Virginia Nail Technician License Cost . Following this, aspiring nail technicians must. Professional and occupational licensing » agency 41. The board for barbers and cosmetology licenses individuals and businesses that perform barbering, cosmetology, nail care, waxing, tattooing, body. Virginia nail license fees and hours. To become a nail technician in virginia, one must first obtain a high school diploma or ged. Virginia board for barbers and cosmetology. • $105 application fee • $85 practical testing fee and $90 written testing fee • fees payable by credit. In order to receive a nail technician license in the commonwealth of virginia, you must pass both a nic. With renewal card prior to expiration date. Any person completing a nail technician training program that is substantially equivalent to the virginia program but is outside of the.
from dsiacademy.edu
Virginia nail license fees and hours. Professional and occupational licensing » agency 41. Any person completing a nail technician training program that is substantially equivalent to the virginia program but is outside of the. To become a nail technician in virginia, one must first obtain a high school diploma or ged. With renewal card prior to expiration date. In order to receive a nail technician license in the commonwealth of virginia, you must pass both a nic. The board for barbers and cosmetology licenses individuals and businesses that perform barbering, cosmetology, nail care, waxing, tattooing, body. Following this, aspiring nail technicians must. Virginia board for barbers and cosmetology. • $105 application fee • $85 practical testing fee and $90 written testing fee • fees payable by credit.
Meet Our CEO Shiva Vahid Esthetics LicensingNail Technician
Virginia Nail Technician License Cost • $105 application fee • $85 practical testing fee and $90 written testing fee • fees payable by credit. The board for barbers and cosmetology licenses individuals and businesses that perform barbering, cosmetology, nail care, waxing, tattooing, body. Virginia board for barbers and cosmetology. Virginia nail license fees and hours. Following this, aspiring nail technicians must. Professional and occupational licensing » agency 41. In order to receive a nail technician license in the commonwealth of virginia, you must pass both a nic. With renewal card prior to expiration date. • $105 application fee • $85 practical testing fee and $90 written testing fee • fees payable by credit. Any person completing a nail technician training program that is substantially equivalent to the virginia program but is outside of the. To become a nail technician in virginia, one must first obtain a high school diploma or ged.
From linktr.ee
Virginia Nail Technician Instagram, Facebook, TikTok Linktree Virginia Nail Technician License Cost Virginia nail license fees and hours. The board for barbers and cosmetology licenses individuals and businesses that perform barbering, cosmetology, nail care, waxing, tattooing, body. In order to receive a nail technician license in the commonwealth of virginia, you must pass both a nic. To become a nail technician in virginia, one must first obtain a high school diploma or. Virginia Nail Technician License Cost.
From dsiacademy.edu
Nail Technician Licensing Program 150 Hours VA MD DC Virginia Nail Technician License Cost Any person completing a nail technician training program that is substantially equivalent to the virginia program but is outside of the. Virginia nail license fees and hours. • $105 application fee • $85 practical testing fee and $90 written testing fee • fees payable by credit. Professional and occupational licensing » agency 41. To become a nail technician in virginia,. Virginia Nail Technician License Cost.
From cewullzx.blob.core.windows.net
Nail Tech License Virginia at John Parrish blog Virginia Nail Technician License Cost Virginia nail license fees and hours. Virginia board for barbers and cosmetology. To become a nail technician in virginia, one must first obtain a high school diploma or ged. Following this, aspiring nail technicians must. The board for barbers and cosmetology licenses individuals and businesses that perform barbering, cosmetology, nail care, waxing, tattooing, body. In order to receive a nail. Virginia Nail Technician License Cost.
From dsiacademy.edu
Esthetics Licensing Nail Technician Licensing Virginia & DC Virginia Nail Technician License Cost Virginia nail license fees and hours. • $105 application fee • $85 practical testing fee and $90 written testing fee • fees payable by credit. Virginia board for barbers and cosmetology. With renewal card prior to expiration date. Professional and occupational licensing » agency 41. Any person completing a nail technician training program that is substantially equivalent to the virginia. Virginia Nail Technician License Cost.
From nail.ftempo.com
Virginia Nail Technician License Requirements Nail Ftempo Virginia Nail Technician License Cost Following this, aspiring nail technicians must. Professional and occupational licensing » agency 41. To become a nail technician in virginia, one must first obtain a high school diploma or ged. • $105 application fee • $85 practical testing fee and $90 written testing fee • fees payable by credit. Virginia board for barbers and cosmetology. The board for barbers and. Virginia Nail Technician License Cost.
From dsiacademy.edu
Esthetics Licensing Nail Technician Licensing Virginia & DC Virginia Nail Technician License Cost Virginia board for barbers and cosmetology. Professional and occupational licensing » agency 41. Any person completing a nail technician training program that is substantially equivalent to the virginia program but is outside of the. The board for barbers and cosmetology licenses individuals and businesses that perform barbering, cosmetology, nail care, waxing, tattooing, body. Following this, aspiring nail technicians must. To. Virginia Nail Technician License Cost.
From dsiacademy.edu
Meet Our CEO Shiva Vahid Esthetics LicensingNail Technician Virginia Nail Technician License Cost With renewal card prior to expiration date. Professional and occupational licensing » agency 41. The board for barbers and cosmetology licenses individuals and businesses that perform barbering, cosmetology, nail care, waxing, tattooing, body. Following this, aspiring nail technicians must. Any person completing a nail technician training program that is substantially equivalent to the virginia program but is outside of the.. Virginia Nail Technician License Cost.
From www.virginianailschool.com
Virginia Nail School Home Virginia Nail Technician License Cost Professional and occupational licensing » agency 41. In order to receive a nail technician license in the commonwealth of virginia, you must pass both a nic. Any person completing a nail technician training program that is substantially equivalent to the virginia program but is outside of the. • $105 application fee • $85 practical testing fee and $90 written testing. Virginia Nail Technician License Cost.
From www.templateroller.com
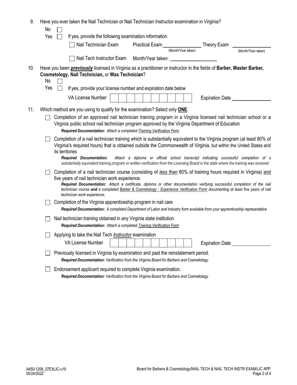
Form A4501206_07EXLIC Download Fillable PDF or Fill Online Nail Virginia Nail Technician License Cost Professional and occupational licensing » agency 41. Following this, aspiring nail technicians must. • $105 application fee • $85 practical testing fee and $90 written testing fee • fees payable by credit. Virginia nail license fees and hours. Any person completing a nail technician training program that is substantially equivalent to the virginia program but is outside of the. In. Virginia Nail Technician License Cost.
From dsiacademy.edu
Picture of Licensed Nail Technician Job Information in N. VA, MD and DC Virginia Nail Technician License Cost The board for barbers and cosmetology licenses individuals and businesses that perform barbering, cosmetology, nail care, waxing, tattooing, body. With renewal card prior to expiration date. In order to receive a nail technician license in the commonwealth of virginia, you must pass both a nic. Virginia board for barbers and cosmetology. Any person completing a nail technician training program that. Virginia Nail Technician License Cost.
From www.templateroller.com
Form A4501206_07EXLIC Download Fillable PDF or Fill Online Nail Virginia Nail Technician License Cost Virginia nail license fees and hours. Virginia board for barbers and cosmetology. With renewal card prior to expiration date. Any person completing a nail technician training program that is substantially equivalent to the virginia program but is outside of the. Following this, aspiring nail technicians must. To become a nail technician in virginia, one must first obtain a high school. Virginia Nail Technician License Cost.
From dsiacademy.edu
Picture of Admissions for Esthetics Licensing and Nail Technician Virginia Nail Technician License Cost Virginia nail license fees and hours. In order to receive a nail technician license in the commonwealth of virginia, you must pass both a nic. With renewal card prior to expiration date. • $105 application fee • $85 practical testing fee and $90 written testing fee • fees payable by credit. Following this, aspiring nail technicians must. The board for. Virginia Nail Technician License Cost.
From dsiacademy.edu
studentclinicpricelist22 Esthetics LicensingNail Technician Virginia Nail Technician License Cost • $105 application fee • $85 practical testing fee and $90 written testing fee • fees payable by credit. Virginia nail license fees and hours. With renewal card prior to expiration date. Any person completing a nail technician training program that is substantially equivalent to the virginia program but is outside of the. The board for barbers and cosmetology licenses. Virginia Nail Technician License Cost.
From exocxvavq.blob.core.windows.net
Nail Technician License Virginia at Ola Graham blog Virginia Nail Technician License Cost Any person completing a nail technician training program that is substantially equivalent to the virginia program but is outside of the. Following this, aspiring nail technicians must. In order to receive a nail technician license in the commonwealth of virginia, you must pass both a nic. Professional and occupational licensing » agency 41. Virginia nail license fees and hours. The. Virginia Nail Technician License Cost.
From dsiacademy.edu
Picture of Job Placement for Esthetics and Nail Technician Licensing Virginia Nail Technician License Cost In order to receive a nail technician license in the commonwealth of virginia, you must pass both a nic. Virginia nail license fees and hours. Following this, aspiring nail technicians must. Virginia board for barbers and cosmetology. To become a nail technician in virginia, one must first obtain a high school diploma or ged. • $105 application fee • $85. Virginia Nail Technician License Cost.
From www.virginianailschool.com
Virginia Nail School Home Virginia Nail Technician License Cost Virginia board for barbers and cosmetology. To become a nail technician in virginia, one must first obtain a high school diploma or ged. Professional and occupational licensing » agency 41. • $105 application fee • $85 practical testing fee and $90 written testing fee • fees payable by credit. With renewal card prior to expiration date. Virginia nail license fees. Virginia Nail Technician License Cost.
From www.virginianailschool.com
Virginia Nail School Home Virginia Nail Technician License Cost Following this, aspiring nail technicians must. To become a nail technician in virginia, one must first obtain a high school diploma or ged. Any person completing a nail technician training program that is substantially equivalent to the virginia program but is outside of the. With renewal card prior to expiration date. Professional and occupational licensing » agency 41. Virginia board. Virginia Nail Technician License Cost.
From www.yelp.com
VIRGINIA SCHOOL OF NAIL ARTISTRY Updated August 2024 12 Centre Ct Virginia Nail Technician License Cost • $105 application fee • $85 practical testing fee and $90 written testing fee • fees payable by credit. Any person completing a nail technician training program that is substantially equivalent to the virginia program but is outside of the. Virginia nail license fees and hours. Virginia board for barbers and cosmetology. With renewal card prior to expiration date. Following. Virginia Nail Technician License Cost.
From www.virginianailschool.com
Virginia Nail School Home Virginia Nail Technician License Cost To become a nail technician in virginia, one must first obtain a high school diploma or ged. Virginia nail license fees and hours. In order to receive a nail technician license in the commonwealth of virginia, you must pass both a nic. With renewal card prior to expiration date. Following this, aspiring nail technicians must. Virginia board for barbers and. Virginia Nail Technician License Cost.
From www.templateroller.com
Form A4501206_07EXLIC Download Fillable PDF or Fill Online Nail Virginia Nail Technician License Cost Virginia board for barbers and cosmetology. With renewal card prior to expiration date. In order to receive a nail technician license in the commonwealth of virginia, you must pass both a nic. The board for barbers and cosmetology licenses individuals and businesses that perform barbering, cosmetology, nail care, waxing, tattooing, body. Professional and occupational licensing » agency 41. • $105. Virginia Nail Technician License Cost.
From exocxvavq.blob.core.windows.net
Nail Technician License Virginia at Ola Graham blog Virginia Nail Technician License Cost Professional and occupational licensing » agency 41. • $105 application fee • $85 practical testing fee and $90 written testing fee • fees payable by credit. With renewal card prior to expiration date. Virginia nail license fees and hours. Virginia board for barbers and cosmetology. Following this, aspiring nail technicians must. Any person completing a nail technician training program that. Virginia Nail Technician License Cost.
From exocxvavq.blob.core.windows.net
Nail Technician License Virginia at Ola Graham blog Virginia Nail Technician License Cost Virginia board for barbers and cosmetology. The board for barbers and cosmetology licenses individuals and businesses that perform barbering, cosmetology, nail care, waxing, tattooing, body. To become a nail technician in virginia, one must first obtain a high school diploma or ged. Virginia nail license fees and hours. Following this, aspiring nail technicians must. With renewal card prior to expiration. Virginia Nail Technician License Cost.
From dsiacademy.edu
About Us Esthetics LicensingNail Technician LicensingVirginia Virginia Nail Technician License Cost • $105 application fee • $85 practical testing fee and $90 written testing fee • fees payable by credit. Professional and occupational licensing » agency 41. With renewal card prior to expiration date. To become a nail technician in virginia, one must first obtain a high school diploma or ged. Any person completing a nail technician training program that is. Virginia Nail Technician License Cost.
From dsiacademy.edu
studentclinicpricelist2 Esthetics LicensingNail Technician Virginia Nail Technician License Cost Virginia board for barbers and cosmetology. In order to receive a nail technician license in the commonwealth of virginia, you must pass both a nic. With renewal card prior to expiration date. Professional and occupational licensing » agency 41. Following this, aspiring nail technicians must. Virginia nail license fees and hours. • $105 application fee • $85 practical testing fee. Virginia Nail Technician License Cost.
From www.virginianailschool.com
Virginia Nail School Home Virginia Nail Technician License Cost The board for barbers and cosmetology licenses individuals and businesses that perform barbering, cosmetology, nail care, waxing, tattooing, body. Following this, aspiring nail technicians must. Virginia board for barbers and cosmetology. With renewal card prior to expiration date. Any person completing a nail technician training program that is substantially equivalent to the virginia program but is outside of the. •. Virginia Nail Technician License Cost.
From dsiacademy.edu
Picture of Admissions for Esthetics Licensing and Nail Technician Virginia Nail Technician License Cost The board for barbers and cosmetology licenses individuals and businesses that perform barbering, cosmetology, nail care, waxing, tattooing, body. Professional and occupational licensing » agency 41. Any person completing a nail technician training program that is substantially equivalent to the virginia program but is outside of the. With renewal card prior to expiration date. • $105 application fee • $85. Virginia Nail Technician License Cost.
From www.studocu.com
Grab Virginia (VA) Nail Technician License Practice Course URL Virginia Nail Technician License Cost With renewal card prior to expiration date. Following this, aspiring nail technicians must. Virginia board for barbers and cosmetology. Virginia nail license fees and hours. Professional and occupational licensing » agency 41. The board for barbers and cosmetology licenses individuals and businesses that perform barbering, cosmetology, nail care, waxing, tattooing, body. In order to receive a nail technician license in. Virginia Nail Technician License Cost.
From gamma.app
VA Nail Technician Licensing Course Virginia Nail Technician License Cost Virginia board for barbers and cosmetology. With renewal card prior to expiration date. • $105 application fee • $85 practical testing fee and $90 written testing fee • fees payable by credit. The board for barbers and cosmetology licenses individuals and businesses that perform barbering, cosmetology, nail care, waxing, tattooing, body. Following this, aspiring nail technicians must. In order to. Virginia Nail Technician License Cost.
From dsiacademy.edu
EstheticianCareerOutlook Esthetics LicensingNail Technician Virginia Nail Technician License Cost Following this, aspiring nail technicians must. To become a nail technician in virginia, one must first obtain a high school diploma or ged. Any person completing a nail technician training program that is substantially equivalent to the virginia program but is outside of the. The board for barbers and cosmetology licenses individuals and businesses that perform barbering, cosmetology, nail care,. Virginia Nail Technician License Cost.
From www.youtube.com
How to get a nail tech license in the US YouTube Virginia Nail Technician License Cost • $105 application fee • $85 practical testing fee and $90 written testing fee • fees payable by credit. Any person completing a nail technician training program that is substantially equivalent to the virginia program but is outside of the. Professional and occupational licensing » agency 41. Virginia board for barbers and cosmetology. To become a nail technician in virginia,. Virginia Nail Technician License Cost.
From exocxvavq.blob.core.windows.net
Nail Technician License Virginia at Ola Graham blog Virginia Nail Technician License Cost • $105 application fee • $85 practical testing fee and $90 written testing fee • fees payable by credit. Professional and occupational licensing » agency 41. In order to receive a nail technician license in the commonwealth of virginia, you must pass both a nic. The board for barbers and cosmetology licenses individuals and businesses that perform barbering, cosmetology, nail. Virginia Nail Technician License Cost.
From nail-exam.com
How to a Nail Tech in Virginia Virginia Nail Technician License Cost Professional and occupational licensing » agency 41. Virginia nail license fees and hours. • $105 application fee • $85 practical testing fee and $90 written testing fee • fees payable by credit. With renewal card prior to expiration date. To become a nail technician in virginia, one must first obtain a high school diploma or ged. Virginia board for barbers. Virginia Nail Technician License Cost.
From dsiacademy.edu
Licensing Courses Video for Estheticians & Nail Techs VA MD DC Virginia Nail Technician License Cost Professional and occupational licensing » agency 41. • $105 application fee • $85 practical testing fee and $90 written testing fee • fees payable by credit. To become a nail technician in virginia, one must first obtain a high school diploma or ged. Following this, aspiring nail technicians must. With renewal card prior to expiration date. In order to receive. Virginia Nail Technician License Cost.
From dsiacademy.edu
ALICIASABA Esthetics LicensingNail Technician LicensingVirginia Virginia Nail Technician License Cost With renewal card prior to expiration date. Virginia board for barbers and cosmetology. Any person completing a nail technician training program that is substantially equivalent to the virginia program but is outside of the. Professional and occupational licensing » agency 41. To become a nail technician in virginia, one must first obtain a high school diploma or ged. In order. Virginia Nail Technician License Cost.
From www.templateroller.com
Form A4501206_07EXLIC Download Fillable PDF or Fill Online Nail Virginia Nail Technician License Cost The board for barbers and cosmetology licenses individuals and businesses that perform barbering, cosmetology, nail care, waxing, tattooing, body. Virginia nail license fees and hours. • $105 application fee • $85 practical testing fee and $90 written testing fee • fees payable by credit. Any person completing a nail technician training program that is substantially equivalent to the virginia program. Virginia Nail Technician License Cost.