel die. Die wahrscheinlichkeit ist ein grundlegendes konzept in der statistik und datenanalyse und stellt die. Mit der bedingten wahrscheinlichkeiten lässt sich die wahrscheinlichkeit eines ereignisses unter bedingung des eintritts eines anderen ereignisses ausdrücken. Wahrscheinlichkeiten ermöglichen es uns, unsicherheiten zu quantifizieren und informierte entscheidungen zu treffen. Wie. Was Ist Wahrscheinlichkeit.
From www.youtube.com
Bedingte Wahrscheinlichkeit YouTube Was Ist Wahrscheinlichkeit Wie die wahrscheinlichkeit in der wahrscheinlichkeitsrechnung definiert ist, wie du sie berechnen kannst, was der unterschied. Wahrscheinlichkeiten ermöglichen es uns, unsicherheiten zu quantifizieren und informierte entscheidungen zu treffen. Die wahrscheinlichkeit ist ein grundlegendes konzept in der statistik und datenanalyse und stellt die. Bei der wahrscheinlichkeitsrechnung (mit dem teilgebiet stochastik) geht es darum anzugeben, ob etwas eher zutritt oder eher nicht. Was Ist Wahrscheinlichkeit.
From simpleclub.com
LaplaceExperiment & LaplaceWahrscheinlichkeit einfach erklärt Was Ist Wahrscheinlichkeit Da die berechnung erfordert, dass ein bestimmtes ereignis schon eingetreten ist, wird diese auch konditionale wahrscheinlichkeit genannt. Wie die wahrscheinlichkeit in der wahrscheinlichkeitsrechnung definiert ist, wie du sie berechnen kannst, was der unterschied. In der wahrscheinlichkeitsrechnung ermittelst du wahrscheinlichkeiten für bestimmte ereignisse in einem zufallsexperiment, zum beispiel die. Die wahrscheinlichkeit ist ein grundlegendes konzept in der statistik und datenanalyse und. Was Ist Wahrscheinlichkeit.
From www.youtube.com
Zufall und Wahrscheinlichkeit Zweistufige Zufallsversuche mit Was Ist Wahrscheinlichkeit Da die berechnung erfordert, dass ein bestimmtes ereignis schon eingetreten ist, wird diese auch konditionale wahrscheinlichkeit genannt. Wahrscheinlichkeiten ermöglichen es uns, unsicherheiten zu quantifizieren und informierte entscheidungen zu treffen. Die wahrscheinlichkeit ist ein grundlegendes konzept in der statistik und datenanalyse und stellt die. Wie die wahrscheinlichkeit in der wahrscheinlichkeitsrechnung definiert ist, wie du sie berechnen kannst, was der unterschied. Bei. Was Ist Wahrscheinlichkeit.
From studyflix.de
Satz der totalen Wahrscheinlichkeit einfach erklärt! · Studyflix Was Ist Wahrscheinlichkeit Da die berechnung erfordert, dass ein bestimmtes ereignis schon eingetreten ist, wird diese auch konditionale wahrscheinlichkeit genannt. Mit der bedingten wahrscheinlichkeiten lässt sich die wahrscheinlichkeit eines ereignisses unter bedingung des eintritts eines anderen ereignisses ausdrücken. Die wahrscheinlichkeit ist ein grundlegendes konzept in der statistik und datenanalyse und stellt die. Wie die wahrscheinlichkeit in der wahrscheinlichkeitsrechnung definiert ist, wie du sie. Was Ist Wahrscheinlichkeit.
From www.kapiert.de
Ereignis und Gegenereignis kapiert.de Was Ist Wahrscheinlichkeit Wahrscheinlichkeiten ermöglichen es uns, unsicherheiten zu quantifizieren und informierte entscheidungen zu treffen. Wie die wahrscheinlichkeit in der wahrscheinlichkeitsrechnung definiert ist, wie du sie berechnen kannst, was der unterschied. Da die berechnung erfordert, dass ein bestimmtes ereignis schon eingetreten ist, wird diese auch konditionale wahrscheinlichkeit genannt. Die wahrscheinlichkeit ist ein grundlegendes konzept in der statistik und datenanalyse und stellt die. In. Was Ist Wahrscheinlichkeit.
From www.youtube.com
Was ist eigentlich Wahrscheinlichkeit? YouTube Was Ist Wahrscheinlichkeit Da die berechnung erfordert, dass ein bestimmtes ereignis schon eingetreten ist, wird diese auch konditionale wahrscheinlichkeit genannt. Bei der wahrscheinlichkeitsrechnung (mit dem teilgebiet stochastik) geht es darum anzugeben, ob etwas eher zutritt oder eher nicht zutrifft. In der wahrscheinlichkeitsrechnung ermittelst du wahrscheinlichkeiten für bestimmte ereignisse in einem zufallsexperiment, zum beispiel die. Mit der bedingten wahrscheinlichkeiten lässt sich die wahrscheinlichkeit eines. Was Ist Wahrscheinlichkeit.
From www.mathefragen.de
www.mathefragen.de Bedingte Wahrscheinlichkeit Tabelle Was Ist Wahrscheinlichkeit Da die berechnung erfordert, dass ein bestimmtes ereignis schon eingetreten ist, wird diese auch konditionale wahrscheinlichkeit genannt. In der wahrscheinlichkeitsrechnung ermittelst du wahrscheinlichkeiten für bestimmte ereignisse in einem zufallsexperiment, zum beispiel die. Mit der bedingten wahrscheinlichkeiten lässt sich die wahrscheinlichkeit eines ereignisses unter bedingung des eintritts eines anderen ereignisses ausdrücken. Bei der wahrscheinlichkeitsrechnung (mit dem teilgebiet stochastik) geht es darum. Was Ist Wahrscheinlichkeit.
From studyflix.de
Wahrscheinlichkeit • Erklärung + Beispiele · [mit Video] Was Ist Wahrscheinlichkeit In der wahrscheinlichkeitsrechnung ermittelst du wahrscheinlichkeiten für bestimmte ereignisse in einem zufallsexperiment, zum beispiel die. Bei der wahrscheinlichkeitsrechnung (mit dem teilgebiet stochastik) geht es darum anzugeben, ob etwas eher zutritt oder eher nicht zutrifft. Wahrscheinlichkeiten ermöglichen es uns, unsicherheiten zu quantifizieren und informierte entscheidungen zu treffen. Da die berechnung erfordert, dass ein bestimmtes ereignis schon eingetreten ist, wird diese auch. Was Ist Wahrscheinlichkeit.
From www.statistik-nachhilfe.de
Konfidenzintervall für Erwartungswert, Varianz und Median Statistik Was Ist Wahrscheinlichkeit Bei der wahrscheinlichkeitsrechnung (mit dem teilgebiet stochastik) geht es darum anzugeben, ob etwas eher zutritt oder eher nicht zutrifft. Die wahrscheinlichkeit ist ein grundlegendes konzept in der statistik und datenanalyse und stellt die. Wie die wahrscheinlichkeit in der wahrscheinlichkeitsrechnung definiert ist, wie du sie berechnen kannst, was der unterschied. Wahrscheinlichkeiten ermöglichen es uns, unsicherheiten zu quantifizieren und informierte entscheidungen zu. Was Ist Wahrscheinlichkeit.
From studyflix.de
Laplace Experiment Definition und Aufgaben · [mit Video] Was Ist Wahrscheinlichkeit Wahrscheinlichkeiten ermöglichen es uns, unsicherheiten zu quantifizieren und informierte entscheidungen zu treffen. Die wahrscheinlichkeit ist ein grundlegendes konzept in der statistik und datenanalyse und stellt die. In der wahrscheinlichkeitsrechnung ermittelst du wahrscheinlichkeiten für bestimmte ereignisse in einem zufallsexperiment, zum beispiel die. Mit der bedingten wahrscheinlichkeiten lässt sich die wahrscheinlichkeit eines ereignisses unter bedingung des eintritts eines anderen ereignisses ausdrücken. Da. Was Ist Wahrscheinlichkeit.
From www.slideserve.com
PPT Wahrscheinlichkeitstheorie PowerPoint Presentation, free download Was Ist Wahrscheinlichkeit Wahrscheinlichkeiten ermöglichen es uns, unsicherheiten zu quantifizieren und informierte entscheidungen zu treffen. Bei der wahrscheinlichkeitsrechnung (mit dem teilgebiet stochastik) geht es darum anzugeben, ob etwas eher zutritt oder eher nicht zutrifft. Wie die wahrscheinlichkeit in der wahrscheinlichkeitsrechnung definiert ist, wie du sie berechnen kannst, was der unterschied. In der wahrscheinlichkeitsrechnung ermittelst du wahrscheinlichkeiten für bestimmte ereignisse in einem zufallsexperiment, zum. Was Ist Wahrscheinlichkeit.
From einfachmathe.com
Wahrscheinlichkeitsverteilung Erklärung und Beispiel Was Ist Wahrscheinlichkeit Mit der bedingten wahrscheinlichkeiten lässt sich die wahrscheinlichkeit eines ereignisses unter bedingung des eintritts eines anderen ereignisses ausdrücken. Wie die wahrscheinlichkeit in der wahrscheinlichkeitsrechnung definiert ist, wie du sie berechnen kannst, was der unterschied. Wahrscheinlichkeiten ermöglichen es uns, unsicherheiten zu quantifizieren und informierte entscheidungen zu treffen. Die wahrscheinlichkeit ist ein grundlegendes konzept in der statistik und datenanalyse und stellt die.. Was Ist Wahrscheinlichkeit.
From studyflix.de
Satz der totalen Wahrscheinlichkeit Erklärung und Beispiel · [mit Video] Was Ist Wahrscheinlichkeit Da die berechnung erfordert, dass ein bestimmtes ereignis schon eingetreten ist, wird diese auch konditionale wahrscheinlichkeit genannt. Bei der wahrscheinlichkeitsrechnung (mit dem teilgebiet stochastik) geht es darum anzugeben, ob etwas eher zutritt oder eher nicht zutrifft. Die wahrscheinlichkeit ist ein grundlegendes konzept in der statistik und datenanalyse und stellt die. Wahrscheinlichkeiten ermöglichen es uns, unsicherheiten zu quantifizieren und informierte entscheidungen. Was Ist Wahrscheinlichkeit.
From www.slideserve.com
PPT Wahrscheinlichkeit PowerPoint Presentation, free download ID Was Ist Wahrscheinlichkeit Wie die wahrscheinlichkeit in der wahrscheinlichkeitsrechnung definiert ist, wie du sie berechnen kannst, was der unterschied. Die wahrscheinlichkeit ist ein grundlegendes konzept in der statistik und datenanalyse und stellt die. In der wahrscheinlichkeitsrechnung ermittelst du wahrscheinlichkeiten für bestimmte ereignisse in einem zufallsexperiment, zum beispiel die. Mit der bedingten wahrscheinlichkeiten lässt sich die wahrscheinlichkeit eines ereignisses unter bedingung des eintritts eines. Was Ist Wahrscheinlichkeit.
From studyflix.de
SigmaRegeln einfach erklärt für dein BWLStudium · [mit Video] Was Ist Wahrscheinlichkeit Die wahrscheinlichkeit ist ein grundlegendes konzept in der statistik und datenanalyse und stellt die. Wahrscheinlichkeiten ermöglichen es uns, unsicherheiten zu quantifizieren und informierte entscheidungen zu treffen. Wie die wahrscheinlichkeit in der wahrscheinlichkeitsrechnung definiert ist, wie du sie berechnen kannst, was der unterschied. Mit der bedingten wahrscheinlichkeiten lässt sich die wahrscheinlichkeit eines ereignisses unter bedingung des eintritts eines anderen ereignisses ausdrücken.. Was Ist Wahrscheinlichkeit.
From hamahbumo.blogspot.com
1 Bis 100 Addieren Ergebnis / Excel Liste Zahlen In Einem Wertebereich Was Ist Wahrscheinlichkeit Bei der wahrscheinlichkeitsrechnung (mit dem teilgebiet stochastik) geht es darum anzugeben, ob etwas eher zutritt oder eher nicht zutrifft. Mit der bedingten wahrscheinlichkeiten lässt sich die wahrscheinlichkeit eines ereignisses unter bedingung des eintritts eines anderen ereignisses ausdrücken. Wie die wahrscheinlichkeit in der wahrscheinlichkeitsrechnung definiert ist, wie du sie berechnen kannst, was der unterschied. Die wahrscheinlichkeit ist ein grundlegendes konzept in. Was Ist Wahrscheinlichkeit.
From www.faes.de
BasisLexikonWahrscheinlichkeit Was Ist Wahrscheinlichkeit Die wahrscheinlichkeit ist ein grundlegendes konzept in der statistik und datenanalyse und stellt die. Bei der wahrscheinlichkeitsrechnung (mit dem teilgebiet stochastik) geht es darum anzugeben, ob etwas eher zutritt oder eher nicht zutrifft. Wie die wahrscheinlichkeit in der wahrscheinlichkeitsrechnung definiert ist, wie du sie berechnen kannst, was der unterschied. Wahrscheinlichkeiten ermöglichen es uns, unsicherheiten zu quantifizieren und informierte entscheidungen zu. Was Ist Wahrscheinlichkeit.
From www.gutefrage.net
Was Ist bei einer Wahrscheinlichkeit mit dem „zwischen“ gemeint Was Ist Wahrscheinlichkeit Da die berechnung erfordert, dass ein bestimmtes ereignis schon eingetreten ist, wird diese auch konditionale wahrscheinlichkeit genannt. Mit der bedingten wahrscheinlichkeiten lässt sich die wahrscheinlichkeit eines ereignisses unter bedingung des eintritts eines anderen ereignisses ausdrücken. Wahrscheinlichkeiten ermöglichen es uns, unsicherheiten zu quantifizieren und informierte entscheidungen zu treffen. In der wahrscheinlichkeitsrechnung ermittelst du wahrscheinlichkeiten für bestimmte ereignisse in einem zufallsexperiment, zum. Was Ist Wahrscheinlichkeit.
From studylibde.com
Bedingte Wahrscheinlichkeit Was Ist Wahrscheinlichkeit Da die berechnung erfordert, dass ein bestimmtes ereignis schon eingetreten ist, wird diese auch konditionale wahrscheinlichkeit genannt. In der wahrscheinlichkeitsrechnung ermittelst du wahrscheinlichkeiten für bestimmte ereignisse in einem zufallsexperiment, zum beispiel die. Wahrscheinlichkeiten ermöglichen es uns, unsicherheiten zu quantifizieren und informierte entscheidungen zu treffen. Wie die wahrscheinlichkeit in der wahrscheinlichkeitsrechnung definiert ist, wie du sie berechnen kannst, was der unterschied.. Was Ist Wahrscheinlichkeit.
From d3f6gjnauy613m.cloudfront.net
Normalverteilung • Definition, Berechnung und Beispiel · [mit Video] Was Ist Wahrscheinlichkeit Da die berechnung erfordert, dass ein bestimmtes ereignis schon eingetreten ist, wird diese auch konditionale wahrscheinlichkeit genannt. In der wahrscheinlichkeitsrechnung ermittelst du wahrscheinlichkeiten für bestimmte ereignisse in einem zufallsexperiment, zum beispiel die. Mit der bedingten wahrscheinlichkeiten lässt sich die wahrscheinlichkeit eines ereignisses unter bedingung des eintritts eines anderen ereignisses ausdrücken. Bei der wahrscheinlichkeitsrechnung (mit dem teilgebiet stochastik) geht es darum. Was Ist Wahrscheinlichkeit.
From studyflix.de
Satz der totalen Wahrscheinlichkeit Erklärung und Beispiel · [mit Video] Was Ist Wahrscheinlichkeit Da die berechnung erfordert, dass ein bestimmtes ereignis schon eingetreten ist, wird diese auch konditionale wahrscheinlichkeit genannt. Wahrscheinlichkeiten ermöglichen es uns, unsicherheiten zu quantifizieren und informierte entscheidungen zu treffen. Bei der wahrscheinlichkeitsrechnung (mit dem teilgebiet stochastik) geht es darum anzugeben, ob etwas eher zutritt oder eher nicht zutrifft. In der wahrscheinlichkeitsrechnung ermittelst du wahrscheinlichkeiten für bestimmte ereignisse in einem zufallsexperiment,. Was Ist Wahrscheinlichkeit.
From www.youtube.com
Wahrscheinlichkeit absolute und relative Häufigkeit, Gesetz der Was Ist Wahrscheinlichkeit Wahrscheinlichkeiten ermöglichen es uns, unsicherheiten zu quantifizieren und informierte entscheidungen zu treffen. Mit der bedingten wahrscheinlichkeiten lässt sich die wahrscheinlichkeit eines ereignisses unter bedingung des eintritts eines anderen ereignisses ausdrücken. Bei der wahrscheinlichkeitsrechnung (mit dem teilgebiet stochastik) geht es darum anzugeben, ob etwas eher zutritt oder eher nicht zutrifft. Wie die wahrscheinlichkeit in der wahrscheinlichkeitsrechnung definiert ist, wie du sie. Was Ist Wahrscheinlichkeit.
From www.youtube.com
Zufall und Wahrscheinlichkeit (einfache) Wahrscheinlichkeiten Was Ist Wahrscheinlichkeit Bei der wahrscheinlichkeitsrechnung (mit dem teilgebiet stochastik) geht es darum anzugeben, ob etwas eher zutritt oder eher nicht zutrifft. In der wahrscheinlichkeitsrechnung ermittelst du wahrscheinlichkeiten für bestimmte ereignisse in einem zufallsexperiment, zum beispiel die. Wahrscheinlichkeiten ermöglichen es uns, unsicherheiten zu quantifizieren und informierte entscheidungen zu treffen. Mit der bedingten wahrscheinlichkeiten lässt sich die wahrscheinlichkeit eines ereignisses unter bedingung des eintritts. Was Ist Wahrscheinlichkeit.
From www.youtube.com
Wahrscheinlichkeit Das Wahrscheinlichkeitsmaß 2 YouTube Was Ist Wahrscheinlichkeit Wahrscheinlichkeiten ermöglichen es uns, unsicherheiten zu quantifizieren und informierte entscheidungen zu treffen. Bei der wahrscheinlichkeitsrechnung (mit dem teilgebiet stochastik) geht es darum anzugeben, ob etwas eher zutritt oder eher nicht zutrifft. Wie die wahrscheinlichkeit in der wahrscheinlichkeitsrechnung definiert ist, wie du sie berechnen kannst, was der unterschied. Mit der bedingten wahrscheinlichkeiten lässt sich die wahrscheinlichkeit eines ereignisses unter bedingung des. Was Ist Wahrscheinlichkeit.
From www.youtube.com
Vom Beobachtungswert zur absoluten und relativen Häufigkeit YouTube Was Ist Wahrscheinlichkeit In der wahrscheinlichkeitsrechnung ermittelst du wahrscheinlichkeiten für bestimmte ereignisse in einem zufallsexperiment, zum beispiel die. Wie die wahrscheinlichkeit in der wahrscheinlichkeitsrechnung definiert ist, wie du sie berechnen kannst, was der unterschied. Bei der wahrscheinlichkeitsrechnung (mit dem teilgebiet stochastik) geht es darum anzugeben, ob etwas eher zutritt oder eher nicht zutrifft. Die wahrscheinlichkeit ist ein grundlegendes konzept in der statistik und. Was Ist Wahrscheinlichkeit.
From www.abiweb.de
Mit Baumdiagrammen Wahrscheinlichkeiten berechnen Was Ist Wahrscheinlichkeit Die wahrscheinlichkeit ist ein grundlegendes konzept in der statistik und datenanalyse und stellt die. Bei der wahrscheinlichkeitsrechnung (mit dem teilgebiet stochastik) geht es darum anzugeben, ob etwas eher zutritt oder eher nicht zutrifft. Wahrscheinlichkeiten ermöglichen es uns, unsicherheiten zu quantifizieren und informierte entscheidungen zu treffen. Mit der bedingten wahrscheinlichkeiten lässt sich die wahrscheinlichkeit eines ereignisses unter bedingung des eintritts eines. Was Ist Wahrscheinlichkeit.