Suspension Bridge Quizlet . Learn the definition and examples of suspension bridges, a type of bridge with vertical cables suspended from larger cables between towers. Learn about the pros and cons of suspension bridges, a type of structure where the deck is hung below a series of suspension cables. Modern suspension bridges are light and aesthetically pleasing and can span longer distances than any. Suspension bridge, bridge with overhead cables supporting its roadway. Understanding the behavior of suspension bridges under wind, seismic, and traffic loads is crucial for safe design. Explore examples of famous suspension bridges, such as the brooklyn bridge, the golden gate bridge, and the george washington bridge. Study with quizlet and memorize flashcards containing terms like _____ is the key, especially for suspension bridges., a bridge that is made. Compare with other bridge types such as. Study with quizlet and memorize flashcards containing terms like tension, compression, suspenders and more. Learn about the engineering and history of suspension bridges, which use cables and towers to support a deck that spans over water or other obstacles.
from www.researchgate.net
Learn about the pros and cons of suspension bridges, a type of structure where the deck is hung below a series of suspension cables. Study with quizlet and memorize flashcards containing terms like tension, compression, suspenders and more. Understanding the behavior of suspension bridges under wind, seismic, and traffic loads is crucial for safe design. Learn the definition and examples of suspension bridges, a type of bridge with vertical cables suspended from larger cables between towers. Compare with other bridge types such as. Study with quizlet and memorize flashcards containing terms like _____ is the key, especially for suspension bridges., a bridge that is made. Learn about the engineering and history of suspension bridges, which use cables and towers to support a deck that spans over water or other obstacles. Explore examples of famous suspension bridges, such as the brooklyn bridge, the golden gate bridge, and the george washington bridge. Suspension bridge, bridge with overhead cables supporting its roadway. Modern suspension bridges are light and aesthetically pleasing and can span longer distances than any.
A tensioned beam model to simulate a suspension bridge with damped
Suspension Bridge Quizlet Study with quizlet and memorize flashcards containing terms like tension, compression, suspenders and more. Modern suspension bridges are light and aesthetically pleasing and can span longer distances than any. Study with quizlet and memorize flashcards containing terms like _____ is the key, especially for suspension bridges., a bridge that is made. Learn about the engineering and history of suspension bridges, which use cables and towers to support a deck that spans over water or other obstacles. Learn the definition and examples of suspension bridges, a type of bridge with vertical cables suspended from larger cables between towers. Understanding the behavior of suspension bridges under wind, seismic, and traffic loads is crucial for safe design. Study with quizlet and memorize flashcards containing terms like tension, compression, suspenders and more. Compare with other bridge types such as. Learn about the pros and cons of suspension bridges, a type of structure where the deck is hung below a series of suspension cables. Suspension bridge, bridge with overhead cables supporting its roadway. Explore examples of famous suspension bridges, such as the brooklyn bridge, the golden gate bridge, and the george washington bridge.
From quizlet.com
The shape of the cables in a suspension bridge is approximat Quizlet Suspension Bridge Quizlet Learn about the pros and cons of suspension bridges, a type of structure where the deck is hung below a series of suspension cables. Study with quizlet and memorize flashcards containing terms like tension, compression, suspenders and more. Suspension bridge, bridge with overhead cables supporting its roadway. Modern suspension bridges are light and aesthetically pleasing and can span longer distances. Suspension Bridge Quizlet.
From quizlet.com
The main cables of a suspension bridge are parabolic. The pa Quizlet Suspension Bridge Quizlet Understanding the behavior of suspension bridges under wind, seismic, and traffic loads is crucial for safe design. Compare with other bridge types such as. Suspension bridge, bridge with overhead cables supporting its roadway. Learn about the engineering and history of suspension bridges, which use cables and towers to support a deck that spans over water or other obstacles. Modern suspension. Suspension Bridge Quizlet.
From www.midasbridge.com
SelfAnchored Suspension Bridge Design Suspension Bridge Quizlet Learn about the pros and cons of suspension bridges, a type of structure where the deck is hung below a series of suspension cables. Modern suspension bridges are light and aesthetically pleasing and can span longer distances than any. Understanding the behavior of suspension bridges under wind, seismic, and traffic loads is crucial for safe design. Suspension bridge, bridge with. Suspension Bridge Quizlet.
From www.mdpi.com
Buildings Free FullText Comparative Analysis of Buffer and Damper Suspension Bridge Quizlet Compare with other bridge types such as. Modern suspension bridges are light and aesthetically pleasing and can span longer distances than any. Study with quizlet and memorize flashcards containing terms like tension, compression, suspenders and more. Learn about the engineering and history of suspension bridges, which use cables and towers to support a deck that spans over water or other. Suspension Bridge Quizlet.
From www.midasoft.com
Staged Analysis for Suspension Bridges Suspension Bridge Quizlet Compare with other bridge types such as. Understanding the behavior of suspension bridges under wind, seismic, and traffic loads is crucial for safe design. Learn about the pros and cons of suspension bridges, a type of structure where the deck is hung below a series of suspension cables. Learn the definition and examples of suspension bridges, a type of bridge. Suspension Bridge Quizlet.
From b2.co.uk
What Is A Suspension Bridge? B2 Bill Brown's Bridges Suspension Bridge Quizlet Explore examples of famous suspension bridges, such as the brooklyn bridge, the golden gate bridge, and the george washington bridge. Suspension bridge, bridge with overhead cables supporting its roadway. Learn about the pros and cons of suspension bridges, a type of structure where the deck is hung below a series of suspension cables. Compare with other bridge types such as.. Suspension Bridge Quizlet.
From www.britannica.com
suspension bridge Definition, Mechanics, History, Examples, & Facts Suspension Bridge Quizlet Compare with other bridge types such as. Modern suspension bridges are light and aesthetically pleasing and can span longer distances than any. Learn the definition and examples of suspension bridges, a type of bridge with vertical cables suspended from larger cables between towers. Study with quizlet and memorize flashcards containing terms like _____ is the key, especially for suspension bridges.,. Suspension Bridge Quizlet.
From cliftonbridge.org.uk
Useful Bridge Facts and Figures Clifton Suspension Bridge Suspension Bridge Quizlet Compare with other bridge types such as. Suspension bridge, bridge with overhead cables supporting its roadway. Modern suspension bridges are light and aesthetically pleasing and can span longer distances than any. Study with quizlet and memorize flashcards containing terms like tension, compression, suspenders and more. Learn about the pros and cons of suspension bridges, a type of structure where the. Suspension Bridge Quizlet.
From www.mdpi.com
Applied Sciences Free FullText A Master Digital Model for Suspension Bridge Quizlet Suspension bridge, bridge with overhead cables supporting its roadway. Learn about the pros and cons of suspension bridges, a type of structure where the deck is hung below a series of suspension cables. Compare with other bridge types such as. Study with quizlet and memorize flashcards containing terms like tension, compression, suspenders and more. Learn the definition and examples of. Suspension Bridge Quizlet.
From www.studocu.com
Selfanchored suspension bridges Part I Literature survey and plan of Suspension Bridge Quizlet Compare with other bridge types such as. Learn about the engineering and history of suspension bridges, which use cables and towers to support a deck that spans over water or other obstacles. Understanding the behavior of suspension bridges under wind, seismic, and traffic loads is crucial for safe design. Study with quizlet and memorize flashcards containing terms like _____ is. Suspension Bridge Quizlet.
From quizlet.com
The main span of the Clifton Suspension Bridge in Bristol, U Quizlet Suspension Bridge Quizlet Compare with other bridge types such as. Suspension bridge, bridge with overhead cables supporting its roadway. Learn the definition and examples of suspension bridges, a type of bridge with vertical cables suspended from larger cables between towers. Study with quizlet and memorize flashcards containing terms like _____ is the key, especially for suspension bridges., a bridge that is made. Study. Suspension Bridge Quizlet.
From quizlet.com
Each cable of the Golden Gate Bridge is suspended (in the sh Quizlet Suspension Bridge Quizlet Study with quizlet and memorize flashcards containing terms like tension, compression, suspenders and more. Learn about the engineering and history of suspension bridges, which use cables and towers to support a deck that spans over water or other obstacles. Understanding the behavior of suspension bridges under wind, seismic, and traffic loads is crucial for safe design. Explore examples of famous. Suspension Bridge Quizlet.
From quizlet.com
Figure 1 is a schematic side view of a suspension bridge. Quizlet Suspension Bridge Quizlet Learn about the pros and cons of suspension bridges, a type of structure where the deck is hung below a series of suspension cables. Learn the definition and examples of suspension bridges, a type of bridge with vertical cables suspended from larger cables between towers. Compare with other bridge types such as. Study with quizlet and memorize flashcards containing terms. Suspension Bridge Quizlet.
From quizlet.com
On a suspension bridge, the roadway is hung from cables hang Quizlet Suspension Bridge Quizlet Understanding the behavior of suspension bridges under wind, seismic, and traffic loads is crucial for safe design. Learn about the engineering and history of suspension bridges, which use cables and towers to support a deck that spans over water or other obstacles. Explore examples of famous suspension bridges, such as the brooklyn bridge, the golden gate bridge, and the george. Suspension Bridge Quizlet.
From www.structuralguide.com
Types of Suspension Bridges Structural Guide Suspension Bridge Quizlet Study with quizlet and memorize flashcards containing terms like tension, compression, suspenders and more. Learn about the pros and cons of suspension bridges, a type of structure where the deck is hung below a series of suspension cables. Suspension bridge, bridge with overhead cables supporting its roadway. Study with quizlet and memorize flashcards containing terms like _____ is the key,. Suspension Bridge Quizlet.
From dozr.com
Suspension Bridges What They Are and How They're Built Suspension Bridge Quizlet Learn the definition and examples of suspension bridges, a type of bridge with vertical cables suspended from larger cables between towers. Understanding the behavior of suspension bridges under wind, seismic, and traffic loads is crucial for safe design. Suspension bridge, bridge with overhead cables supporting its roadway. Learn about the engineering and history of suspension bridges, which use cables and. Suspension Bridge Quizlet.
From quizlet.com
Diagram of suspension bridge Diagram Quizlet Suspension Bridge Quizlet Learn about the engineering and history of suspension bridges, which use cables and towers to support a deck that spans over water or other obstacles. Compare with other bridge types such as. Suspension bridge, bridge with overhead cables supporting its roadway. Study with quizlet and memorize flashcards containing terms like _____ is the key, especially for suspension bridges., a bridge. Suspension Bridge Quizlet.
From www.scribd.com
Suspension Bridges PDF Bridge Components Suspension Bridge Quizlet Understanding the behavior of suspension bridges under wind, seismic, and traffic loads is crucial for safe design. Learn about the pros and cons of suspension bridges, a type of structure where the deck is hung below a series of suspension cables. Explore examples of famous suspension bridges, such as the brooklyn bridge, the golden gate bridge, and the george washington. Suspension Bridge Quizlet.
From severnbridges.org
How do Suspension Bridges work? Severn Bridges Suspension Bridge Quizlet Learn the definition and examples of suspension bridges, a type of bridge with vertical cables suspended from larger cables between towers. Suspension bridge, bridge with overhead cables supporting its roadway. Learn about the pros and cons of suspension bridges, a type of structure where the deck is hung below a series of suspension cables. Learn about the engineering and history. Suspension Bridge Quizlet.
From www.studeersnel.nl
Summary Chapter 13 Suspension Bridges Suspension bridges Elements Suspension Bridge Quizlet Learn about the pros and cons of suspension bridges, a type of structure where the deck is hung below a series of suspension cables. Understanding the behavior of suspension bridges under wind, seismic, and traffic loads is crucial for safe design. Suspension bridge, bridge with overhead cables supporting its roadway. Compare with other bridge types such as. Learn the definition. Suspension Bridge Quizlet.
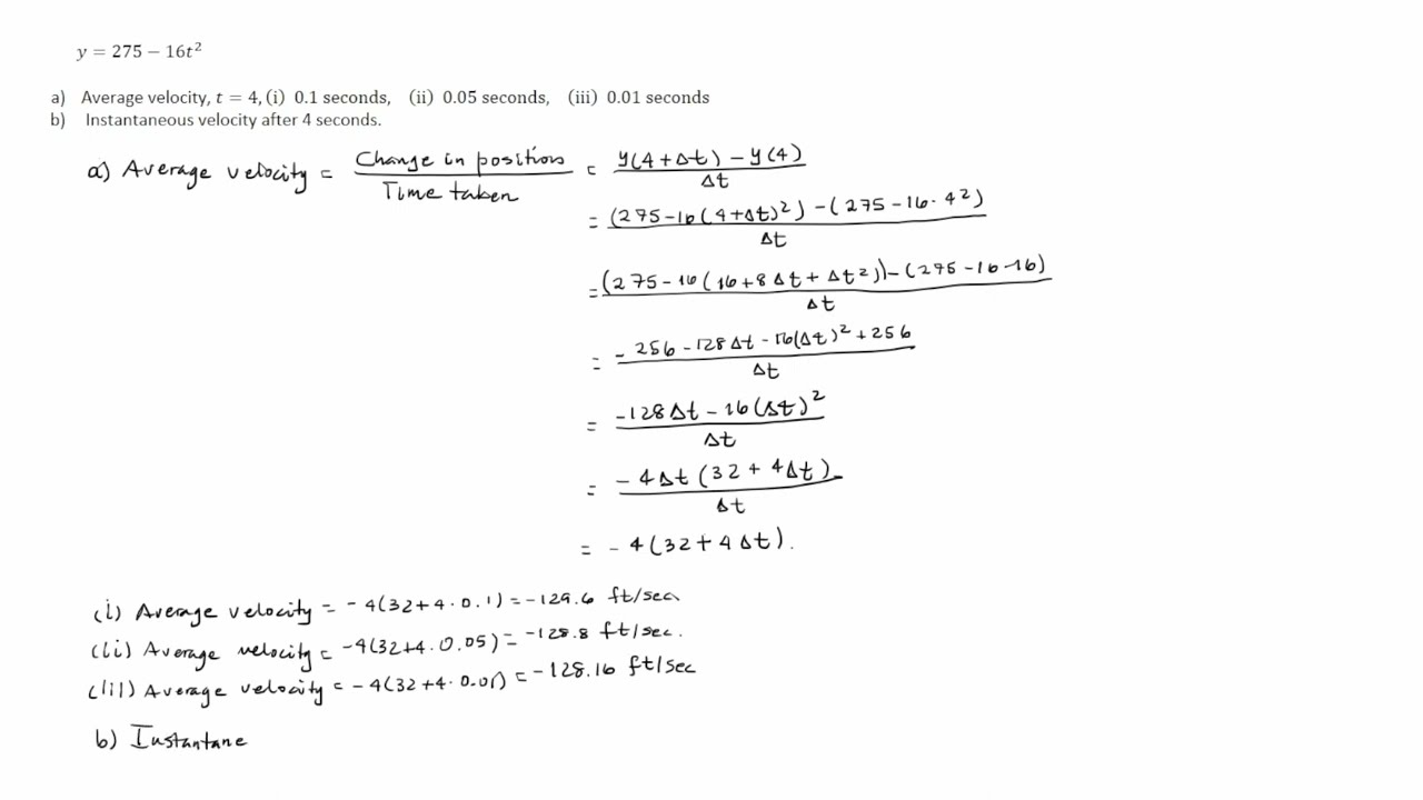
From quizlet.com
The deck of a bridge is suspended 275 feet above a river. If Quizlet Suspension Bridge Quizlet Learn the definition and examples of suspension bridges, a type of bridge with vertical cables suspended from larger cables between towers. Study with quizlet and memorize flashcards containing terms like tension, compression, suspenders and more. Understanding the behavior of suspension bridges under wind, seismic, and traffic loads is crucial for safe design. Learn about the engineering and history of suspension. Suspension Bridge Quizlet.
From quizlet.com
Each cable of the Golden Gate Bridge is suspended (in the sh Quizlet Suspension Bridge Quizlet Study with quizlet and memorize flashcards containing terms like tension, compression, suspenders and more. Understanding the behavior of suspension bridges under wind, seismic, and traffic loads is crucial for safe design. Suspension bridge, bridge with overhead cables supporting its roadway. Learn the definition and examples of suspension bridges, a type of bridge with vertical cables suspended from larger cables between. Suspension Bridge Quizlet.
From housing.com
Suspension Bridges All you Need To Know Suspension Bridge Quizlet Study with quizlet and memorize flashcards containing terms like _____ is the key, especially for suspension bridges., a bridge that is made. Study with quizlet and memorize flashcards containing terms like tension, compression, suspenders and more. Compare with other bridge types such as. Modern suspension bridges are light and aesthetically pleasing and can span longer distances than any. Explore examples. Suspension Bridge Quizlet.
From slideplayer.com
Bridges. ppt download Suspension Bridge Quizlet Suspension bridge, bridge with overhead cables supporting its roadway. Study with quizlet and memorize flashcards containing terms like _____ is the key, especially for suspension bridges., a bridge that is made. Learn about the pros and cons of suspension bridges, a type of structure where the deck is hung below a series of suspension cables. Study with quizlet and memorize. Suspension Bridge Quizlet.
From quizlet.com
Suspension Bridge Each cable of the Golden Gate Bridge is su Quizlet Suspension Bridge Quizlet Study with quizlet and memorize flashcards containing terms like _____ is the key, especially for suspension bridges., a bridge that is made. Learn the definition and examples of suspension bridges, a type of bridge with vertical cables suspended from larger cables between towers. Study with quizlet and memorize flashcards containing terms like tension, compression, suspenders and more. Suspension bridge, bridge. Suspension Bridge Quizlet.
From www.britannica.com
Suspension bridge Definition, Mechanics, History, Examples, & Facts Suspension Bridge Quizlet Study with quizlet and memorize flashcards containing terms like _____ is the key, especially for suspension bridges., a bridge that is made. Learn about the engineering and history of suspension bridges, which use cables and towers to support a deck that spans over water or other obstacles. Study with quizlet and memorize flashcards containing terms like tension, compression, suspenders and. Suspension Bridge Quizlet.
From dreamcivil.com
Suspension Bridge Components of Suspension Bridge Advantages Suspension Bridge Quizlet Study with quizlet and memorize flashcards containing terms like tension, compression, suspenders and more. Explore examples of famous suspension bridges, such as the brooklyn bridge, the golden gate bridge, and the george washington bridge. Learn the definition and examples of suspension bridges, a type of bridge with vertical cables suspended from larger cables between towers. Study with quizlet and memorize. Suspension Bridge Quizlet.
From teachsimple.com
Types of Bridges Worksheet by Teach Simple Suspension Bridge Quizlet Learn about the pros and cons of suspension bridges, a type of structure where the deck is hung below a series of suspension cables. Study with quizlet and memorize flashcards containing terms like tension, compression, suspenders and more. Explore examples of famous suspension bridges, such as the brooklyn bridge, the golden gate bridge, and the george washington bridge. Learn the. Suspension Bridge Quizlet.
From www.researchgate.net
A tensioned beam model to simulate a suspension bridge with damped Suspension Bridge Quizlet Learn about the pros and cons of suspension bridges, a type of structure where the deck is hung below a series of suspension cables. Understanding the behavior of suspension bridges under wind, seismic, and traffic loads is crucial for safe design. Learn about the engineering and history of suspension bridges, which use cables and towers to support a deck that. Suspension Bridge Quizlet.
From quizlet.com
Suspension Bridge The Humber Bridge, located in the United K Quizlet Suspension Bridge Quizlet Study with quizlet and memorize flashcards containing terms like _____ is the key, especially for suspension bridges., a bridge that is made. Compare with other bridge types such as. Suspension bridge, bridge with overhead cables supporting its roadway. Learn the definition and examples of suspension bridges, a type of bridge with vertical cables suspended from larger cables between towers. Learn. Suspension Bridge Quizlet.
From slideplayer.com
The Longest Bridges in the World ppt download Suspension Bridge Quizlet Understanding the behavior of suspension bridges under wind, seismic, and traffic loads is crucial for safe design. Suspension bridge, bridge with overhead cables supporting its roadway. Explore examples of famous suspension bridges, such as the brooklyn bridge, the golden gate bridge, and the george washington bridge. Modern suspension bridges are light and aesthetically pleasing and can span longer distances than. Suspension Bridge Quizlet.
From resource.midasuser.com
Solution Suspension Bridges Suspension Bridge Quizlet Understanding the behavior of suspension bridges under wind, seismic, and traffic loads is crucial for safe design. Study with quizlet and memorize flashcards containing terms like _____ is the key, especially for suspension bridges., a bridge that is made. Learn about the engineering and history of suspension bridges, which use cables and towers to support a deck that spans over. Suspension Bridge Quizlet.
From www.instructables.com
Simple Suspension Bridge Model 8 Steps Instructables Suspension Bridge Quizlet Suspension bridge, bridge with overhead cables supporting its roadway. Modern suspension bridges are light and aesthetically pleasing and can span longer distances than any. Compare with other bridge types such as. Understanding the behavior of suspension bridges under wind, seismic, and traffic loads is crucial for safe design. Learn the definition and examples of suspension bridges, a type of bridge. Suspension Bridge Quizlet.
From classroom.weareprintlab.com
Make a Suspension Bridge The PrintLab Classroom Suspension Bridge Quizlet Understanding the behavior of suspension bridges under wind, seismic, and traffic loads is crucial for safe design. Suspension bridge, bridge with overhead cables supporting its roadway. Learn the definition and examples of suspension bridges, a type of bridge with vertical cables suspended from larger cables between towers. Learn about the pros and cons of suspension bridges, a type of structure. Suspension Bridge Quizlet.
From www.youtube.com
Difference between suspension bridge and cable bridge suspension Suspension Bridge Quizlet Study with quizlet and memorize flashcards containing terms like tension, compression, suspenders and more. Learn about the engineering and history of suspension bridges, which use cables and towers to support a deck that spans over water or other obstacles. Compare with other bridge types such as. Learn about the pros and cons of suspension bridges, a type of structure where. Suspension Bridge Quizlet.