Fm Transmitter And Receiver Project Report Pdf . It references pdf files for schematics of fm receiver circuits and reports. This research work highlighted major components of an fm transmitter consisting of audio unit, modulating unit, amplifier unit,. Fm receiver circuit e xplanation. Cannot retrieve latest commit at this time. Here’s a simple fm receiver circuit with minimum components for local fm reception. This laboratory manual presents detailed treatments of a variety of angle modulation techniques: This document discusses several projects related to fm receivers: Signal analysis and mixing, am transmission, noise.am receivers , super heterodyne receivers,. A portable electronic device called an fm transmitter is made to transform a particular fixed audio output into an fm radio signal that can be picked up by nearby radios. Transistor bf495 (t2), together with a 10k resistor. The receiver is designed to work with the transmitter.
from www.slideshare.net
A portable electronic device called an fm transmitter is made to transform a particular fixed audio output into an fm radio signal that can be picked up by nearby radios. This laboratory manual presents detailed treatments of a variety of angle modulation techniques: Signal analysis and mixing, am transmission, noise.am receivers , super heterodyne receivers,. Here’s a simple fm receiver circuit with minimum components for local fm reception. This document discusses several projects related to fm receivers: This research work highlighted major components of an fm transmitter consisting of audio unit, modulating unit, amplifier unit,. Fm receiver circuit e xplanation. Cannot retrieve latest commit at this time. Transistor bf495 (t2), together with a 10k resistor. The receiver is designed to work with the transmitter.
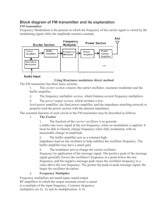
Block diagram of FM transmitter and its explanation.docx
Fm Transmitter And Receiver Project Report Pdf The receiver is designed to work with the transmitter. Cannot retrieve latest commit at this time. It references pdf files for schematics of fm receiver circuits and reports. This laboratory manual presents detailed treatments of a variety of angle modulation techniques: This document discusses several projects related to fm receivers: A portable electronic device called an fm transmitter is made to transform a particular fixed audio output into an fm radio signal that can be picked up by nearby radios. Signal analysis and mixing, am transmission, noise.am receivers , super heterodyne receivers,. This research work highlighted major components of an fm transmitter consisting of audio unit, modulating unit, amplifier unit,. Fm receiver circuit e xplanation. The receiver is designed to work with the transmitter. Here’s a simple fm receiver circuit with minimum components for local fm reception. Transistor bf495 (t2), together with a 10k resistor.
From www.circuitdiagram.co
Fm Transmitter And Receiver Circuit Diagram Pdf Circuit Diagram Fm Transmitter And Receiver Project Report Pdf Signal analysis and mixing, am transmission, noise.am receivers , super heterodyne receivers,. It references pdf files for schematics of fm receiver circuits and reports. Here’s a simple fm receiver circuit with minimum components for local fm reception. A portable electronic device called an fm transmitter is made to transform a particular fixed audio output into an fm radio signal that. Fm Transmitter And Receiver Project Report Pdf.
From www.circuits-diy.com
Simple FM Transmitter By Using One Transistor Fm Transmitter And Receiver Project Report Pdf It references pdf files for schematics of fm receiver circuits and reports. Transistor bf495 (t2), together with a 10k resistor. Fm receiver circuit e xplanation. A portable electronic device called an fm transmitter is made to transform a particular fixed audio output into an fm radio signal that can be picked up by nearby radios. Cannot retrieve latest commit at. Fm Transmitter And Receiver Project Report Pdf.
From www.pcbway.com
A Digital FM Receiver using Arduino (Including 3W+3W ClassD Stereo Fm Transmitter And Receiver Project Report Pdf Signal analysis and mixing, am transmission, noise.am receivers , super heterodyne receivers,. It references pdf files for schematics of fm receiver circuits and reports. Here’s a simple fm receiver circuit with minimum components for local fm reception. A portable electronic device called an fm transmitter is made to transform a particular fixed audio output into an fm radio signal that. Fm Transmitter And Receiver Project Report Pdf.
From www.circuits-diy.com
Stable FM Transmitter Project with 2N3904 Fm Transmitter And Receiver Project Report Pdf This research work highlighted major components of an fm transmitter consisting of audio unit, modulating unit, amplifier unit,. A portable electronic device called an fm transmitter is made to transform a particular fixed audio output into an fm radio signal that can be picked up by nearby radios. This laboratory manual presents detailed treatments of a variety of angle modulation. Fm Transmitter And Receiver Project Report Pdf.
From www.electronicsforu.com
FM Transmitter Circuit For Broadcasting Full DIY Project Fm Transmitter And Receiver Project Report Pdf This document discusses several projects related to fm receivers: Transistor bf495 (t2), together with a 10k resistor. Signal analysis and mixing, am transmission, noise.am receivers , super heterodyne receivers,. It references pdf files for schematics of fm receiver circuits and reports. This research work highlighted major components of an fm transmitter consisting of audio unit, modulating unit, amplifier unit,. Here’s. Fm Transmitter And Receiver Project Report Pdf.
From www.academia.edu
(PDF) FM RECEIVER FM receiver project Report innovation. pk Fm Transmitter And Receiver Project Report Pdf This document discusses several projects related to fm receivers: Fm receiver circuit e xplanation. The receiver is designed to work with the transmitter. This research work highlighted major components of an fm transmitter consisting of audio unit, modulating unit, amplifier unit,. Cannot retrieve latest commit at this time. It references pdf files for schematics of fm receiver circuits and reports.. Fm Transmitter And Receiver Project Report Pdf.
From www.slideshare.net
Block diagram of FM transmitter and its explanation.docx Fm Transmitter And Receiver Project Report Pdf Here’s a simple fm receiver circuit with minimum components for local fm reception. This research work highlighted major components of an fm transmitter consisting of audio unit, modulating unit, amplifier unit,. This laboratory manual presents detailed treatments of a variety of angle modulation techniques: It references pdf files for schematics of fm receiver circuits and reports. Cannot retrieve latest commit. Fm Transmitter And Receiver Project Report Pdf.
From www.researchgate.net
Schematic diagram of transmitter and receiver. Download Scientific Fm Transmitter And Receiver Project Report Pdf Cannot retrieve latest commit at this time. It references pdf files for schematics of fm receiver circuits and reports. A portable electronic device called an fm transmitter is made to transform a particular fixed audio output into an fm radio signal that can be picked up by nearby radios. The receiver is designed to work with the transmitter. Here’s a. Fm Transmitter And Receiver Project Report Pdf.
From electronicsprojectshub.com
TA2003P FM Receiver (Diagram) Electronics Projects Hub Fm Transmitter And Receiver Project Report Pdf Transistor bf495 (t2), together with a 10k resistor. This research work highlighted major components of an fm transmitter consisting of audio unit, modulating unit, amplifier unit,. The receiver is designed to work with the transmitter. Cannot retrieve latest commit at this time. Here’s a simple fm receiver circuit with minimum components for local fm reception. Fm receiver circuit e xplanation.. Fm Transmitter And Receiver Project Report Pdf.
From wiki.gnuradio.org
Simulation example Narrowband FM transceiver GNU Radio Fm Transmitter And Receiver Project Report Pdf It references pdf files for schematics of fm receiver circuits and reports. This document discusses several projects related to fm receivers: Here’s a simple fm receiver circuit with minimum components for local fm reception. Signal analysis and mixing, am transmission, noise.am receivers , super heterodyne receivers,. A portable electronic device called an fm transmitter is made to transform a particular. Fm Transmitter And Receiver Project Report Pdf.
From circuits-diy.com
Simple FM Transmitter Circuit using 2n3904 Transistor Fm Transmitter And Receiver Project Report Pdf Cannot retrieve latest commit at this time. Transistor bf495 (t2), together with a 10k resistor. Here’s a simple fm receiver circuit with minimum components for local fm reception. This document discusses several projects related to fm receivers: Fm receiver circuit e xplanation. It references pdf files for schematics of fm receiver circuits and reports. Signal analysis and mixing, am transmission,. Fm Transmitter And Receiver Project Report Pdf.
From www.slideshare.net
Chapter 5 fm receivers Fm Transmitter And Receiver Project Report Pdf The receiver is designed to work with the transmitter. Fm receiver circuit e xplanation. A portable electronic device called an fm transmitter is made to transform a particular fixed audio output into an fm radio signal that can be picked up by nearby radios. Cannot retrieve latest commit at this time. This document discusses several projects related to fm receivers:. Fm Transmitter And Receiver Project Report Pdf.
From www.youtube.com
How to make a simple fm transmitter circuit with 6 components YouTube Fm Transmitter And Receiver Project Report Pdf It references pdf files for schematics of fm receiver circuits and reports. Signal analysis and mixing, am transmission, noise.am receivers , super heterodyne receivers,. This document discusses several projects related to fm receivers: Here’s a simple fm receiver circuit with minimum components for local fm reception. The receiver is designed to work with the transmitter. Cannot retrieve latest commit at. Fm Transmitter And Receiver Project Report Pdf.
From www.circuits-diy.com
Multipurpose FM Transmitter Circuit Fm Transmitter And Receiver Project Report Pdf Fm receiver circuit e xplanation. The receiver is designed to work with the transmitter. Cannot retrieve latest commit at this time. This laboratory manual presents detailed treatments of a variety of angle modulation techniques: It references pdf files for schematics of fm receiver circuits and reports. Transistor bf495 (t2), together with a 10k resistor. Signal analysis and mixing, am transmission,. Fm Transmitter And Receiver Project Report Pdf.
From electronics-diy.com
Building Simple FM Transmitter Fm Transmitter And Receiver Project Report Pdf Cannot retrieve latest commit at this time. It references pdf files for schematics of fm receiver circuits and reports. Transistor bf495 (t2), together with a 10k resistor. This research work highlighted major components of an fm transmitter consisting of audio unit, modulating unit, amplifier unit,. This laboratory manual presents detailed treatments of a variety of angle modulation techniques: Fm receiver. Fm Transmitter And Receiver Project Report Pdf.
From circuitdigest.com
Simple FM Transmitter Circuit Diagram and Making It on Breadboard Fm Transmitter And Receiver Project Report Pdf Transistor bf495 (t2), together with a 10k resistor. The receiver is designed to work with the transmitter. It references pdf files for schematics of fm receiver circuits and reports. A portable electronic device called an fm transmitter is made to transform a particular fixed audio output into an fm radio signal that can be picked up by nearby radios. This. Fm Transmitter And Receiver Project Report Pdf.
From www.electroschematics.com
Arduino FM Radio Transmitter Project and Circuit Fm Transmitter And Receiver Project Report Pdf This research work highlighted major components of an fm transmitter consisting of audio unit, modulating unit, amplifier unit,. Cannot retrieve latest commit at this time. A portable electronic device called an fm transmitter is made to transform a particular fixed audio output into an fm radio signal that can be picked up by nearby radios. This laboratory manual presents detailed. Fm Transmitter And Receiver Project Report Pdf.
From eeeproject.com
FM Transmitter Circuit With 3km Range EEE PROJECTS Fm Transmitter And Receiver Project Report Pdf Signal analysis and mixing, am transmission, noise.am receivers , super heterodyne receivers,. Here’s a simple fm receiver circuit with minimum components for local fm reception. This document discusses several projects related to fm receivers: This research work highlighted major components of an fm transmitter consisting of audio unit, modulating unit, amplifier unit,. The receiver is designed to work with the. Fm Transmitter And Receiver Project Report Pdf.
From www.youtube.com
FM Transmitter and Receiver Group 4 Section 2 ECS YouTube Fm Transmitter And Receiver Project Report Pdf Cannot retrieve latest commit at this time. Transistor bf495 (t2), together with a 10k resistor. The receiver is designed to work with the transmitter. This laboratory manual presents detailed treatments of a variety of angle modulation techniques: It references pdf files for schematics of fm receiver circuits and reports. Fm receiver circuit e xplanation. This document discusses several projects related. Fm Transmitter And Receiver Project Report Pdf.
From www.academia.edu
(PDF) Design and Construction of FM Transmitter and Receiver Final Fm Transmitter And Receiver Project Report Pdf Cannot retrieve latest commit at this time. A portable electronic device called an fm transmitter is made to transform a particular fixed audio output into an fm radio signal that can be picked up by nearby radios. Signal analysis and mixing, am transmission, noise.am receivers , super heterodyne receivers,. This document discusses several projects related to fm receivers: It references. Fm Transmitter And Receiver Project Report Pdf.
From www.youtube.com
FM Radio Receiver Project Report Physics XII CBSE YouTube Fm Transmitter And Receiver Project Report Pdf It references pdf files for schematics of fm receiver circuits and reports. This document discusses several projects related to fm receivers: Here’s a simple fm receiver circuit with minimum components for local fm reception. Cannot retrieve latest commit at this time. The receiver is designed to work with the transmitter. Transistor bf495 (t2), together with a 10k resistor. This research. Fm Transmitter And Receiver Project Report Pdf.
From www.academia.edu
(DOC) FM Receiver Project Report qasim afzal Academia.edu Fm Transmitter And Receiver Project Report Pdf Fm receiver circuit e xplanation. It references pdf files for schematics of fm receiver circuits and reports. A portable electronic device called an fm transmitter is made to transform a particular fixed audio output into an fm radio signal that can be picked up by nearby radios. This document discusses several projects related to fm receivers: This research work highlighted. Fm Transmitter And Receiver Project Report Pdf.
From www.homemade-circuits.com
Stereo FM Transmitter Circuit using IC BA1404 Homemade Circuit Projects Fm Transmitter And Receiver Project Report Pdf It references pdf files for schematics of fm receiver circuits and reports. A portable electronic device called an fm transmitter is made to transform a particular fixed audio output into an fm radio signal that can be picked up by nearby radios. Here’s a simple fm receiver circuit with minimum components for local fm reception. This laboratory manual presents detailed. Fm Transmitter And Receiver Project Report Pdf.
From electronicscheme.net
Four Stage FM Transmitter Circuit Project Electronic Schematic Diagram Fm Transmitter And Receiver Project Report Pdf Signal analysis and mixing, am transmission, noise.am receivers , super heterodyne receivers,. This research work highlighted major components of an fm transmitter consisting of audio unit, modulating unit, amplifier unit,. Here’s a simple fm receiver circuit with minimum components for local fm reception. This document discusses several projects related to fm receivers: It references pdf files for schematics of fm. Fm Transmitter And Receiver Project Report Pdf.
From www.youtube.com
FM Transmitter and Receiver Block Diagram YouTube Fm Transmitter And Receiver Project Report Pdf The receiver is designed to work with the transmitter. A portable electronic device called an fm transmitter is made to transform a particular fixed audio output into an fm radio signal that can be picked up by nearby radios. Here’s a simple fm receiver circuit with minimum components for local fm reception. Fm receiver circuit e xplanation. This laboratory manual. Fm Transmitter And Receiver Project Report Pdf.
From www.instructables.com
How to Make FM Transmitter 5 Steps (with Pictures) Instructables Fm Transmitter And Receiver Project Report Pdf A portable electronic device called an fm transmitter is made to transform a particular fixed audio output into an fm radio signal that can be picked up by nearby radios. This laboratory manual presents detailed treatments of a variety of angle modulation techniques: It references pdf files for schematics of fm receiver circuits and reports. Here’s a simple fm receiver. Fm Transmitter And Receiver Project Report Pdf.
From einvoice.fpt.com.vn
Designing FM Receiver Circuit Complete Circuit Explanation, 44 OFF Fm Transmitter And Receiver Project Report Pdf This laboratory manual presents detailed treatments of a variety of angle modulation techniques: Signal analysis and mixing, am transmission, noise.am receivers , super heterodyne receivers,. This research work highlighted major components of an fm transmitter consisting of audio unit, modulating unit, amplifier unit,. Fm receiver circuit e xplanation. Transistor bf495 (t2), together with a 10k resistor. This document discusses several. Fm Transmitter And Receiver Project Report Pdf.
From davidlavin.com
Fm Transmitter Project Documentation Fm Transmitter And Receiver Project Report Pdf The receiver is designed to work with the transmitter. Signal analysis and mixing, am transmission, noise.am receivers , super heterodyne receivers,. This document discusses several projects related to fm receivers: Cannot retrieve latest commit at this time. This laboratory manual presents detailed treatments of a variety of angle modulation techniques: Here’s a simple fm receiver circuit with minimum components for. Fm Transmitter And Receiver Project Report Pdf.
From www.circuitdiagram.co
fm transmitter and receiver circuit diagram Circuit Diagram Fm Transmitter And Receiver Project Report Pdf The receiver is designed to work with the transmitter. Cannot retrieve latest commit at this time. This laboratory manual presents detailed treatments of a variety of angle modulation techniques: A portable electronic device called an fm transmitter is made to transform a particular fixed audio output into an fm radio signal that can be picked up by nearby radios. Here’s. Fm Transmitter And Receiver Project Report Pdf.
From www.slideserve.com
PPT Block Diagram of FM Transmitter with preemphasis PowerPoint Fm Transmitter And Receiver Project Report Pdf A portable electronic device called an fm transmitter is made to transform a particular fixed audio output into an fm radio signal that can be picked up by nearby radios. Fm receiver circuit e xplanation. The receiver is designed to work with the transmitter. Here’s a simple fm receiver circuit with minimum components for local fm reception. Signal analysis and. Fm Transmitter And Receiver Project Report Pdf.
From www.slideshare.net
Fm transmitter and receivers Fm Transmitter And Receiver Project Report Pdf Signal analysis and mixing, am transmission, noise.am receivers , super heterodyne receivers,. This laboratory manual presents detailed treatments of a variety of angle modulation techniques: It references pdf files for schematics of fm receiver circuits and reports. The receiver is designed to work with the transmitter. This research work highlighted major components of an fm transmitter consisting of audio unit,. Fm Transmitter And Receiver Project Report Pdf.
From circuitdigest.com
Simple DIY FM Receiver Circuit on the Do They Work? Fm Transmitter And Receiver Project Report Pdf Here’s a simple fm receiver circuit with minimum components for local fm reception. This laboratory manual presents detailed treatments of a variety of angle modulation techniques: Cannot retrieve latest commit at this time. Signal analysis and mixing, am transmission, noise.am receivers , super heterodyne receivers,. This research work highlighted major components of an fm transmitter consisting of audio unit, modulating. Fm Transmitter And Receiver Project Report Pdf.
From capalearning.com
How Does An Fm Transmitter Work? Capa Learning Fm Transmitter And Receiver Project Report Pdf Signal analysis and mixing, am transmission, noise.am receivers , super heterodyne receivers,. It references pdf files for schematics of fm receiver circuits and reports. This research work highlighted major components of an fm transmitter consisting of audio unit, modulating unit, amplifier unit,. A portable electronic device called an fm transmitter is made to transform a particular fixed audio output into. Fm Transmitter And Receiver Project Report Pdf.
From enginefixschneider.z19.web.core.windows.net
100 Km Fm Transmitter Circuit Diagram Pdf Fm Transmitter And Receiver Project Report Pdf A portable electronic device called an fm transmitter is made to transform a particular fixed audio output into an fm radio signal that can be picked up by nearby radios. This document discusses several projects related to fm receivers: Cannot retrieve latest commit at this time. This research work highlighted major components of an fm transmitter consisting of audio unit,. Fm Transmitter And Receiver Project Report Pdf.
From www.electronicsforu.com
Make A CrystalLocked FM Transmitter Full Circuit Project Fm Transmitter And Receiver Project Report Pdf The receiver is designed to work with the transmitter. Transistor bf495 (t2), together with a 10k resistor. This laboratory manual presents detailed treatments of a variety of angle modulation techniques: Fm receiver circuit e xplanation. This research work highlighted major components of an fm transmitter consisting of audio unit, modulating unit, amplifier unit,. Cannot retrieve latest commit at this time.. Fm Transmitter And Receiver Project Report Pdf.