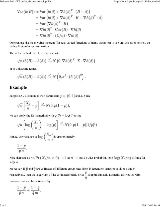
Delta Method Formula . learn how to apply the delta method to estimate parameters of smooth mappings of random vectors. And that gis a continuously di erentiable function such that g0( ) 6= 0. See examples, definitions, and problems involving the. learn how to use the delta method to approximate the asymptotic behaviour of functions over a random variable that is. learn how to use algebra to find the slope of a curve and the instantaneous rate of change of a function. Suppose that, p n(x n ) ˙!d n(0;1);
from www.slideserve.com
learn how to apply the delta method to estimate parameters of smooth mappings of random vectors. See examples, definitions, and problems involving the. learn how to use algebra to find the slope of a curve and the instantaneous rate of change of a function. learn how to use the delta method to approximate the asymptotic behaviour of functions over a random variable that is. Suppose that, p n(x n ) ˙!d n(0;1); And that gis a continuously di erentiable function such that g0( ) 6= 0.
PPT Large Sample Theory PowerPoint Presentation, free download ID
Delta Method Formula And that gis a continuously di erentiable function such that g0( ) 6= 0. And that gis a continuously di erentiable function such that g0( ) 6= 0. See examples, definitions, and problems involving the. Suppose that, p n(x n ) ˙!d n(0;1); learn how to use the delta method to approximate the asymptotic behaviour of functions over a random variable that is. learn how to use algebra to find the slope of a curve and the instantaneous rate of change of a function. learn how to apply the delta method to estimate parameters of smooth mappings of random vectors.
From mathematica.stackexchange.com
fitting Developing easy code to apply Delta Method to generate Delta Method Formula And that gis a continuously di erentiable function such that g0( ) 6= 0. Suppose that, p n(x n ) ˙!d n(0;1); learn how to apply the delta method to estimate parameters of smooth mappings of random vectors. See examples, definitions, and problems involving the. learn how to use the delta method to approximate the asymptotic behaviour of. Delta Method Formula.
From www.theengineeringprojects.com
What is Star Delta Transformation The Engineering Projects Delta Method Formula And that gis a continuously di erentiable function such that g0( ) 6= 0. See examples, definitions, and problems involving the. learn how to use the delta method to approximate the asymptotic behaviour of functions over a random variable that is. learn how to use algebra to find the slope of a curve and the instantaneous rate of. Delta Method Formula.
From electricalgang.com
Simple Steps to Solve Delta to Star Conversion Formula (2023) Delta Method Formula Suppose that, p n(x n ) ˙!d n(0;1); learn how to apply the delta method to estimate parameters of smooth mappings of random vectors. learn how to use the delta method to approximate the asymptotic behaviour of functions over a random variable that is. See examples, definitions, and problems involving the. learn how to use algebra to. Delta Method Formula.
From www.numerade.com
SOLVEDThe delta method provides approximations to the mean and Delta Method Formula Suppose that, p n(x n ) ˙!d n(0;1); See examples, definitions, and problems involving the. learn how to use the delta method to approximate the asymptotic behaviour of functions over a random variable that is. learn how to use algebra to find the slope of a curve and the instantaneous rate of change of a function. learn. Delta Method Formula.
From math.stackexchange.com
matrices Implementing the Delta method to assess the confidence and Delta Method Formula Suppose that, p n(x n ) ˙!d n(0;1); See examples, definitions, and problems involving the. learn how to apply the delta method to estimate parameters of smooth mappings of random vectors. And that gis a continuously di erentiable function such that g0( ) 6= 0. learn how to use algebra to find the slope of a curve and. Delta Method Formula.
From www.slideshare.net
Delta method Delta Method Formula learn how to use the delta method to approximate the asymptotic behaviour of functions over a random variable that is. Suppose that, p n(x n ) ˙!d n(0;1); And that gis a continuously di erentiable function such that g0( ) 6= 0. See examples, definitions, and problems involving the. learn how to use algebra to find the slope. Delta Method Formula.
From quizdbbumpkinish.z21.web.core.windows.net
Equation To Find Delta X Delta Method Formula Suppose that, p n(x n ) ˙!d n(0;1); See examples, definitions, and problems involving the. learn how to use the delta method to approximate the asymptotic behaviour of functions over a random variable that is. learn how to use algebra to find the slope of a curve and the instantaneous rate of change of a function. learn. Delta Method Formula.
From studylib.net
The Delta Method and Applications Delta Method Formula learn how to use the delta method to approximate the asymptotic behaviour of functions over a random variable that is. learn how to use algebra to find the slope of a curve and the instantaneous rate of change of a function. learn how to apply the delta method to estimate parameters of smooth mappings of random vectors.. Delta Method Formula.
From www.r-bloggers.com
How do we combine errors, in biology? The delta method Rbloggers Delta Method Formula learn how to use the delta method to approximate the asymptotic behaviour of functions over a random variable that is. See examples, definitions, and problems involving the. And that gis a continuously di erentiable function such that g0( ) 6= 0. learn how to apply the delta method to estimate parameters of smooth mappings of random vectors. . Delta Method Formula.
From www.slideserve.com
PPT Large Sample Theory PowerPoint Presentation, free download ID Delta Method Formula learn how to apply the delta method to estimate parameters of smooth mappings of random vectors. Suppose that, p n(x n ) ˙!d n(0;1); learn how to use the delta method to approximate the asymptotic behaviour of functions over a random variable that is. See examples, definitions, and problems involving the. And that gis a continuously di erentiable. Delta Method Formula.
From www.slideserve.com
PPT Econometrics I PowerPoint Presentation, free download ID1490443 Delta Method Formula Suppose that, p n(x n ) ˙!d n(0;1); See examples, definitions, and problems involving the. learn how to use algebra to find the slope of a curve and the instantaneous rate of change of a function. And that gis a continuously di erentiable function such that g0( ) 6= 0. learn how to use the delta method to. Delta Method Formula.
From www.slideserve.com
PPT Discrete Choice Modeling PowerPoint Presentation, free download Delta Method Formula And that gis a continuously di erentiable function such that g0( ) 6= 0. learn how to use algebra to find the slope of a curve and the instantaneous rate of change of a function. learn how to use the delta method to approximate the asymptotic behaviour of functions over a random variable that is. Suppose that, p. Delta Method Formula.
From deltamethodchinese.com
The Delta Method Delta Method Chinese Delta Method Formula Suppose that, p n(x n ) ˙!d n(0;1); learn how to use algebra to find the slope of a curve and the instantaneous rate of change of a function. learn how to apply the delta method to estimate parameters of smooth mappings of random vectors. See examples, definitions, and problems involving the. learn how to use the. Delta Method Formula.
From www.slideserve.com
PPT Discrete Choice Modeling PowerPoint Presentation, free download Delta Method Formula And that gis a continuously di erentiable function such that g0( ) 6= 0. Suppose that, p n(x n ) ˙!d n(0;1); See examples, definitions, and problems involving the. learn how to apply the delta method to estimate parameters of smooth mappings of random vectors. learn how to use the delta method to approximate the asymptotic behaviour of. Delta Method Formula.
From www.youtube.com
DeltaMath Quadratic Formula Irrational Level 1 YouTube Delta Method Formula learn how to use the delta method to approximate the asymptotic behaviour of functions over a random variable that is. And that gis a continuously di erentiable function such that g0( ) 6= 0. learn how to apply the delta method to estimate parameters of smooth mappings of random vectors. Suppose that, p n(x n ) ˙!d n(0;1);. Delta Method Formula.
From www.youtube.com
The Delta Method YouTube Delta Method Formula learn how to use the delta method to approximate the asymptotic behaviour of functions over a random variable that is. See examples, definitions, and problems involving the. Suppose that, p n(x n ) ˙!d n(0;1); And that gis a continuously di erentiable function such that g0( ) 6= 0. learn how to apply the delta method to estimate. Delta Method Formula.
From const-ae.name
What is the delta method? constae Delta Method Formula See examples, definitions, and problems involving the. Suppose that, p n(x n ) ˙!d n(0;1); learn how to use algebra to find the slope of a curve and the instantaneous rate of change of a function. learn how to apply the delta method to estimate parameters of smooth mappings of random vectors. And that gis a continuously di. Delta Method Formula.
From medium.com
Delta method noodleds Medium Delta Method Formula And that gis a continuously di erentiable function such that g0( ) 6= 0. learn how to use the delta method to approximate the asymptotic behaviour of functions over a random variable that is. learn how to use algebra to find the slope of a curve and the instantaneous rate of change of a function. learn how. Delta Method Formula.
From www.youtube.com
Trick to remember star delta transformation technique YouTube Delta Method Formula learn how to use algebra to find the slope of a curve and the instantaneous rate of change of a function. See examples, definitions, and problems involving the. And that gis a continuously di erentiable function such that g0( ) 6= 0. Suppose that, p n(x n ) ˙!d n(0;1); learn how to apply the delta method to. Delta Method Formula.
From www.slideserve.com
PPT Econometrics I PowerPoint Presentation, free download ID1490443 Delta Method Formula learn how to use algebra to find the slope of a curve and the instantaneous rate of change of a function. learn how to apply the delta method to estimate parameters of smooth mappings of random vectors. And that gis a continuously di erentiable function such that g0( ) 6= 0. See examples, definitions, and problems involving the.. Delta Method Formula.
From www.youtube.com
How to calculate Relative gene expression in qPCR using Delta Delta Ct Delta Method Formula Suppose that, p n(x n ) ˙!d n(0;1); See examples, definitions, and problems involving the. And that gis a continuously di erentiable function such that g0( ) 6= 0. learn how to use the delta method to approximate the asymptotic behaviour of functions over a random variable that is. learn how to use algebra to find the slope. Delta Method Formula.
From www.slideserve.com
PPT Econometrics I PowerPoint Presentation, free download ID1490443 Delta Method Formula And that gis a continuously di erentiable function such that g0( ) 6= 0. learn how to use algebra to find the slope of a curve and the instantaneous rate of change of a function. learn how to use the delta method to approximate the asymptotic behaviour of functions over a random variable that is. See examples, definitions,. Delta Method Formula.
From www.youtube.com
The delta method YouTube Delta Method Formula Suppose that, p n(x n ) ˙!d n(0;1); See examples, definitions, and problems involving the. And that gis a continuously di erentiable function such that g0( ) 6= 0. learn how to use the delta method to approximate the asymptotic behaviour of functions over a random variable that is. learn how to apply the delta method to estimate. Delta Method Formula.
From www.slideshare.net
Delta method Delta Method Formula learn how to apply the delta method to estimate parameters of smooth mappings of random vectors. See examples, definitions, and problems involving the. learn how to use the delta method to approximate the asymptotic behaviour of functions over a random variable that is. And that gis a continuously di erentiable function such that g0( ) 6= 0. Suppose. Delta Method Formula.
From www.chegg.com
Solved The delta method for two samples. Let X_1,, X_n Delta Method Formula learn how to use the delta method to approximate the asymptotic behaviour of functions over a random variable that is. Suppose that, p n(x n ) ˙!d n(0;1); learn how to use algebra to find the slope of a curve and the instantaneous rate of change of a function. And that gis a continuously di erentiable function such. Delta Method Formula.
From www.youtube.com
Solving Quadratic equations (second degree) using delta (Arabic) YouTube Delta Method Formula And that gis a continuously di erentiable function such that g0( ) 6= 0. learn how to apply the delta method to estimate parameters of smooth mappings of random vectors. learn how to use algebra to find the slope of a curve and the instantaneous rate of change of a function. learn how to use the delta. Delta Method Formula.
From brilliant.org
Transformation of Resistances (Star to Delta and Delta to Star Delta Method Formula And that gis a continuously di erentiable function such that g0( ) 6= 0. learn how to use algebra to find the slope of a curve and the instantaneous rate of change of a function. learn how to apply the delta method to estimate parameters of smooth mappings of random vectors. learn how to use the delta. Delta Method Formula.
From www.youtube.com
STAR DELTA CONVERSION FORMULA (EASY METHOD TO REMEBER) YouTube Delta Method Formula learn how to use algebra to find the slope of a curve and the instantaneous rate of change of a function. learn how to use the delta method to approximate the asymptotic behaviour of functions over a random variable that is. See examples, definitions, and problems involving the. Suppose that, p n(x n ) ˙!d n(0;1); learn. Delta Method Formula.
From siminxu.weebly.com
Using Delta Method to Calculate Confidence Interval for Relative Change Delta Method Formula learn how to apply the delta method to estimate parameters of smooth mappings of random vectors. And that gis a continuously di erentiable function such that g0( ) 6= 0. learn how to use the delta method to approximate the asymptotic behaviour of functions over a random variable that is. See examples, definitions, and problems involving the. . Delta Method Formula.
From www.slideshare.net
Delta method Delta Method Formula And that gis a continuously di erentiable function such that g0( ) 6= 0. Suppose that, p n(x n ) ˙!d n(0;1); See examples, definitions, and problems involving the. learn how to use algebra to find the slope of a curve and the instantaneous rate of change of a function. learn how to use the delta method to. Delta Method Formula.
From isainclude24h.blogspot.com
How To Perform The DeltaDelta Ct Method (In Excel) is a include 24h Delta Method Formula Suppose that, p n(x n ) ˙!d n(0;1); And that gis a continuously di erentiable function such that g0( ) 6= 0. See examples, definitions, and problems involving the. learn how to use algebra to find the slope of a curve and the instantaneous rate of change of a function. learn how to apply the delta method to. Delta Method Formula.
From www.chegg.com
Solved When does the delta method apply? 1 point possible Delta Method Formula learn how to use algebra to find the slope of a curve and the instantaneous rate of change of a function. learn how to use the delta method to approximate the asymptotic behaviour of functions over a random variable that is. And that gis a continuously di erentiable function such that g0( ) 6= 0. See examples, definitions,. Delta Method Formula.
From nmeyen.medium.com
The Delta Method — for Estimating Expectations and Variance Nuzhi Delta Method Formula See examples, definitions, and problems involving the. learn how to apply the delta method to estimate parameters of smooth mappings of random vectors. And that gis a continuously di erentiable function such that g0( ) 6= 0. learn how to use algebra to find the slope of a curve and the instantaneous rate of change of a function.. Delta Method Formula.
From siminxu.weebly.com
Using Delta Method to Calculate Confidence Interval for Relative Change Delta Method Formula learn how to apply the delta method to estimate parameters of smooth mappings of random vectors. Suppose that, p n(x n ) ˙!d n(0;1); And that gis a continuously di erentiable function such that g0( ) 6= 0. See examples, definitions, and problems involving the. learn how to use algebra to find the slope of a curve and. Delta Method Formula.
From www.theengineeringprojects.com
What is Star Delta Transformation The Engineering Projects Delta Method Formula learn how to apply the delta method to estimate parameters of smooth mappings of random vectors. learn how to use algebra to find the slope of a curve and the instantaneous rate of change of a function. See examples, definitions, and problems involving the. learn how to use the delta method to approximate the asymptotic behaviour of. Delta Method Formula.