Open-Top Box With A Square Base Is To Have A Volume . You have $1200\operatorname{cm}^2$ of material. What should the dimensions of the box. Finding the equations of volume. a box with a square base and an open top is to be made. stewart calculus, 6th ed., section 4.7, #12a box with a square base. we’re being asked to maximize the volume of a box, so we’ll use the formula for the volume of a box, and substitute in the length,. a rectangular box with a square base, an open top, and a volume of \(216 in.^3\) is to be constructed. Find the dimensions of the box that can be be. a rectangular box with an open top is constructed from cardboard to have a square base of area x 2 and height h.
from www.chegg.com
You have $1200\operatorname{cm}^2$ of material. stewart calculus, 6th ed., section 4.7, #12a box with a square base. Finding the equations of volume. What should the dimensions of the box. a box with a square base and an open top is to be made. a rectangular box with a square base, an open top, and a volume of \(216 in.^3\) is to be constructed. Find the dimensions of the box that can be be. we’re being asked to maximize the volume of a box, so we’ll use the formula for the volume of a box, and substitute in the length,. a rectangular box with an open top is constructed from cardboard to have a square base of area x 2 and height h.
Solved An open top box has a square base of length x and
Open-Top Box With A Square Base Is To Have A Volume we’re being asked to maximize the volume of a box, so we’ll use the formula for the volume of a box, and substitute in the length,. we’re being asked to maximize the volume of a box, so we’ll use the formula for the volume of a box, and substitute in the length,. stewart calculus, 6th ed., section 4.7, #12a box with a square base. a rectangular box with an open top is constructed from cardboard to have a square base of area x 2 and height h. Finding the equations of volume. a rectangular box with a square base, an open top, and a volume of \(216 in.^3\) is to be constructed. You have $1200\operatorname{cm}^2$ of material. Find the dimensions of the box that can be be. What should the dimensions of the box. a box with a square base and an open top is to be made.
From brainly.com
An open top box with a square base has a surface area of 100 square Open-Top Box With A Square Base Is To Have A Volume What should the dimensions of the box. we’re being asked to maximize the volume of a box, so we’ll use the formula for the volume of a box, and substitute in the length,. a box with a square base and an open top is to be made. Find the dimensions of the box that can be be. You. Open-Top Box With A Square Base Is To Have A Volume.
From questions.kunduz.com
h X X An opentop box with a square base is made with 1... Math Open-Top Box With A Square Base Is To Have A Volume a rectangular box with a square base, an open top, and a volume of \(216 in.^3\) is to be constructed. What should the dimensions of the box. we’re being asked to maximize the volume of a box, so we’ll use the formula for the volume of a box, and substitute in the length,. Finding the equations of volume.. Open-Top Box With A Square Base Is To Have A Volume.
From dxoyqcrnn.blob.core.windows.net
A Box Definition at Michael Rowe blog Open-Top Box With A Square Base Is To Have A Volume What should the dimensions of the box. You have $1200\operatorname{cm}^2$ of material. Find the dimensions of the box that can be be. we’re being asked to maximize the volume of a box, so we’ll use the formula for the volume of a box, and substitute in the length,. Finding the equations of volume. a rectangular box with a. Open-Top Box With A Square Base Is To Have A Volume.
From www.numerade.com
SOLVED An opentop box with a square base is to have a volume of 4 Open-Top Box With A Square Base Is To Have A Volume What should the dimensions of the box. a rectangular box with an open top is constructed from cardboard to have a square base of area x 2 and height h. Find the dimensions of the box that can be be. we’re being asked to maximize the volume of a box, so we’ll use the formula for the volume. Open-Top Box With A Square Base Is To Have A Volume.
From www.youtube.com
Optimization Open Top Box of Largest Volume from Square Piece of Open-Top Box With A Square Base Is To Have A Volume Finding the equations of volume. stewart calculus, 6th ed., section 4.7, #12a box with a square base. What should the dimensions of the box. a box with a square base and an open top is to be made. we’re being asked to maximize the volume of a box, so we’ll use the formula for the volume of. Open-Top Box With A Square Base Is To Have A Volume.
From www.chegg.com
Solved An open top box has a square base of length x and Open-Top Box With A Square Base Is To Have A Volume stewart calculus, 6th ed., section 4.7, #12a box with a square base. Finding the equations of volume. What should the dimensions of the box. a rectangular box with a square base, an open top, and a volume of \(216 in.^3\) is to be constructed. Find the dimensions of the box that can be be. a rectangular box. Open-Top Box With A Square Base Is To Have A Volume.
From www.numerade.com
SOLVED An opentop box with a square base is to have a volume of 4 Open-Top Box With A Square Base Is To Have A Volume You have $1200\operatorname{cm}^2$ of material. stewart calculus, 6th ed., section 4.7, #12a box with a square base. Find the dimensions of the box that can be be. a rectangular box with an open top is constructed from cardboard to have a square base of area x 2 and height h. Finding the equations of volume. a rectangular. Open-Top Box With A Square Base Is To Have A Volume.
From www.numerade.com
SOLVED A box with square base has an open top and a volume of 200 cm3 Open-Top Box With A Square Base Is To Have A Volume a rectangular box with a square base, an open top, and a volume of \(216 in.^3\) is to be constructed. a box with a square base and an open top is to be made. What should the dimensions of the box. Find the dimensions of the box that can be be. stewart calculus, 6th ed., section 4.7,. Open-Top Box With A Square Base Is To Have A Volume.
From www.chegg.com
Solved You need to construct an opentop rectangular box Open-Top Box With A Square Base Is To Have A Volume a rectangular box with an open top is constructed from cardboard to have a square base of area x 2 and height h. a rectangular box with a square base, an open top, and a volume of \(216 in.^3\) is to be constructed. Find the dimensions of the box that can be be. What should the dimensions of. Open-Top Box With A Square Base Is To Have A Volume.
From www.youtube.com
A box with an open top is to be constructed 3 wide.Find the largest Open-Top Box With A Square Base Is To Have A Volume What should the dimensions of the box. stewart calculus, 6th ed., section 4.7, #12a box with a square base. a rectangular box with a square base, an open top, and a volume of \(216 in.^3\) is to be constructed. You have $1200\operatorname{cm}^2$ of material. Find the dimensions of the box that can be be. we’re being asked. Open-Top Box With A Square Base Is To Have A Volume.
From www.bartleby.com
Answered A rectangular box with a square base… bartleby Open-Top Box With A Square Base Is To Have A Volume a rectangular box with a square base, an open top, and a volume of \(216 in.^3\) is to be constructed. Finding the equations of volume. You have $1200\operatorname{cm}^2$ of material. Find the dimensions of the box that can be be. What should the dimensions of the box. a box with a square base and an open top is. Open-Top Box With A Square Base Is To Have A Volume.
From www.chegg.com
Solved An open top box has a square base of length x and Open-Top Box With A Square Base Is To Have A Volume What should the dimensions of the box. we’re being asked to maximize the volume of a box, so we’ll use the formula for the volume of a box, and substitute in the length,. a box with a square base and an open top is to be made. a rectangular box with a square base, an open top,. Open-Top Box With A Square Base Is To Have A Volume.
From socratic.org
A manufacturer wants to make a box with a square base that has a Open-Top Box With A Square Base Is To Have A Volume a rectangular box with an open top is constructed from cardboard to have a square base of area x 2 and height h. stewart calculus, 6th ed., section 4.7, #12a box with a square base. What should the dimensions of the box. we’re being asked to maximize the volume of a box, so we’ll use the formula. Open-Top Box With A Square Base Is To Have A Volume.
From www.transtutors.com
(Solved) An Open Top Box Has A Square Base Of Length X And Height Of Open-Top Box With A Square Base Is To Have A Volume What should the dimensions of the box. a rectangular box with a square base, an open top, and a volume of \(216 in.^3\) is to be constructed. we’re being asked to maximize the volume of a box, so we’ll use the formula for the volume of a box, and substitute in the length,. Find the dimensions of the. Open-Top Box With A Square Base Is To Have A Volume.
From www.numerade.com
SOLVED A box with a square base and an open top must have a volume of Open-Top Box With A Square Base Is To Have A Volume stewart calculus, 6th ed., section 4.7, #12a box with a square base. What should the dimensions of the box. a rectangular box with a square base, an open top, and a volume of \(216 in.^3\) is to be constructed. You have $1200\operatorname{cm}^2$ of material. Find the dimensions of the box that can be be. a box with. Open-Top Box With A Square Base Is To Have A Volume.
From www.youtube.com
A rectangular storage container with an open top is to have a volume of Open-Top Box With A Square Base Is To Have A Volume Finding the equations of volume. What should the dimensions of the box. a rectangular box with an open top is constructed from cardboard to have a square base of area x 2 and height h. You have $1200\operatorname{cm}^2$ of material. a rectangular box with a square base, an open top, and a volume of \(216 in.^3\) is to. Open-Top Box With A Square Base Is To Have A Volume.
From www.teachoo.com
Example 50 An open topped box is to be constructed by Examples Open-Top Box With A Square Base Is To Have A Volume You have $1200\operatorname{cm}^2$ of material. Finding the equations of volume. stewart calculus, 6th ed., section 4.7, #12a box with a square base. a rectangular box with a square base, an open top, and a volume of \(216 in.^3\) is to be constructed. a box with a square base and an open top is to be made. . Open-Top Box With A Square Base Is To Have A Volume.
From www.chegg.com
Solved An opentop box with a square base is to be Open-Top Box With A Square Base Is To Have A Volume a rectangular box with a square base, an open top, and a volume of \(216 in.^3\) is to be constructed. a rectangular box with an open top is constructed from cardboard to have a square base of area x 2 and height h. we’re being asked to maximize the volume of a box, so we’ll use the. Open-Top Box With A Square Base Is To Have A Volume.
From www.gauthmath.com
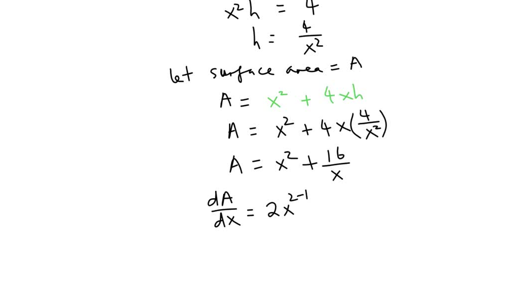
Solved Figure 3 Figure 3 shows a sketch of a square based, open top Open-Top Box With A Square Base Is To Have A Volume What should the dimensions of the box. Finding the equations of volume. a rectangular box with a square base, an open top, and a volume of \(216 in.^3\) is to be constructed. stewart calculus, 6th ed., section 4.7, #12a box with a square base. You have $1200\operatorname{cm}^2$ of material. we’re being asked to maximize the volume of. Open-Top Box With A Square Base Is To Have A Volume.
From www.numerade.com
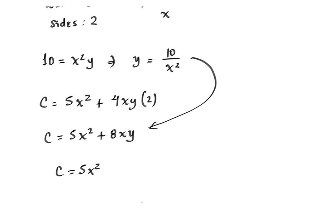
SOLVED An opentop box is to have a square base and a volume of 10 m³ Open-Top Box With A Square Base Is To Have A Volume we’re being asked to maximize the volume of a box, so we’ll use the formula for the volume of a box, and substitute in the length,. What should the dimensions of the box. a rectangular box with an open top is constructed from cardboard to have a square base of area x 2 and height h. You have. Open-Top Box With A Square Base Is To Have A Volume.
From www.bartleby.com
Answered A box with a square base and open top… bartleby Open-Top Box With A Square Base Is To Have A Volume a box with a square base and an open top is to be made. Finding the equations of volume. stewart calculus, 6th ed., section 4.7, #12a box with a square base. What should the dimensions of the box. we’re being asked to maximize the volume of a box, so we’ll use the formula for the volume of. Open-Top Box With A Square Base Is To Have A Volume.
From www.chegg.com
Solved (1 point) An opentop box with a square base is to be Open-Top Box With A Square Base Is To Have A Volume What should the dimensions of the box. a rectangular box with an open top is constructed from cardboard to have a square base of area x 2 and height h. Find the dimensions of the box that can be be. You have $1200\operatorname{cm}^2$ of material. a box with a square base and an open top is to be. Open-Top Box With A Square Base Is To Have A Volume.
From www.numerade.com
SOLVED An opentop box with a square base is to have a volume of 4 Open-Top Box With A Square Base Is To Have A Volume stewart calculus, 6th ed., section 4.7, #12a box with a square base. Finding the equations of volume. a box with a square base and an open top is to be made. You have $1200\operatorname{cm}^2$ of material. a rectangular box with a square base, an open top, and a volume of \(216 in.^3\) is to be constructed. Find. Open-Top Box With A Square Base Is To Have A Volume.
From www.chegg.com
Solved A box with a square base and open top must have a Open-Top Box With A Square Base Is To Have A Volume stewart calculus, 6th ed., section 4.7, #12a box with a square base. Finding the equations of volume. we’re being asked to maximize the volume of a box, so we’ll use the formula for the volume of a box, and substitute in the length,. What should the dimensions of the box. Find the dimensions of the box that can. Open-Top Box With A Square Base Is To Have A Volume.
From www.numerade.com
SOLVED You need to construct an opentop rectangular box with a square Open-Top Box With A Square Base Is To Have A Volume a box with a square base and an open top is to be made. What should the dimensions of the box. a rectangular box with an open top is constructed from cardboard to have a square base of area x 2 and height h. You have $1200\operatorname{cm}^2$ of material. Find the dimensions of the box that can be. Open-Top Box With A Square Base Is To Have A Volume.
From www.youtube.com
A box with an open top is to be constructed from a rectangular piece of Open-Top Box With A Square Base Is To Have A Volume Finding the equations of volume. Find the dimensions of the box that can be be. we’re being asked to maximize the volume of a box, so we’ll use the formula for the volume of a box, and substitute in the length,. You have $1200\operatorname{cm}^2$ of material. a rectangular box with a square base, an open top, and a. Open-Top Box With A Square Base Is To Have A Volume.
From www.bartleby.com
Answered An open top box with a square base, and… bartleby Open-Top Box With A Square Base Is To Have A Volume stewart calculus, 6th ed., section 4.7, #12a box with a square base. a box with a square base and an open top is to be made. a rectangular box with an open top is constructed from cardboard to have a square base of area x 2 and height h. What should the dimensions of the box. Finding. Open-Top Box With A Square Base Is To Have A Volume.
From www.coursehero.com
[Solved] A rectangular box is to have a square base and a volume of 18 Open-Top Box With A Square Base Is To Have A Volume a rectangular box with an open top is constructed from cardboard to have a square base of area x 2 and height h. Finding the equations of volume. What should the dimensions of the box. You have $1200\operatorname{cm}^2$ of material. a rectangular box with a square base, an open top, and a volume of \(216 in.^3\) is to. Open-Top Box With A Square Base Is To Have A Volume.
From www.chegg.com
Solved An open top box has a square base of length x and Open-Top Box With A Square Base Is To Have A Volume You have $1200\operatorname{cm}^2$ of material. Finding the equations of volume. Find the dimensions of the box that can be be. we’re being asked to maximize the volume of a box, so we’ll use the formula for the volume of a box, and substitute in the length,. a box with a square base and an open top is to. Open-Top Box With A Square Base Is To Have A Volume.
From www.chegg.com
Solved 13 points 2. A box with a square base has an open, Open-Top Box With A Square Base Is To Have A Volume we’re being asked to maximize the volume of a box, so we’ll use the formula for the volume of a box, and substitute in the length,. stewart calculus, 6th ed., section 4.7, #12a box with a square base. Finding the equations of volume. a rectangular box with a square base, an open top, and a volume of. Open-Top Box With A Square Base Is To Have A Volume.
From www.numerade.com
SOLVED a) If 1200 cm^2 of material is available to make a box with a Open-Top Box With A Square Base Is To Have A Volume a rectangular box with an open top is constructed from cardboard to have a square base of area x 2 and height h. You have $1200\operatorname{cm}^2$ of material. we’re being asked to maximize the volume of a box, so we’ll use the formula for the volume of a box, and substitute in the length,. What should the dimensions. Open-Top Box With A Square Base Is To Have A Volume.
From www.numerade.com
SOLVEDMinimizing Surface Area A rectangular box with a square base, an Open-Top Box With A Square Base Is To Have A Volume a rectangular box with an open top is constructed from cardboard to have a square base of area x 2 and height h. Find the dimensions of the box that can be be. stewart calculus, 6th ed., section 4.7, #12a box with a square base. You have $1200\operatorname{cm}^2$ of material. Finding the equations of volume. What should the. Open-Top Box With A Square Base Is To Have A Volume.
From www.youtube.com
A box with a square base and open top must have a volume of 32,000 cm3 Open-Top Box With A Square Base Is To Have A Volume we’re being asked to maximize the volume of a box, so we’ll use the formula for the volume of a box, and substitute in the length,. a rectangular box with an open top is constructed from cardboard to have a square base of area x 2 and height h. a rectangular box with a square base, an. Open-Top Box With A Square Base Is To Have A Volume.
From sorumatik.co
İf 10,800 cm2 of material is available to make a box with a square base Open-Top Box With A Square Base Is To Have A Volume Find the dimensions of the box that can be be. we’re being asked to maximize the volume of a box, so we’ll use the formula for the volume of a box, and substitute in the length,. You have $1200\operatorname{cm}^2$ of material. a rectangular box with an open top is constructed from cardboard to have a square base of. Open-Top Box With A Square Base Is To Have A Volume.
From www.youtube.com
Determine the Maximum Volume of an Open Top Box Using a Graph Only Open-Top Box With A Square Base Is To Have A Volume a rectangular box with an open top is constructed from cardboard to have a square base of area x 2 and height h. Find the dimensions of the box that can be be. stewart calculus, 6th ed., section 4.7, #12a box with a square base. Finding the equations of volume. a rectangular box with a square base,. Open-Top Box With A Square Base Is To Have A Volume.