Find Rate Constant For First Order Reaction Is 75 Percent . Understanding and calculating rate constants is crucial for predicting reaction rates, determining reaction mechanisms, and. The calculation involves using the natural logarithm of the inverse of the fraction of the remaining reactant concentration. How long time will it take for its 87.5% completion? A first order reaction is 75% completed in 100 minutes. To use this online calculator for rate constant of first order reaction, enter initial concentration (c 0), amount reacted in time t (x) & reaction. The first part of this derivation, the formula for the rate constant $k$ for the first order reaction, is done in the last part of chemistry student's answer, and hence i'd not.
from ar.inspiredpencil.com
The first part of this derivation, the formula for the rate constant $k$ for the first order reaction, is done in the last part of chemistry student's answer, and hence i'd not. The calculation involves using the natural logarithm of the inverse of the fraction of the remaining reactant concentration. A first order reaction is 75% completed in 100 minutes. Understanding and calculating rate constants is crucial for predicting reaction rates, determining reaction mechanisms, and. How long time will it take for its 87.5% completion? To use this online calculator for rate constant of first order reaction, enter initial concentration (c 0), amount reacted in time t (x) & reaction.
First Order Reaction Rate
Find Rate Constant For First Order Reaction Is 75 Percent The first part of this derivation, the formula for the rate constant $k$ for the first order reaction, is done in the last part of chemistry student's answer, and hence i'd not. Understanding and calculating rate constants is crucial for predicting reaction rates, determining reaction mechanisms, and. A first order reaction is 75% completed in 100 minutes. The calculation involves using the natural logarithm of the inverse of the fraction of the remaining reactant concentration. To use this online calculator for rate constant of first order reaction, enter initial concentration (c 0), amount reacted in time t (x) & reaction. The first part of this derivation, the formula for the rate constant $k$ for the first order reaction, is done in the last part of chemistry student's answer, and hence i'd not. How long time will it take for its 87.5% completion?
From www.researchgate.net
How to calculate rate constant for first order reaction? ResearchGate Find Rate Constant For First Order Reaction Is 75 Percent The calculation involves using the natural logarithm of the inverse of the fraction of the remaining reactant concentration. To use this online calculator for rate constant of first order reaction, enter initial concentration (c 0), amount reacted in time t (x) & reaction. The first part of this derivation, the formula for the rate constant $k$ for the first order. Find Rate Constant For First Order Reaction Is 75 Percent.
From www.youtube.com
Integrated Rate Equation for first Order Reaction First Order Find Rate Constant For First Order Reaction Is 75 Percent The first part of this derivation, the formula for the rate constant $k$ for the first order reaction, is done in the last part of chemistry student's answer, and hence i'd not. A first order reaction is 75% completed in 100 minutes. To use this online calculator for rate constant of first order reaction, enter initial concentration (c 0), amount. Find Rate Constant For First Order Reaction Is 75 Percent.
From byjus.com
What is the unit of rate constant for first order reaction Find Rate Constant For First Order Reaction Is 75 Percent The calculation involves using the natural logarithm of the inverse of the fraction of the remaining reactant concentration. A first order reaction is 75% completed in 100 minutes. Understanding and calculating rate constants is crucial for predicting reaction rates, determining reaction mechanisms, and. The first part of this derivation, the formula for the rate constant $k$ for the first order. Find Rate Constant For First Order Reaction Is 75 Percent.
From study.com
Identifying HalfLife Given the Rate Constant Chemistry Find Rate Constant For First Order Reaction Is 75 Percent The first part of this derivation, the formula for the rate constant $k$ for the first order reaction, is done in the last part of chemistry student's answer, and hence i'd not. How long time will it take for its 87.5% completion? Understanding and calculating rate constants is crucial for predicting reaction rates, determining reaction mechanisms, and. A first order. Find Rate Constant For First Order Reaction Is 75 Percent.
From www.youtube.com
How to calculate the order of a reaction and the rate constant YouTube Find Rate Constant For First Order Reaction Is 75 Percent The calculation involves using the natural logarithm of the inverse of the fraction of the remaining reactant concentration. To use this online calculator for rate constant of first order reaction, enter initial concentration (c 0), amount reacted in time t (x) & reaction. Understanding and calculating rate constants is crucial for predicting reaction rates, determining reaction mechanisms, and. The first. Find Rate Constant For First Order Reaction Is 75 Percent.
From www.youtube.com
Rate constant for first order reaction of gas phase reaction YouTube Find Rate Constant For First Order Reaction Is 75 Percent How long time will it take for its 87.5% completion? Understanding and calculating rate constants is crucial for predicting reaction rates, determining reaction mechanisms, and. A first order reaction is 75% completed in 100 minutes. The calculation involves using the natural logarithm of the inverse of the fraction of the remaining reactant concentration. To use this online calculator for rate. Find Rate Constant For First Order Reaction Is 75 Percent.
From www.brainkart.com
Rate equation for first order reactions Find Rate Constant For First Order Reaction Is 75 Percent The calculation involves using the natural logarithm of the inverse of the fraction of the remaining reactant concentration. The first part of this derivation, the formula for the rate constant $k$ for the first order reaction, is done in the last part of chemistry student's answer, and hence i'd not. A first order reaction is 75% completed in 100 minutes.. Find Rate Constant For First Order Reaction Is 75 Percent.
From www.youtube.com
Quickvideo Calculating rate constant from a firstorder reaction Find Rate Constant For First Order Reaction Is 75 Percent Understanding and calculating rate constants is crucial for predicting reaction rates, determining reaction mechanisms, and. A first order reaction is 75% completed in 100 minutes. To use this online calculator for rate constant of first order reaction, enter initial concentration (c 0), amount reacted in time t (x) & reaction. How long time will it take for its 87.5% completion?. Find Rate Constant For First Order Reaction Is 75 Percent.
From www.brainkart.com
Rate equation for first order reactions Find Rate Constant For First Order Reaction Is 75 Percent To use this online calculator for rate constant of first order reaction, enter initial concentration (c 0), amount reacted in time t (x) & reaction. How long time will it take for its 87.5% completion? A first order reaction is 75% completed in 100 minutes. The first part of this derivation, the formula for the rate constant $k$ for the. Find Rate Constant For First Order Reaction Is 75 Percent.
From www.youtube.com
The rate constant for a first order reaction six times when the Find Rate Constant For First Order Reaction Is 75 Percent Understanding and calculating rate constants is crucial for predicting reaction rates, determining reaction mechanisms, and. How long time will it take for its 87.5% completion? The first part of this derivation, the formula for the rate constant $k$ for the first order reaction, is done in the last part of chemistry student's answer, and hence i'd not. The calculation involves. Find Rate Constant For First Order Reaction Is 75 Percent.
From ar.inspiredpencil.com
First Order Reaction Rate Find Rate Constant For First Order Reaction Is 75 Percent The calculation involves using the natural logarithm of the inverse of the fraction of the remaining reactant concentration. To use this online calculator for rate constant of first order reaction, enter initial concentration (c 0), amount reacted in time t (x) & reaction. A first order reaction is 75% completed in 100 minutes. How long time will it take for. Find Rate Constant For First Order Reaction Is 75 Percent.
From askfilo.com
The rate constant for a first order reaction is given by the following eq.. Find Rate Constant For First Order Reaction Is 75 Percent The first part of this derivation, the formula for the rate constant $k$ for the first order reaction, is done in the last part of chemistry student's answer, and hence i'd not. Understanding and calculating rate constants is crucial for predicting reaction rates, determining reaction mechanisms, and. How long time will it take for its 87.5% completion? To use this. Find Rate Constant For First Order Reaction Is 75 Percent.
From askfilo.com
CHEMICAL 1. The specific rate constant of first order reaction i.. Find Rate Constant For First Order Reaction Is 75 Percent How long time will it take for its 87.5% completion? The calculation involves using the natural logarithm of the inverse of the fraction of the remaining reactant concentration. The first part of this derivation, the formula for the rate constant $k$ for the first order reaction, is done in the last part of chemistry student's answer, and hence i'd not.. Find Rate Constant For First Order Reaction Is 75 Percent.
From www.toppr.com
A first order reaction is 75 completed in 100 minutes. How long time Find Rate Constant For First Order Reaction Is 75 Percent Understanding and calculating rate constants is crucial for predicting reaction rates, determining reaction mechanisms, and. To use this online calculator for rate constant of first order reaction, enter initial concentration (c 0), amount reacted in time t (x) & reaction. The first part of this derivation, the formula for the rate constant $k$ for the first order reaction, is done. Find Rate Constant For First Order Reaction Is 75 Percent.
From www.youtube.com
first order reaction rate calculation example YouTube Find Rate Constant For First Order Reaction Is 75 Percent How long time will it take for its 87.5% completion? The calculation involves using the natural logarithm of the inverse of the fraction of the remaining reactant concentration. To use this online calculator for rate constant of first order reaction, enter initial concentration (c 0), amount reacted in time t (x) & reaction. Understanding and calculating rate constants is crucial. Find Rate Constant For First Order Reaction Is 75 Percent.
From www.youtube.com
The rate constant of a first order reaction is `3 xx 10^(6)" per sec Find Rate Constant For First Order Reaction Is 75 Percent The calculation involves using the natural logarithm of the inverse of the fraction of the remaining reactant concentration. How long time will it take for its 87.5% completion? To use this online calculator for rate constant of first order reaction, enter initial concentration (c 0), amount reacted in time t (x) & reaction. Understanding and calculating rate constants is crucial. Find Rate Constant For First Order Reaction Is 75 Percent.
From 9to5science.com
[Solved] Formula for rate constant for the first order 9to5Science Find Rate Constant For First Order Reaction Is 75 Percent How long time will it take for its 87.5% completion? The calculation involves using the natural logarithm of the inverse of the fraction of the remaining reactant concentration. Understanding and calculating rate constants is crucial for predicting reaction rates, determining reaction mechanisms, and. The first part of this derivation, the formula for the rate constant $k$ for the first order. Find Rate Constant For First Order Reaction Is 75 Percent.
From general.chemistrysteps.com
Rate Law and Reaction Order Chemistry Steps Find Rate Constant For First Order Reaction Is 75 Percent The calculation involves using the natural logarithm of the inverse of the fraction of the remaining reactant concentration. To use this online calculator for rate constant of first order reaction, enter initial concentration (c 0), amount reacted in time t (x) & reaction. The first part of this derivation, the formula for the rate constant $k$ for the first order. Find Rate Constant For First Order Reaction Is 75 Percent.
From general.chemistrysteps.com
FirstOrder Reactions Chemistry Steps Find Rate Constant For First Order Reaction Is 75 Percent To use this online calculator for rate constant of first order reaction, enter initial concentration (c 0), amount reacted in time t (x) & reaction. Understanding and calculating rate constants is crucial for predicting reaction rates, determining reaction mechanisms, and. The first part of this derivation, the formula for the rate constant $k$ for the first order reaction, is done. Find Rate Constant For First Order Reaction Is 75 Percent.
From www.youtube.com
Integrated rate equation for first order reaction YouTube Find Rate Constant For First Order Reaction Is 75 Percent How long time will it take for its 87.5% completion? A first order reaction is 75% completed in 100 minutes. To use this online calculator for rate constant of first order reaction, enter initial concentration (c 0), amount reacted in time t (x) & reaction. Understanding and calculating rate constants is crucial for predicting reaction rates, determining reaction mechanisms, and.. Find Rate Constant For First Order Reaction Is 75 Percent.
From newbedev.com
Chemistry Formula for rate constant for the first order reaction Find Rate Constant For First Order Reaction Is 75 Percent To use this online calculator for rate constant of first order reaction, enter initial concentration (c 0), amount reacted in time t (x) & reaction. The calculation involves using the natural logarithm of the inverse of the fraction of the remaining reactant concentration. Understanding and calculating rate constants is crucial for predicting reaction rates, determining reaction mechanisms, and. The first. Find Rate Constant For First Order Reaction Is 75 Percent.
From ar.inspiredpencil.com
First Order Reaction Rate Find Rate Constant For First Order Reaction Is 75 Percent A first order reaction is 75% completed in 100 minutes. To use this online calculator for rate constant of first order reaction, enter initial concentration (c 0), amount reacted in time t (x) & reaction. How long time will it take for its 87.5% completion? Understanding and calculating rate constants is crucial for predicting reaction rates, determining reaction mechanisms, and.. Find Rate Constant For First Order Reaction Is 75 Percent.
From chemistnotes.com
First Order Reaction definition, example, half life period Chemistry Find Rate Constant For First Order Reaction Is 75 Percent To use this online calculator for rate constant of first order reaction, enter initial concentration (c 0), amount reacted in time t (x) & reaction. How long time will it take for its 87.5% completion? A first order reaction is 75% completed in 100 minutes. Understanding and calculating rate constants is crucial for predicting reaction rates, determining reaction mechanisms, and.. Find Rate Constant For First Order Reaction Is 75 Percent.
From www.researchgate.net
Firstorder reaction rate constants (k obs ) and initial reaction rates Find Rate Constant For First Order Reaction Is 75 Percent The calculation involves using the natural logarithm of the inverse of the fraction of the remaining reactant concentration. The first part of this derivation, the formula for the rate constant $k$ for the first order reaction, is done in the last part of chemistry student's answer, and hence i'd not. Understanding and calculating rate constants is crucial for predicting reaction. Find Rate Constant For First Order Reaction Is 75 Percent.
From www.coursehero.com
[Solved] A certain firstorder reaction has a rate constant of Find Rate Constant For First Order Reaction Is 75 Percent The calculation involves using the natural logarithm of the inverse of the fraction of the remaining reactant concentration. Understanding and calculating rate constants is crucial for predicting reaction rates, determining reaction mechanisms, and. The first part of this derivation, the formula for the rate constant $k$ for the first order reaction, is done in the last part of chemistry student's. Find Rate Constant For First Order Reaction Is 75 Percent.
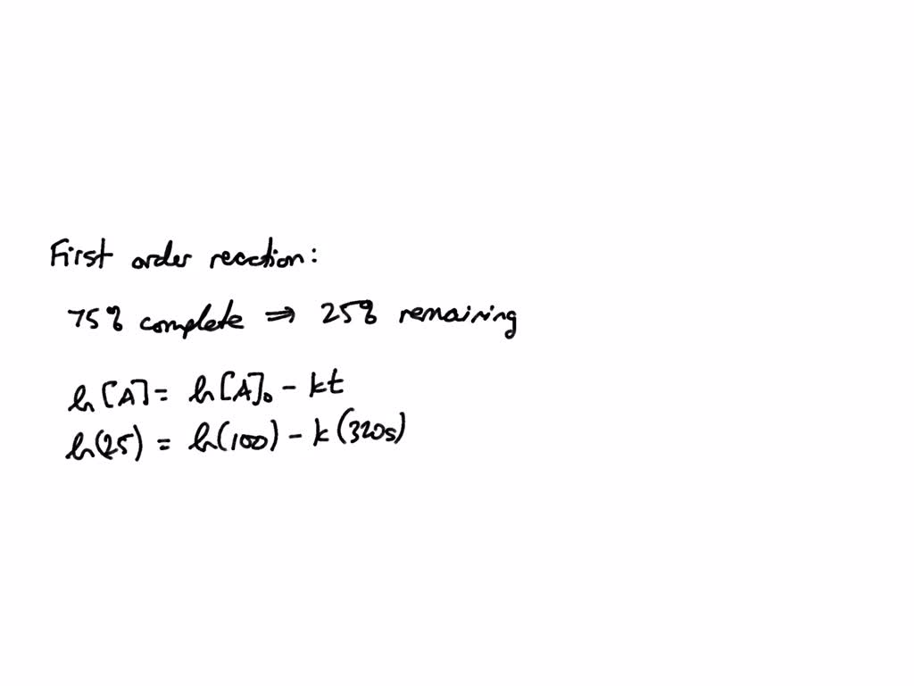
From www.numerade.com
SOLVED A first order reaction is 75 complete in 320 s. What is the Find Rate Constant For First Order Reaction Is 75 Percent The first part of this derivation, the formula for the rate constant $k$ for the first order reaction, is done in the last part of chemistry student's answer, and hence i'd not. A first order reaction is 75% completed in 100 minutes. Understanding and calculating rate constants is crucial for predicting reaction rates, determining reaction mechanisms, and. How long time. Find Rate Constant For First Order Reaction Is 75 Percent.
From chemistryguru.com.sg
Rate Equation and Order of Reaction Find Rate Constant For First Order Reaction Is 75 Percent The calculation involves using the natural logarithm of the inverse of the fraction of the remaining reactant concentration. To use this online calculator for rate constant of first order reaction, enter initial concentration (c 0), amount reacted in time t (x) & reaction. How long time will it take for its 87.5% completion? Understanding and calculating rate constants is crucial. Find Rate Constant For First Order Reaction Is 75 Percent.
From www.youtube.com
Units of rate constant calculate rate constant units units of first Find Rate Constant For First Order Reaction Is 75 Percent How long time will it take for its 87.5% completion? A first order reaction is 75% completed in 100 minutes. To use this online calculator for rate constant of first order reaction, enter initial concentration (c 0), amount reacted in time t (x) & reaction. The first part of this derivation, the formula for the rate constant $k$ for the. Find Rate Constant For First Order Reaction Is 75 Percent.
From www.brainkart.com
Rate equation for first order reactions Find Rate Constant For First Order Reaction Is 75 Percent Understanding and calculating rate constants is crucial for predicting reaction rates, determining reaction mechanisms, and. A first order reaction is 75% completed in 100 minutes. The calculation involves using the natural logarithm of the inverse of the fraction of the remaining reactant concentration. To use this online calculator for rate constant of first order reaction, enter initial concentration (c 0),. Find Rate Constant For First Order Reaction Is 75 Percent.
From www.brainkart.com
Rate equation for first order reactions Find Rate Constant For First Order Reaction Is 75 Percent The calculation involves using the natural logarithm of the inverse of the fraction of the remaining reactant concentration. To use this online calculator for rate constant of first order reaction, enter initial concentration (c 0), amount reacted in time t (x) & reaction. A first order reaction is 75% completed in 100 minutes. Understanding and calculating rate constants is crucial. Find Rate Constant For First Order Reaction Is 75 Percent.
From www.coursehero.com
Solved A certain firstorder reaction is 45.0 complete in 65 s. What Find Rate Constant For First Order Reaction Is 75 Percent Understanding and calculating rate constants is crucial for predicting reaction rates, determining reaction mechanisms, and. To use this online calculator for rate constant of first order reaction, enter initial concentration (c 0), amount reacted in time t (x) & reaction. A first order reaction is 75% completed in 100 minutes. The calculation involves using the natural logarithm of the inverse. Find Rate Constant For First Order Reaction Is 75 Percent.
From www.youtube.com
If the rate constant for a first order reaction is k, the time ( YouTube Find Rate Constant For First Order Reaction Is 75 Percent A first order reaction is 75% completed in 100 minutes. The calculation involves using the natural logarithm of the inverse of the fraction of the remaining reactant concentration. The first part of this derivation, the formula for the rate constant $k$ for the first order reaction, is done in the last part of chemistry student's answer, and hence i'd not.. Find Rate Constant For First Order Reaction Is 75 Percent.
From www.vrogue.co
A First Order Reaction 75 vrogue.co Find Rate Constant For First Order Reaction Is 75 Percent To use this online calculator for rate constant of first order reaction, enter initial concentration (c 0), amount reacted in time t (x) & reaction. The first part of this derivation, the formula for the rate constant $k$ for the first order reaction, is done in the last part of chemistry student's answer, and hence i'd not. Understanding and calculating. Find Rate Constant For First Order Reaction Is 75 Percent.
From www.chegg.com
Solved The rate constant for this firstorder reaction is Find Rate Constant For First Order Reaction Is 75 Percent How long time will it take for its 87.5% completion? Understanding and calculating rate constants is crucial for predicting reaction rates, determining reaction mechanisms, and. To use this online calculator for rate constant of first order reaction, enter initial concentration (c 0), amount reacted in time t (x) & reaction. The calculation involves using the natural logarithm of the inverse. Find Rate Constant For First Order Reaction Is 75 Percent.
From study.com
First Order Reaction & Rate Law Definition, Equation & Examples Find Rate Constant For First Order Reaction Is 75 Percent How long time will it take for its 87.5% completion? To use this online calculator for rate constant of first order reaction, enter initial concentration (c 0), amount reacted in time t (x) & reaction. The first part of this derivation, the formula for the rate constant $k$ for the first order reaction, is done in the last part of. Find Rate Constant For First Order Reaction Is 75 Percent.