Bellevue Ky Occupational Tax . The boone county occupational licensing department is responsible for collecting occupational tax levied on salaries, wages,. Occupational taxes pursuant to krs 67.766 , occupational license tax forms for each kentucky taxing district that imposes such a tax are now. Here you will find a comprehensive listing of and links to relevant applications and forms for permits and licenses related to living and conducting. Every person, association, corporation, or other business entity engaging in an occupation, business, trade, or profession is required to file and pay. Many cities and counties require a local business license and/or impose an occupational tax or other type of tax on. This page contains the most current information as it regards taxes and fees, and their associated rates, for the city of bellevue, kentucky.
from www.countyforms.com
The boone county occupational licensing department is responsible for collecting occupational tax levied on salaries, wages,. This page contains the most current information as it regards taxes and fees, and their associated rates, for the city of bellevue, kentucky. Many cities and counties require a local business license and/or impose an occupational tax or other type of tax on. Here you will find a comprehensive listing of and links to relevant applications and forms for permits and licenses related to living and conducting. Every person, association, corporation, or other business entity engaging in an occupation, business, trade, or profession is required to file and pay. Occupational taxes pursuant to krs 67.766 , occupational license tax forms for each kentucky taxing district that imposes such a tax are now.
Fillable Form Cc1 Federal Employee Occupational Tax Return 2015
Bellevue Ky Occupational Tax Here you will find a comprehensive listing of and links to relevant applications and forms for permits and licenses related to living and conducting. Occupational taxes pursuant to krs 67.766 , occupational license tax forms for each kentucky taxing district that imposes such a tax are now. The boone county occupational licensing department is responsible for collecting occupational tax levied on salaries, wages,. Every person, association, corporation, or other business entity engaging in an occupation, business, trade, or profession is required to file and pay. This page contains the most current information as it regards taxes and fees, and their associated rates, for the city of bellevue, kentucky. Many cities and counties require a local business license and/or impose an occupational tax or other type of tax on. Here you will find a comprehensive listing of and links to relevant applications and forms for permits and licenses related to living and conducting.
From city-of-owensboro-tax-form.pdffiller.com
Owensboro Occupational Tax Fill Online, Printable, Fillable, Blank Bellevue Ky Occupational Tax Occupational taxes pursuant to krs 67.766 , occupational license tax forms for each kentucky taxing district that imposes such a tax are now. Every person, association, corporation, or other business entity engaging in an occupation, business, trade, or profession is required to file and pay. Here you will find a comprehensive listing of and links to relevant applications and forms. Bellevue Ky Occupational Tax.
From www.formsbank.com
Net Profit License Fee Return Hart County, Kentucky Occupational Tax Bellevue Ky Occupational Tax The boone county occupational licensing department is responsible for collecting occupational tax levied on salaries, wages,. Many cities and counties require a local business license and/or impose an occupational tax or other type of tax on. Every person, association, corporation, or other business entity engaging in an occupation, business, trade, or profession is required to file and pay. Here you. Bellevue Ky Occupational Tax.
From govos.com
Business License Software for Government Use GovOS Bellevue Ky Occupational Tax Many cities and counties require a local business license and/or impose an occupational tax or other type of tax on. This page contains the most current information as it regards taxes and fees, and their associated rates, for the city of bellevue, kentucky. Every person, association, corporation, or other business entity engaging in an occupation, business, trade, or profession is. Bellevue Ky Occupational Tax.
From www.formsbank.com
Application For Occupational/business License Form Bellevue, Kentucky Bellevue Ky Occupational Tax The boone county occupational licensing department is responsible for collecting occupational tax levied on salaries, wages,. This page contains the most current information as it regards taxes and fees, and their associated rates, for the city of bellevue, kentucky. Occupational taxes pursuant to krs 67.766 , occupational license tax forms for each kentucky taxing district that imposes such a tax. Bellevue Ky Occupational Tax.
From www.formsbank.com
Fillable Form Ol3 Occupational License Tax Return printable pdf download Bellevue Ky Occupational Tax Many cities and counties require a local business license and/or impose an occupational tax or other type of tax on. Every person, association, corporation, or other business entity engaging in an occupation, business, trade, or profession is required to file and pay. This page contains the most current information as it regards taxes and fees, and their associated rates, for. Bellevue Ky Occupational Tax.
From www.formsbank.com
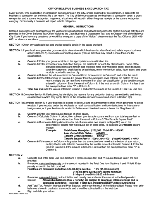
Instructions For City Of Bellevue Business & Occupation Tax printable Bellevue Ky Occupational Tax Occupational taxes pursuant to krs 67.766 , occupational license tax forms for each kentucky taxing district that imposes such a tax are now. This page contains the most current information as it regards taxes and fees, and their associated rates, for the city of bellevue, kentucky. Every person, association, corporation, or other business entity engaging in an occupation, business, trade,. Bellevue Ky Occupational Tax.
From fyogffmtn.blob.core.windows.net
Kentucky Occupational Tax Forms at Kelly Barker blog Bellevue Ky Occupational Tax This page contains the most current information as it regards taxes and fees, and their associated rates, for the city of bellevue, kentucky. Many cities and counties require a local business license and/or impose an occupational tax or other type of tax on. Here you will find a comprehensive listing of and links to relevant applications and forms for permits. Bellevue Ky Occupational Tax.
From www.signnow.com
City of Bellevue Ky Occupational License airSlate SignNow Bellevue Ky Occupational Tax This page contains the most current information as it regards taxes and fees, and their associated rates, for the city of bellevue, kentucky. Many cities and counties require a local business license and/or impose an occupational tax or other type of tax on. Here you will find a comprehensive listing of and links to relevant applications and forms for permits. Bellevue Ky Occupational Tax.
From www.templateroller.com
Form OL3 Fill Out, Sign Online and Download Fillable PDF, City of Bellevue Ky Occupational Tax The boone county occupational licensing department is responsible for collecting occupational tax levied on salaries, wages,. Every person, association, corporation, or other business entity engaging in an occupation, business, trade, or profession is required to file and pay. Occupational taxes pursuant to krs 67.766 , occupational license tax forms for each kentucky taxing district that imposes such a tax are. Bellevue Ky Occupational Tax.
From fyogffmtn.blob.core.windows.net
Kentucky Occupational Tax Forms at Kelly Barker blog Bellevue Ky Occupational Tax This page contains the most current information as it regards taxes and fees, and their associated rates, for the city of bellevue, kentucky. Every person, association, corporation, or other business entity engaging in an occupation, business, trade, or profession is required to file and pay. Here you will find a comprehensive listing of and links to relevant applications and forms. Bellevue Ky Occupational Tax.
From www.templateroller.com
Form OL3a Fill Out, Sign Online and Download Fillable PDF Bellevue Ky Occupational Tax Many cities and counties require a local business license and/or impose an occupational tax or other type of tax on. Occupational taxes pursuant to krs 67.766 , occupational license tax forms for each kentucky taxing district that imposes such a tax are now. This page contains the most current information as it regards taxes and fees, and their associated rates,. Bellevue Ky Occupational Tax.
From www.countyforms.com
Fillable Form W 1 Kjda Employers Quarterly Return Of Occupational Bellevue Ky Occupational Tax Many cities and counties require a local business license and/or impose an occupational tax or other type of tax on. Here you will find a comprehensive listing of and links to relevant applications and forms for permits and licenses related to living and conducting. This page contains the most current information as it regards taxes and fees, and their associated. Bellevue Ky Occupational Tax.
From www.taxuni.com
Kentucky Tax Calculator 2024 2025 Bellevue Ky Occupational Tax Many cities and counties require a local business license and/or impose an occupational tax or other type of tax on. Here you will find a comprehensive listing of and links to relevant applications and forms for permits and licenses related to living and conducting. Occupational taxes pursuant to krs 67.766 , occupational license tax forms for each kentucky taxing district. Bellevue Ky Occupational Tax.
From www.pdffiller.com
Mccreary County Ky Occupational Tax Doc Template pdfFiller Bellevue Ky Occupational Tax Many cities and counties require a local business license and/or impose an occupational tax or other type of tax on. Here you will find a comprehensive listing of and links to relevant applications and forms for permits and licenses related to living and conducting. Every person, association, corporation, or other business entity engaging in an occupation, business, trade, or profession. Bellevue Ky Occupational Tax.
From govos.com
Kentucky Occupational Tax GovOS Bellevue Ky Occupational Tax Many cities and counties require a local business license and/or impose an occupational tax or other type of tax on. Here you will find a comprehensive listing of and links to relevant applications and forms for permits and licenses related to living and conducting. Occupational taxes pursuant to krs 67.766 , occupational license tax forms for each kentucky taxing district. Bellevue Ky Occupational Tax.
From www.formsbank.com
Form 220221S Employer'S Return Of Occupational License Tax Withheld Bellevue Ky Occupational Tax The boone county occupational licensing department is responsible for collecting occupational tax levied on salaries, wages,. Every person, association, corporation, or other business entity engaging in an occupation, business, trade, or profession is required to file and pay. Occupational taxes pursuant to krs 67.766 , occupational license tax forms for each kentucky taxing district that imposes such a tax are. Bellevue Ky Occupational Tax.
From www.linkedin.com
GovOS on LinkedIn Live Event Occupational Tax in Kentucky GovOS Bellevue Ky Occupational Tax Here you will find a comprehensive listing of and links to relevant applications and forms for permits and licenses related to living and conducting. Every person, association, corporation, or other business entity engaging in an occupation, business, trade, or profession is required to file and pay. Occupational taxes pursuant to krs 67.766 , occupational license tax forms for each kentucky. Bellevue Ky Occupational Tax.
From www.countyforms.com
Kenton County Annual Occupational Form Fill Out And Sign Printable Bellevue Ky Occupational Tax Many cities and counties require a local business license and/or impose an occupational tax or other type of tax on. Every person, association, corporation, or other business entity engaging in an occupation, business, trade, or profession is required to file and pay. Occupational taxes pursuant to krs 67.766 , occupational license tax forms for each kentucky taxing district that imposes. Bellevue Ky Occupational Tax.
From www.ksba.org
Tax Rates Bellevue Ky Occupational Tax Every person, association, corporation, or other business entity engaging in an occupation, business, trade, or profession is required to file and pay. Occupational taxes pursuant to krs 67.766 , occupational license tax forms for each kentucky taxing district that imposes such a tax are now. The boone county occupational licensing department is responsible for collecting occupational tax levied on salaries,. Bellevue Ky Occupational Tax.
From www.formsbank.com
City Of Bellevue Business & Occupation Tax Return Form printable pdf Bellevue Ky Occupational Tax Here you will find a comprehensive listing of and links to relevant applications and forms for permits and licenses related to living and conducting. The boone county occupational licensing department is responsible for collecting occupational tax levied on salaries, wages,. Occupational taxes pursuant to krs 67.766 , occupational license tax forms for each kentucky taxing district that imposes such a. Bellevue Ky Occupational Tax.
From www.pdffiller.com
Form Annual Occupational Tax Fill Online, Printable, Fillable, Blank Bellevue Ky Occupational Tax Every person, association, corporation, or other business entity engaging in an occupation, business, trade, or profession is required to file and pay. The boone county occupational licensing department is responsible for collecting occupational tax levied on salaries, wages,. This page contains the most current information as it regards taxes and fees, and their associated rates, for the city of bellevue,. Bellevue Ky Occupational Tax.
From taxedright.com
Kentucky State Taxes Taxed Right Bellevue Ky Occupational Tax Occupational taxes pursuant to krs 67.766 , occupational license tax forms for each kentucky taxing district that imposes such a tax are now. The boone county occupational licensing department is responsible for collecting occupational tax levied on salaries, wages,. This page contains the most current information as it regards taxes and fees, and their associated rates, for the city of. Bellevue Ky Occupational Tax.
From www.bgky.org
Occupational Taxes Increase Bowling Green, Kentucky Official Bellevue Ky Occupational Tax The boone county occupational licensing department is responsible for collecting occupational tax levied on salaries, wages,. Occupational taxes pursuant to krs 67.766 , occupational license tax forms for each kentucky taxing district that imposes such a tax are now. Every person, association, corporation, or other business entity engaging in an occupation, business, trade, or profession is required to file and. Bellevue Ky Occupational Tax.
From www.formsbank.com
City Of Bellevue Business And Occupation Tax General Instructions Bellevue Ky Occupational Tax Many cities and counties require a local business license and/or impose an occupational tax or other type of tax on. Occupational taxes pursuant to krs 67.766 , occupational license tax forms for each kentucky taxing district that imposes such a tax are now. Every person, association, corporation, or other business entity engaging in an occupation, business, trade, or profession is. Bellevue Ky Occupational Tax.
From fyogffmtn.blob.core.windows.net
Kentucky Occupational Tax Forms at Kelly Barker blog Bellevue Ky Occupational Tax The boone county occupational licensing department is responsible for collecting occupational tax levied on salaries, wages,. Every person, association, corporation, or other business entity engaging in an occupation, business, trade, or profession is required to file and pay. Many cities and counties require a local business license and/or impose an occupational tax or other type of tax on. Occupational taxes. Bellevue Ky Occupational Tax.
From claytaxadmin.com
PDF Fillable Forms Clay County Occupational Tax Office Bellevue Ky Occupational Tax The boone county occupational licensing department is responsible for collecting occupational tax levied on salaries, wages,. Occupational taxes pursuant to krs 67.766 , occupational license tax forms for each kentucky taxing district that imposes such a tax are now. Many cities and counties require a local business license and/or impose an occupational tax or other type of tax on. Here. Bellevue Ky Occupational Tax.
From www.templateroller.com
Form OL3 EZ Fill Out, Sign Online and Download Printable PDF Bellevue Ky Occupational Tax This page contains the most current information as it regards taxes and fees, and their associated rates, for the city of bellevue, kentucky. Every person, association, corporation, or other business entity engaging in an occupation, business, trade, or profession is required to file and pay. Many cities and counties require a local business license and/or impose an occupational tax or. Bellevue Ky Occupational Tax.
From www.templateroller.com
Form OLD Fill Out, Sign Online and Download Fillable PDF, Kentucky Bellevue Ky Occupational Tax Here you will find a comprehensive listing of and links to relevant applications and forms for permits and licenses related to living and conducting. Every person, association, corporation, or other business entity engaging in an occupation, business, trade, or profession is required to file and pay. Occupational taxes pursuant to krs 67.766 , occupational license tax forms for each kentucky. Bellevue Ky Occupational Tax.
From www.countyforms.com
Monroe County Ky Occupational Tax Form Bellevue Ky Occupational Tax Many cities and counties require a local business license and/or impose an occupational tax or other type of tax on. Here you will find a comprehensive listing of and links to relevant applications and forms for permits and licenses related to living and conducting. The boone county occupational licensing department is responsible for collecting occupational tax levied on salaries, wages,.. Bellevue Ky Occupational Tax.
From fyogffmtn.blob.core.windows.net
Kentucky Occupational Tax Forms at Kelly Barker blog Bellevue Ky Occupational Tax Here you will find a comprehensive listing of and links to relevant applications and forms for permits and licenses related to living and conducting. Many cities and counties require a local business license and/or impose an occupational tax or other type of tax on. This page contains the most current information as it regards taxes and fees, and their associated. Bellevue Ky Occupational Tax.
From www.countyforms.com
Knox County Ky Occupational Tax Forms Bellevue Ky Occupational Tax The boone county occupational licensing department is responsible for collecting occupational tax levied on salaries, wages,. Occupational taxes pursuant to krs 67.766 , occupational license tax forms for each kentucky taxing district that imposes such a tax are now. Many cities and counties require a local business license and/or impose an occupational tax or other type of tax on. Every. Bellevue Ky Occupational Tax.
From kypolicy.org
Interactive Map How a State Earned Tax Credit Would Benefit Bellevue Ky Occupational Tax Here you will find a comprehensive listing of and links to relevant applications and forms for permits and licenses related to living and conducting. This page contains the most current information as it regards taxes and fees, and their associated rates, for the city of bellevue, kentucky. The boone county occupational licensing department is responsible for collecting occupational tax levied. Bellevue Ky Occupational Tax.
From www.uslegalforms.com
KY Form OL3D 2020 Fill out Tax Template Online US Legal Forms Bellevue Ky Occupational Tax Every person, association, corporation, or other business entity engaging in an occupation, business, trade, or profession is required to file and pay. Occupational taxes pursuant to krs 67.766 , occupational license tax forms for each kentucky taxing district that imposes such a tax are now. The boone county occupational licensing department is responsible for collecting occupational tax levied on salaries,. Bellevue Ky Occupational Tax.
From www.formsbank.com
Fillable Occupation Privilege Tax Form printable pdf download Bellevue Ky Occupational Tax The boone county occupational licensing department is responsible for collecting occupational tax levied on salaries, wages,. Here you will find a comprehensive listing of and links to relevant applications and forms for permits and licenses related to living and conducting. Many cities and counties require a local business license and/or impose an occupational tax or other type of tax on.. Bellevue Ky Occupational Tax.
From www.countyforms.com
Fillable Form Cc1 Federal Employee Occupational Tax Return 2015 Bellevue Ky Occupational Tax Occupational taxes pursuant to krs 67.766 , occupational license tax forms for each kentucky taxing district that imposes such a tax are now. Every person, association, corporation, or other business entity engaging in an occupation, business, trade, or profession is required to file and pay. Many cities and counties require a local business license and/or impose an occupational tax or. Bellevue Ky Occupational Tax.