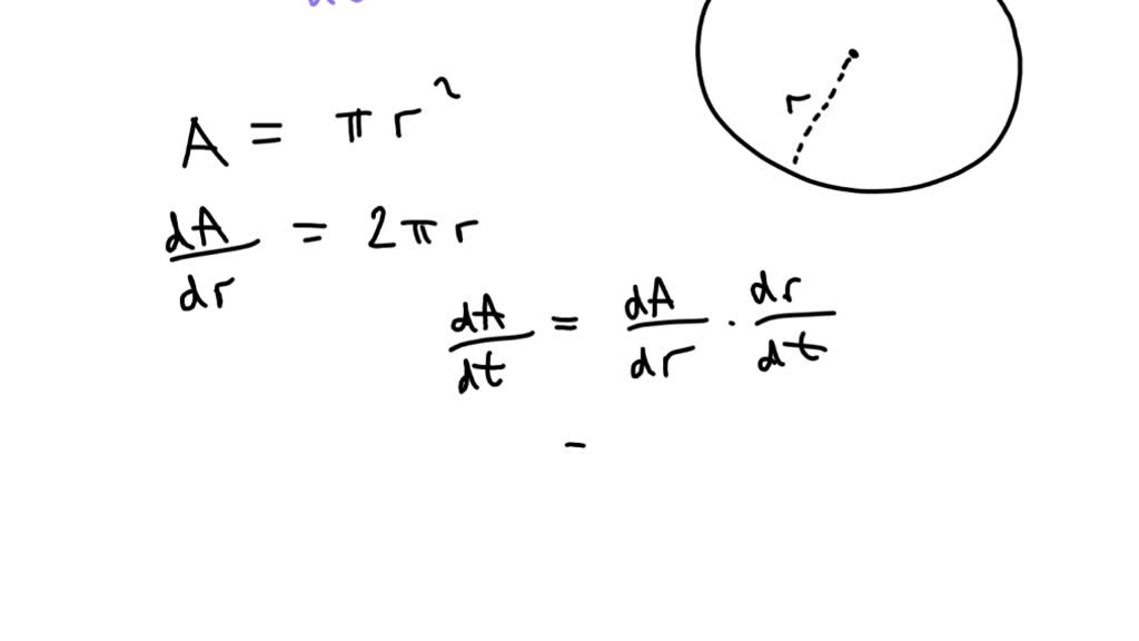
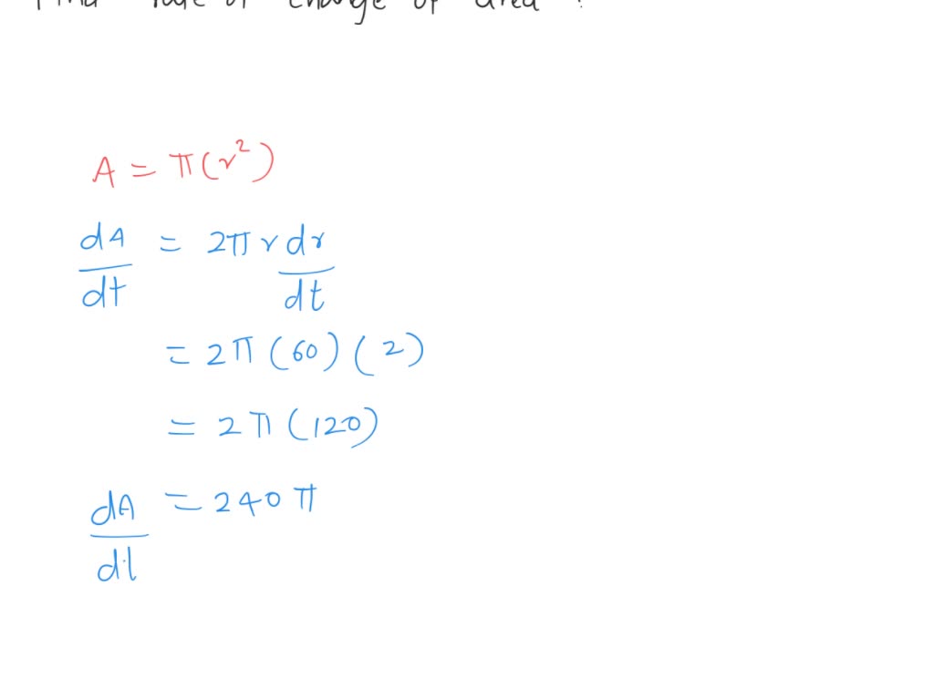
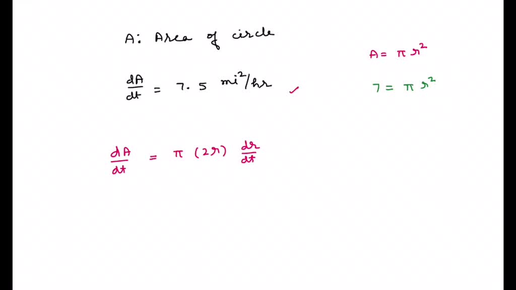
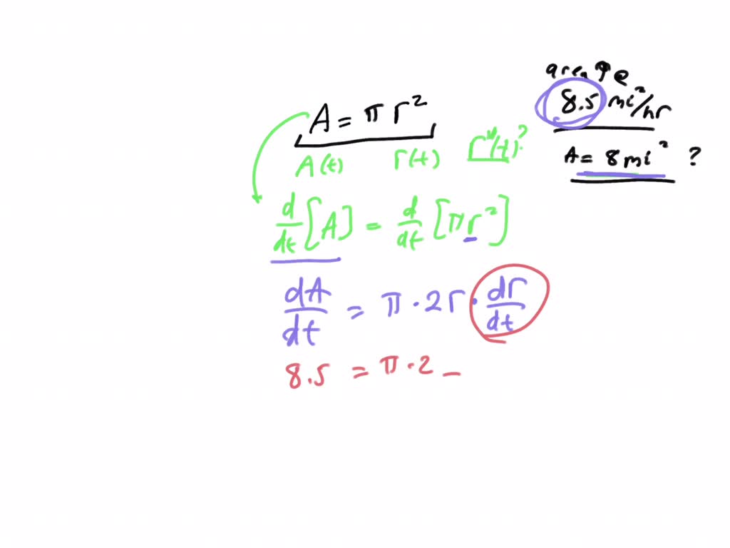
Oil Spilled From A Ruptured Tanker Spreads . How fast is the radius of. 22k views 8 years ago. If the radius of the oil spill increases at a constant rate of 3m/s, how. Oil spilled from a ruptured tanker spreads in a circle whose area increases at a constant rate of 6 m i 2 / h. Oil spilled from a ruptured tanker spreads in a circle whose area increases at a constant rate of 6 m^2/h. Your solution’s ready to go! How fast is the radius of the spill. Oil spilled from a ruptured tanker spreads in a circle whose area increases at a constant rate of 6 m i 2 / h. Suppose oil spills from a ruptured tanker and spreads in a circular pattern. How fast is the radius of the spill.
from www.chegg.com
How fast is the radius of. Oil spilled from a ruptured tanker spreads in a circle whose area increases at a constant rate of 6 m^2/h. If the radius of the oil spill increases at a constant rate of 3m/s, how. How fast is the radius of the spill. How fast is the radius of the spill. Oil spilled from a ruptured tanker spreads in a circle whose area increases at a constant rate of 6 m i 2 / h. Oil spilled from a ruptured tanker spreads in a circle whose area increases at a constant rate of 6 m i 2 / h. 22k views 8 years ago. Your solution’s ready to go! Suppose oil spills from a ruptured tanker and spreads in a circular pattern.
Solved Oil spilled from a ruptured tanker spreads in a
Oil Spilled From A Ruptured Tanker Spreads If the radius of the oil spill increases at a constant rate of 3m/s, how. Oil spilled from a ruptured tanker spreads in a circle whose area increases at a constant rate of 6 m^2/h. Suppose oil spills from a ruptured tanker and spreads in a circular pattern. How fast is the radius of the spill. If the radius of the oil spill increases at a constant rate of 3m/s, how. How fast is the radius of the spill. Oil spilled from a ruptured tanker spreads in a circle whose area increases at a constant rate of 6 m i 2 / h. How fast is the radius of. Oil spilled from a ruptured tanker spreads in a circle whose area increases at a constant rate of 6 m i 2 / h. Your solution’s ready to go! 22k views 8 years ago.
From www.coursehero.com
[Solved] Oil spilled from a ruptured tanker spreads in a circle whose Oil Spilled From A Ruptured Tanker Spreads If the radius of the oil spill increases at a constant rate of 3m/s, how. Your solution’s ready to go! Suppose oil spills from a ruptured tanker and spreads in a circular pattern. How fast is the radius of the spill. Oil spilled from a ruptured tanker spreads in a circle whose area increases at a constant rate of 6. Oil Spilled From A Ruptured Tanker Spreads.
From cameron-has-fry.blogspot.com
An Oil Spill From a Tanker Is an Example of CameronhasFry Oil Spilled From A Ruptured Tanker Spreads Your solution’s ready to go! If the radius of the oil spill increases at a constant rate of 3m/s, how. How fast is the radius of. How fast is the radius of the spill. Oil spilled from a ruptured tanker spreads in a circle whose area increases at a constant rate of 6 m i 2 / h. Oil spilled. Oil Spilled From A Ruptured Tanker Spreads.
From studyx.ai
Oil spilled from a ruptured tanker spreads in StudyX Oil Spilled From A Ruptured Tanker Spreads Suppose oil spills from a ruptured tanker and spreads in a circular pattern. How fast is the radius of the spill. Your solution’s ready to go! If the radius of the oil spill increases at a constant rate of 3m/s, how. Oil spilled from a ruptured tanker spreads in a circle whose area increases at a constant rate of 6. Oil Spilled From A Ruptured Tanker Spreads.
From www.bartleby.com
Answered Oil spilled from a ruptured tanker… bartleby Oil Spilled From A Ruptured Tanker Spreads Suppose oil spills from a ruptured tanker and spreads in a circular pattern. How fast is the radius of. How fast is the radius of the spill. Oil spilled from a ruptured tanker spreads in a circle whose area increases at a constant rate of 6 m^2/h. Oil spilled from a ruptured tanker spreads in a circle whose area increases. Oil Spilled From A Ruptured Tanker Spreads.
From www.numerade.com
SOLVED Assume that the oil spilled from a ruptured tanker spreads in a Oil Spilled From A Ruptured Tanker Spreads How fast is the radius of the spill. How fast is the radius of the spill. If the radius of the oil spill increases at a constant rate of 3m/s, how. Your solution’s ready to go! 22k views 8 years ago. Oil spilled from a ruptured tanker spreads in a circle whose area increases at a constant rate of 6. Oil Spilled From A Ruptured Tanker Spreads.
From www.chegg.com
Solved Suppose oil spills from a ruptured tanker and spreads Oil Spilled From A Ruptured Tanker Spreads If the radius of the oil spill increases at a constant rate of 3m/s, how. Your solution’s ready to go! Suppose oil spills from a ruptured tanker and spreads in a circular pattern. Oil spilled from a ruptured tanker spreads in a circle whose area increases at a constant rate of 6 m i 2 / h. How fast is. Oil Spilled From A Ruptured Tanker Spreads.
From www.chegg.com
Solved Oil spilled from a ruptured tanker spreads in a Oil Spilled From A Ruptured Tanker Spreads How fast is the radius of. Oil spilled from a ruptured tanker spreads in a circle whose area increases at a constant rate of 6 m i 2 / h. Suppose oil spills from a ruptured tanker and spreads in a circular pattern. Oil spilled from a ruptured tanker spreads in a circle whose area increases at a constant rate. Oil Spilled From A Ruptured Tanker Spreads.
From www.youtube.com
Oil spilled from a ruptured tanker spreads in a circle whose area Oil Spilled From A Ruptured Tanker Spreads Oil spilled from a ruptured tanker spreads in a circle whose area increases at a constant rate of 6 m i 2 / h. How fast is the radius of the spill. Your solution’s ready to go! Suppose oil spills from a ruptured tanker and spreads in a circular pattern. If the radius of the oil spill increases at a. Oil Spilled From A Ruptured Tanker Spreads.
From www.coursehero.com
[Solved] (1 pt) Oil spilled from a ruptured tanker spreads in a circle Oil Spilled From A Ruptured Tanker Spreads 22k views 8 years ago. If the radius of the oil spill increases at a constant rate of 3m/s, how. Oil spilled from a ruptured tanker spreads in a circle whose area increases at a constant rate of 6 m^2/h. How fast is the radius of the spill. Oil spilled from a ruptured tanker spreads in a circle whose area. Oil Spilled From A Ruptured Tanker Spreads.
From www.numerade.com
SOLVED Oil spilled from a ruptured tanker spreads in a circle whose Oil Spilled From A Ruptured Tanker Spreads Oil spilled from a ruptured tanker spreads in a circle whose area increases at a constant rate of 6 m i 2 / h. If the radius of the oil spill increases at a constant rate of 3m/s, how. Oil spilled from a ruptured tanker spreads in a circle whose area increases at a constant rate of 6 m i. Oil Spilled From A Ruptured Tanker Spreads.
From www.coursehero.com
[Solved] Oil spilled from a ruptured tanker spreads in a circle whose Oil Spilled From A Ruptured Tanker Spreads If the radius of the oil spill increases at a constant rate of 3m/s, how. Suppose oil spills from a ruptured tanker and spreads in a circular pattern. How fast is the radius of the spill. How fast is the radius of the spill. Oil spilled from a ruptured tanker spreads in a circle whose area increases at a constant. Oil Spilled From A Ruptured Tanker Spreads.
From www.numerade.com
SOLVED Assume that oil spilled from ruptured tanker spreads in Oil Spilled From A Ruptured Tanker Spreads Oil spilled from a ruptured tanker spreads in a circle whose area increases at a constant rate of 6 m^2/h. Your solution’s ready to go! How fast is the radius of. How fast is the radius of the spill. If the radius of the oil spill increases at a constant rate of 3m/s, how. Suppose oil spills from a ruptured. Oil Spilled From A Ruptured Tanker Spreads.
From www.chegg.com
Solved (1 point) Oil spilled from a ruptured tanker spreads Oil Spilled From A Ruptured Tanker Spreads Suppose oil spills from a ruptured tanker and spreads in a circular pattern. If the radius of the oil spill increases at a constant rate of 3m/s, how. Oil spilled from a ruptured tanker spreads in a circle whose area increases at a constant rate of 6 m^2/h. Oil spilled from a ruptured tanker spreads in a circle whose area. Oil Spilled From A Ruptured Tanker Spreads.
From www.esri.com
Protecting the Oceans and Shores Oil Spilled From A Ruptured Tanker Spreads How fast is the radius of the spill. 22k views 8 years ago. Your solution’s ready to go! How fast is the radius of the spill. Suppose oil spills from a ruptured tanker and spreads in a circular pattern. How fast is the radius of. Oil spilled from a ruptured tanker spreads in a circle whose area increases at a. Oil Spilled From A Ruptured Tanker Spreads.
From www.dw.com
Preventing environmental damage from oil spills DW 09/02/2022 Oil Spilled From A Ruptured Tanker Spreads Oil spilled from a ruptured tanker spreads in a circle whose area increases at a constant rate of 6 m^2/h. Oil spilled from a ruptured tanker spreads in a circle whose area increases at a constant rate of 6 m i 2 / h. How fast is the radius of the spill. Your solution’s ready to go! Suppose oil spills. Oil Spilled From A Ruptured Tanker Spreads.
From www.bangkokpost.com
Bangkok Post Oil leak off Si Racha, cleanup started Oil Spilled From A Ruptured Tanker Spreads Your solution’s ready to go! How fast is the radius of the spill. Oil spilled from a ruptured tanker spreads in a circle whose area increases at a constant rate of 6 m^2/h. 22k views 8 years ago. If the radius of the oil spill increases at a constant rate of 3m/s, how. Oil spilled from a ruptured tanker spreads. Oil Spilled From A Ruptured Tanker Spreads.
From www.numerade.com
SOLVED Oil spilled from a ruptured tanker spreads in a circle whose Oil Spilled From A Ruptured Tanker Spreads How fast is the radius of. 22k views 8 years ago. Oil spilled from a ruptured tanker spreads in a circle whose area increases at a constant rate of 6 m^2/h. How fast is the radius of the spill. Your solution’s ready to go! Oil spilled from a ruptured tanker spreads in a circle whose area increases at a constant. Oil Spilled From A Ruptured Tanker Spreads.
From www.coursehero.com
[Solved] Oil spilled from a ruptured tanker spreads in a circle whose Oil Spilled From A Ruptured Tanker Spreads Oil spilled from a ruptured tanker spreads in a circle whose area increases at a constant rate of 6 m i 2 / h. Your solution’s ready to go! Oil spilled from a ruptured tanker spreads in a circle whose area increases at a constant rate of 6 m^2/h. How fast is the radius of. If the radius of the. Oil Spilled From A Ruptured Tanker Spreads.
From www.chegg.com
Solved (1 point) Oil spilled from a ruptured tanker spreads Oil Spilled From A Ruptured Tanker Spreads Your solution’s ready to go! How fast is the radius of the spill. Oil spilled from a ruptured tanker spreads in a circle whose area increases at a constant rate of 6 m^2/h. How fast is the radius of. How fast is the radius of the spill. Oil spilled from a ruptured tanker spreads in a circle whose area increases. Oil Spilled From A Ruptured Tanker Spreads.
From www.chegg.com
Solved Question 1Oil spilled from a ruptured tanker spreads Oil Spilled From A Ruptured Tanker Spreads If the radius of the oil spill increases at a constant rate of 3m/s, how. 22k views 8 years ago. Oil spilled from a ruptured tanker spreads in a circle whose area increases at a constant rate of 6 m^2/h. Oil spilled from a ruptured tanker spreads in a circle whose area increases at a constant rate of 6 m. Oil Spilled From A Ruptured Tanker Spreads.
From www.chegg.com
Solved 1 poing Oil spilled from a ruptured tanker spreads in Oil Spilled From A Ruptured Tanker Spreads Suppose oil spills from a ruptured tanker and spreads in a circular pattern. Oil spilled from a ruptured tanker spreads in a circle whose area increases at a constant rate of 6 m^2/h. How fast is the radius of the spill. If the radius of the oil spill increases at a constant rate of 3m/s, how. Oil spilled from a. Oil Spilled From A Ruptured Tanker Spreads.
From www.coursehero.com
[Solved] Oil spilled from a ruptured tanker spreads in a circular Oil Spilled From A Ruptured Tanker Spreads Oil spilled from a ruptured tanker spreads in a circle whose area increases at a constant rate of 6 m^2/h. How fast is the radius of the spill. If the radius of the oil spill increases at a constant rate of 3m/s, how. Suppose oil spills from a ruptured tanker and spreads in a circular pattern. How fast is the. Oil Spilled From A Ruptured Tanker Spreads.
From www.numerade.com
SOLVED Oil spilled from a ruptured tanker spreads in a circle whose Oil Spilled From A Ruptured Tanker Spreads Oil spilled from a ruptured tanker spreads in a circle whose area increases at a constant rate of 6 m i 2 / h. How fast is the radius of the spill. How fast is the radius of the spill. Suppose oil spills from a ruptured tanker and spreads in a circular pattern. Your solution’s ready to go! Oil spilled. Oil Spilled From A Ruptured Tanker Spreads.
From www.coursehero.com
[Solved] (1 pt) Oil spilled from a ruptured tanker spreads in a circle Oil Spilled From A Ruptured Tanker Spreads How fast is the radius of the spill. Oil spilled from a ruptured tanker spreads in a circle whose area increases at a constant rate of 6 m i 2 / h. How fast is the radius of the spill. Oil spilled from a ruptured tanker spreads in a circle whose area increases at a constant rate of 6 m^2/h.. Oil Spilled From A Ruptured Tanker Spreads.
From www.numerade.com
SOLVED Oil spilled from a ruptured tanker spreads in a circle whose Oil Spilled From A Ruptured Tanker Spreads Oil spilled from a ruptured tanker spreads in a circle whose area increases at a constant rate of 6 m i 2 / h. Oil spilled from a ruptured tanker spreads in a circle whose area increases at a constant rate of 6 m^2/h. How fast is the radius of the spill. Suppose oil spills from a ruptured tanker and. Oil Spilled From A Ruptured Tanker Spreads.
From www.coursehero.com
[Solved] (1 point) Oil spilled from a ruptured tanker spreads in a Oil Spilled From A Ruptured Tanker Spreads How fast is the radius of the spill. 22k views 8 years ago. Oil spilled from a ruptured tanker spreads in a circle whose area increases at a constant rate of 6 m^2/h. Oil spilled from a ruptured tanker spreads in a circle whose area increases at a constant rate of 6 m i 2 / h. If the radius. Oil Spilled From A Ruptured Tanker Spreads.
From olivarriafixenginekoas.z21.web.core.windows.net
Oil Spilled On Engine Oil Spilled From A Ruptured Tanker Spreads Suppose oil spills from a ruptured tanker and spreads in a circular pattern. If the radius of the oil spill increases at a constant rate of 3m/s, how. Oil spilled from a ruptured tanker spreads in a circle whose area increases at a constant rate of 6 m i 2 / h. How fast is the radius of the spill.. Oil Spilled From A Ruptured Tanker Spreads.
From gcaptain.com
Harvey Spilled 22,000 Barrels of Oil and Chemicals, Says Coast Guard Oil Spilled From A Ruptured Tanker Spreads Your solution’s ready to go! How fast is the radius of. Oil spilled from a ruptured tanker spreads in a circle whose area increases at a constant rate of 6 m i 2 / h. Oil spilled from a ruptured tanker spreads in a circle whose area increases at a constant rate of 6 m i 2 / h. If. Oil Spilled From A Ruptured Tanker Spreads.
From www.numerade.com
Assume that oil spilled from a ruptured tanker spreads in a circular Oil Spilled From A Ruptured Tanker Spreads How fast is the radius of the spill. Oil spilled from a ruptured tanker spreads in a circle whose area increases at a constant rate of 6 m i 2 / h. How fast is the radius of the spill. Suppose oil spills from a ruptured tanker and spreads in a circular pattern. Oil spilled from a ruptured tanker spreads. Oil Spilled From A Ruptured Tanker Spreads.
From www.chegg.com
Solved (1 point) Oil spilled from a ruptured tanker spreads Oil Spilled From A Ruptured Tanker Spreads Your solution’s ready to go! Suppose oil spills from a ruptured tanker and spreads in a circular pattern. 22k views 8 years ago. How fast is the radius of the spill. Oil spilled from a ruptured tanker spreads in a circle whose area increases at a constant rate of 6 m i 2 / h. How fast is the radius. Oil Spilled From A Ruptured Tanker Spreads.
From www.coursehero.com
[Solved] Suppose oil spills from a ruptured tanker and spreads in a Oil Spilled From A Ruptured Tanker Spreads 22k views 8 years ago. Oil spilled from a ruptured tanker spreads in a circle whose area increases at a constant rate of 6 m i 2 / h. How fast is the radius of the spill. Oil spilled from a ruptured tanker spreads in a circle whose area increases at a constant rate of 6 m i 2 /. Oil Spilled From A Ruptured Tanker Spreads.
From www.chegg.com
Solved Oil spilled from a ruptured tanker spreads in a Oil Spilled From A Ruptured Tanker Spreads How fast is the radius of the spill. How fast is the radius of. Your solution’s ready to go! How fast is the radius of the spill. Oil spilled from a ruptured tanker spreads in a circle whose area increases at a constant rate of 6 m i 2 / h. 22k views 8 years ago. Oil spilled from a. Oil Spilled From A Ruptured Tanker Spreads.
From worldanimalnews.com
Breaking! Massive Oil Spill From Grounded Ship In Mauritius, An Island Oil Spilled From A Ruptured Tanker Spreads How fast is the radius of the spill. Oil spilled from a ruptured tanker spreads in a circle whose area increases at a constant rate of 6 m i 2 / h. Your solution’s ready to go! Oil spilled from a ruptured tanker spreads in a circle whose area increases at a constant rate of 6 m^2/h. Oil spilled from. Oil Spilled From A Ruptured Tanker Spreads.
From www.chegg.com
Solved 1. (4 pts) Oil spilled from a ruptured tanker spreads Oil Spilled From A Ruptured Tanker Spreads 22k views 8 years ago. Oil spilled from a ruptured tanker spreads in a circle whose area increases at a constant rate of 6 m i 2 / h. Oil spilled from a ruptured tanker spreads in a circle whose area increases at a constant rate of 6 m i 2 / h. Oil spilled from a ruptured tanker spreads. Oil Spilled From A Ruptured Tanker Spreads.
From www.numerade.com
SOLVED Oil spilled from a ruptured tanker spreads in a circle whose Oil Spilled From A Ruptured Tanker Spreads How fast is the radius of the spill. How fast is the radius of. Oil spilled from a ruptured tanker spreads in a circle whose area increases at a constant rate of 6 m i 2 / h. If the radius of the oil spill increases at a constant rate of 3m/s, how. How fast is the radius of the. Oil Spilled From A Ruptured Tanker Spreads.