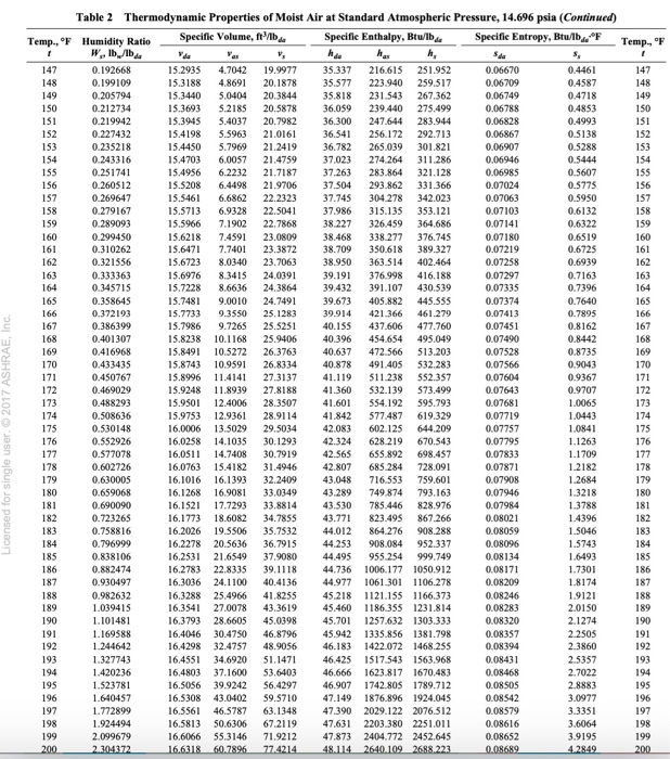
Moist Air Thermodynamic Properties . Table 2 thermodynamic properties of moist air at standard atmospheric pressure, 101.325 kpa temp., °c t humidity ratio, kg(w)/kg(da) w s. We assume that moist air has the following thermodynamic properties. In the thermodynamic process of moist air, the phase change of water vapor in moist air makes the changes on the mass of moist air. The state of a sample of moist air is characterized by its: As such, according to equation (6.1) we. Although a broad range of heat transfer and engineering calculations require the use of thermophysical and transport properties. Density, ρ (or specific volume α.
from www.slideserve.com
Density, ρ (or specific volume α. The state of a sample of moist air is characterized by its: Although a broad range of heat transfer and engineering calculations require the use of thermophysical and transport properties. We assume that moist air has the following thermodynamic properties. Table 2 thermodynamic properties of moist air at standard atmospheric pressure, 101.325 kpa temp., °c t humidity ratio, kg(w)/kg(da) w s. As such, according to equation (6.1) we. In the thermodynamic process of moist air, the phase change of water vapor in moist air makes the changes on the mass of moist air.
PPT Lecture 33 PowerPoint Presentation, free download ID2462869
Moist Air Thermodynamic Properties In the thermodynamic process of moist air, the phase change of water vapor in moist air makes the changes on the mass of moist air. The state of a sample of moist air is characterized by its: Although a broad range of heat transfer and engineering calculations require the use of thermophysical and transport properties. As such, according to equation (6.1) we. Density, ρ (or specific volume α. Table 2 thermodynamic properties of moist air at standard atmospheric pressure, 101.325 kpa temp., °c t humidity ratio, kg(w)/kg(da) w s. In the thermodynamic process of moist air, the phase change of water vapor in moist air makes the changes on the mass of moist air. We assume that moist air has the following thermodynamic properties.
From www.scribd.com
List of Moist Thermodynamic Variables PDF Moist Air Thermodynamic Properties Although a broad range of heat transfer and engineering calculations require the use of thermophysical and transport properties. In the thermodynamic process of moist air, the phase change of water vapor in moist air makes the changes on the mass of moist air. Table 2 thermodynamic properties of moist air at standard atmospheric pressure, 101.325 kpa temp., °c t humidity. Moist Air Thermodynamic Properties.
From www.scribd.com
Determining Moist Air Properties Using Psychrometric Charts and Moist Air Thermodynamic Properties Although a broad range of heat transfer and engineering calculations require the use of thermophysical and transport properties. In the thermodynamic process of moist air, the phase change of water vapor in moist air makes the changes on the mass of moist air. The state of a sample of moist air is characterized by its: We assume that moist air. Moist Air Thermodynamic Properties.
From www.scribd.com
8.1 Psychrometry and Thermodynamic Properties of Moist Air PDF Moist Air Thermodynamic Properties As such, according to equation (6.1) we. Although a broad range of heat transfer and engineering calculations require the use of thermophysical and transport properties. In the thermodynamic process of moist air, the phase change of water vapor in moist air makes the changes on the mass of moist air. The state of a sample of moist air is characterized. Moist Air Thermodynamic Properties.
From www.youtube.com
Moist Air Properties Numerical Solutions (By Equations and Psychometric Moist Air Thermodynamic Properties Table 2 thermodynamic properties of moist air at standard atmospheric pressure, 101.325 kpa temp., °c t humidity ratio, kg(w)/kg(da) w s. As such, according to equation (6.1) we. We assume that moist air has the following thermodynamic properties. Density, ρ (or specific volume α. The state of a sample of moist air is characterized by its: In the thermodynamic process. Moist Air Thermodynamic Properties.
From www.scribd.com
Chapter 7 Thermodynamic Properties of Moist Air PDF Moist Air Thermodynamic Properties The state of a sample of moist air is characterized by its: Density, ρ (or specific volume α. We assume that moist air has the following thermodynamic properties. Although a broad range of heat transfer and engineering calculations require the use of thermophysical and transport properties. Table 2 thermodynamic properties of moist air at standard atmospheric pressure, 101.325 kpa temp.,. Moist Air Thermodynamic Properties.
From www.academia.edu
(PDF) ANALYSIS, FORMULATION AND REPRESENTATION OF THE PSYCHROMETRIC AND Moist Air Thermodynamic Properties In the thermodynamic process of moist air, the phase change of water vapor in moist air makes the changes on the mass of moist air. We assume that moist air has the following thermodynamic properties. The state of a sample of moist air is characterized by its: Density, ρ (or specific volume α. As such, according to equation (6.1) we.. Moist Air Thermodynamic Properties.
From brokeasshome.com
Thermodynamic Properties Of Moist Air Table Moist Air Thermodynamic Properties Although a broad range of heat transfer and engineering calculations require the use of thermophysical and transport properties. In the thermodynamic process of moist air, the phase change of water vapor in moist air makes the changes on the mass of moist air. Table 2 thermodynamic properties of moist air at standard atmospheric pressure, 101.325 kpa temp., °c t humidity. Moist Air Thermodynamic Properties.
From kattufoodtech.com
Psychrometry is the study of thermodynamic properties of Moist Air Moist Air Thermodynamic Properties As such, according to equation (6.1) we. In the thermodynamic process of moist air, the phase change of water vapor in moist air makes the changes on the mass of moist air. We assume that moist air has the following thermodynamic properties. The state of a sample of moist air is characterized by its: Table 2 thermodynamic properties of moist. Moist Air Thermodynamic Properties.
From www.semanticscholar.org
Table 2 from Estimation of Moist Air Thermodynamic Properties using Moist Air Thermodynamic Properties We assume that moist air has the following thermodynamic properties. Although a broad range of heat transfer and engineering calculations require the use of thermophysical and transport properties. The state of a sample of moist air is characterized by its: In the thermodynamic process of moist air, the phase change of water vapor in moist air makes the changes on. Moist Air Thermodynamic Properties.
From www.scribd.com
Mathcad Functions For The Thermodynamic Properties of Moist Air Ammonia Moist Air Thermodynamic Properties Although a broad range of heat transfer and engineering calculations require the use of thermophysical and transport properties. Density, ρ (or specific volume α. The state of a sample of moist air is characterized by its: We assume that moist air has the following thermodynamic properties. Table 2 thermodynamic properties of moist air at standard atmospheric pressure, 101.325 kpa temp.,. Moist Air Thermodynamic Properties.
From vdocuments.mx
Psychrometric chart chart This chart was Moist Air Thermodynamic Properties Although a broad range of heat transfer and engineering calculations require the use of thermophysical and transport properties. Table 2 thermodynamic properties of moist air at standard atmospheric pressure, 101.325 kpa temp., °c t humidity ratio, kg(w)/kg(da) w s. In the thermodynamic process of moist air, the phase change of water vapor in moist air makes the changes on the. Moist Air Thermodynamic Properties.
From www.slideserve.com
PPT Lecture 33 PowerPoint Presentation, free download ID2462869 Moist Air Thermodynamic Properties Although a broad range of heat transfer and engineering calculations require the use of thermophysical and transport properties. Table 2 thermodynamic properties of moist air at standard atmospheric pressure, 101.325 kpa temp., °c t humidity ratio, kg(w)/kg(da) w s. Density, ρ (or specific volume α. We assume that moist air has the following thermodynamic properties. In the thermodynamic process of. Moist Air Thermodynamic Properties.
From www.scribd.com
Solving Psychrometric Problems Determining Thermodynamic Properties of Moist Air Thermodynamic Properties Table 2 thermodynamic properties of moist air at standard atmospheric pressure, 101.325 kpa temp., °c t humidity ratio, kg(w)/kg(da) w s. Density, ρ (or specific volume α. We assume that moist air has the following thermodynamic properties. Although a broad range of heat transfer and engineering calculations require the use of thermophysical and transport properties. In the thermodynamic process of. Moist Air Thermodynamic Properties.
From www.slideserve.com
PPT Lecture 33 PowerPoint Presentation, free download ID2462869 Moist Air Thermodynamic Properties In the thermodynamic process of moist air, the phase change of water vapor in moist air makes the changes on the mass of moist air. Density, ρ (or specific volume α. Table 2 thermodynamic properties of moist air at standard atmospheric pressure, 101.325 kpa temp., °c t humidity ratio, kg(w)/kg(da) w s. Although a broad range of heat transfer and. Moist Air Thermodynamic Properties.
From www.youtube.com
L 17 Properties of Moist Air (Part 1) Applied Thermodynamics Moist Air Thermodynamic Properties Density, ρ (or specific volume α. As such, according to equation (6.1) we. The state of a sample of moist air is characterized by its: Table 2 thermodynamic properties of moist air at standard atmospheric pressure, 101.325 kpa temp., °c t humidity ratio, kg(w)/kg(da) w s. In the thermodynamic process of moist air, the phase change of water vapor in. Moist Air Thermodynamic Properties.
From www.slideserve.com
PPT Lecture 33 PowerPoint Presentation, free download ID2462869 Moist Air Thermodynamic Properties We assume that moist air has the following thermodynamic properties. In the thermodynamic process of moist air, the phase change of water vapor in moist air makes the changes on the mass of moist air. As such, according to equation (6.1) we. Density, ρ (or specific volume α. Although a broad range of heat transfer and engineering calculations require the. Moist Air Thermodynamic Properties.
From www.yumpu.com
Chapter 3 Moist Air Properties and Conditioning Processes Moist Air Thermodynamic Properties Although a broad range of heat transfer and engineering calculations require the use of thermophysical and transport properties. Table 2 thermodynamic properties of moist air at standard atmospheric pressure, 101.325 kpa temp., °c t humidity ratio, kg(w)/kg(da) w s. We assume that moist air has the following thermodynamic properties. In the thermodynamic process of moist air, the phase change of. Moist Air Thermodynamic Properties.
From elchoroukhost.net
Thermodynamic Tables For Air Elcho Table Moist Air Thermodynamic Properties Although a broad range of heat transfer and engineering calculations require the use of thermophysical and transport properties. We assume that moist air has the following thermodynamic properties. As such, according to equation (6.1) we. In the thermodynamic process of moist air, the phase change of water vapor in moist air makes the changes on the mass of moist air.. Moist Air Thermodynamic Properties.
From www.chegg.com
Solved Thermodynamic Properties of Moist Air at Standard Moist Air Thermodynamic Properties We assume that moist air has the following thermodynamic properties. Density, ρ (or specific volume α. Table 2 thermodynamic properties of moist air at standard atmospheric pressure, 101.325 kpa temp., °c t humidity ratio, kg(w)/kg(da) w s. In the thermodynamic process of moist air, the phase change of water vapor in moist air makes the changes on the mass of. Moist Air Thermodynamic Properties.
From www.slideserve.com
PPT Lecture 33 PowerPoint Presentation, free download ID2462869 Moist Air Thermodynamic Properties Although a broad range of heat transfer and engineering calculations require the use of thermophysical and transport properties. Density, ρ (or specific volume α. In the thermodynamic process of moist air, the phase change of water vapor in moist air makes the changes on the mass of moist air. We assume that moist air has the following thermodynamic properties. Table. Moist Air Thermodynamic Properties.
From www.chegg.com
The air that exits the cooling duct enters a heating Moist Air Thermodynamic Properties We assume that moist air has the following thermodynamic properties. Table 2 thermodynamic properties of moist air at standard atmospheric pressure, 101.325 kpa temp., °c t humidity ratio, kg(w)/kg(da) w s. The state of a sample of moist air is characterized by its: In the thermodynamic process of moist air, the phase change of water vapor in moist air makes. Moist Air Thermodynamic Properties.
From www.scribd.com
Thermodynamic Properties of Real Moist Air, Dry Air, Steam, Water, and Moist Air Thermodynamic Properties Table 2 thermodynamic properties of moist air at standard atmospheric pressure, 101.325 kpa temp., °c t humidity ratio, kg(w)/kg(da) w s. In the thermodynamic process of moist air, the phase change of water vapor in moist air makes the changes on the mass of moist air. We assume that moist air has the following thermodynamic properties. Density, ρ (or specific. Moist Air Thermodynamic Properties.
From elchoroukhost.net
Thermodynamic Property Tables For Air Elcho Table Moist Air Thermodynamic Properties We assume that moist air has the following thermodynamic properties. In the thermodynamic process of moist air, the phase change of water vapor in moist air makes the changes on the mass of moist air. As such, according to equation (6.1) we. Table 2 thermodynamic properties of moist air at standard atmospheric pressure, 101.325 kpa temp., °c t humidity ratio,. Moist Air Thermodynamic Properties.
From scite.ai
Thermodynamic Properties of Real Moist Air, Dry Air, Steam, Water, and Moist Air Thermodynamic Properties The state of a sample of moist air is characterized by its: In the thermodynamic process of moist air, the phase change of water vapor in moist air makes the changes on the mass of moist air. Although a broad range of heat transfer and engineering calculations require the use of thermophysical and transport properties. We assume that moist air. Moist Air Thermodynamic Properties.
From www.slideserve.com
PPT Moist adiabatic processes on a thermodynamic chart. PowerPoint Moist Air Thermodynamic Properties Density, ρ (or specific volume α. Table 2 thermodynamic properties of moist air at standard atmospheric pressure, 101.325 kpa temp., °c t humidity ratio, kg(w)/kg(da) w s. We assume that moist air has the following thermodynamic properties. As such, according to equation (6.1) we. The state of a sample of moist air is characterized by its: Although a broad range. Moist Air Thermodynamic Properties.
From www.slideserve.com
PPT Lecture 33 PowerPoint Presentation, free download ID2462869 Moist Air Thermodynamic Properties As such, according to equation (6.1) we. In the thermodynamic process of moist air, the phase change of water vapor in moist air makes the changes on the mass of moist air. Although a broad range of heat transfer and engineering calculations require the use of thermophysical and transport properties. Table 2 thermodynamic properties of moist air at standard atmospheric. Moist Air Thermodynamic Properties.
From www.numerade.com
SOLVED The science of the study of the thermodynamic properties of a Moist Air Thermodynamic Properties As such, according to equation (6.1) we. Table 2 thermodynamic properties of moist air at standard atmospheric pressure, 101.325 kpa temp., °c t humidity ratio, kg(w)/kg(da) w s. Although a broad range of heat transfer and engineering calculations require the use of thermophysical and transport properties. In the thermodynamic process of moist air, the phase change of water vapor in. Moist Air Thermodynamic Properties.
From www.researchgate.net
Viscosity of moist air relative humidity between 0 and 100. Download Moist Air Thermodynamic Properties As such, according to equation (6.1) we. In the thermodynamic process of moist air, the phase change of water vapor in moist air makes the changes on the mass of moist air. We assume that moist air has the following thermodynamic properties. The state of a sample of moist air is characterized by its: Table 2 thermodynamic properties of moist. Moist Air Thermodynamic Properties.
From www.chegg.com
Solved Thermodynamic Properties of Moist Air at Standard Moist Air Thermodynamic Properties We assume that moist air has the following thermodynamic properties. Table 2 thermodynamic properties of moist air at standard atmospheric pressure, 101.325 kpa temp., °c t humidity ratio, kg(w)/kg(da) w s. The state of a sample of moist air is characterized by its: Although a broad range of heat transfer and engineering calculations require the use of thermophysical and transport. Moist Air Thermodynamic Properties.
From www.scribd.com
Introduction to Psychrometry Understanding Moist Air Properties and Moist Air Thermodynamic Properties As such, according to equation (6.1) we. We assume that moist air has the following thermodynamic properties. Although a broad range of heat transfer and engineering calculations require the use of thermophysical and transport properties. In the thermodynamic process of moist air, the phase change of water vapor in moist air makes the changes on the mass of moist air.. Moist Air Thermodynamic Properties.
From elchoroukhost.net
Thermodynamic Property Tables For Air Elcho Table Moist Air Thermodynamic Properties We assume that moist air has the following thermodynamic properties. In the thermodynamic process of moist air, the phase change of water vapor in moist air makes the changes on the mass of moist air. Table 2 thermodynamic properties of moist air at standard atmospheric pressure, 101.325 kpa temp., °c t humidity ratio, kg(w)/kg(da) w s. The state of a. Moist Air Thermodynamic Properties.
From www.semanticscholar.org
Figure 2 from Estimation of Moist Air Thermodynamic Properties using Moist Air Thermodynamic Properties Density, ρ (or specific volume α. Although a broad range of heat transfer and engineering calculations require the use of thermophysical and transport properties. As such, according to equation (6.1) we. The state of a sample of moist air is characterized by its: In the thermodynamic process of moist air, the phase change of water vapor in moist air makes. Moist Air Thermodynamic Properties.
From www.scribd.com
Thermodynamic Properties of Moist Air From Perry's Chemical Engineers Moist Air Thermodynamic Properties Although a broad range of heat transfer and engineering calculations require the use of thermophysical and transport properties. Density, ρ (or specific volume α. As such, according to equation (6.1) we. We assume that moist air has the following thermodynamic properties. Table 2 thermodynamic properties of moist air at standard atmospheric pressure, 101.325 kpa temp., °c t humidity ratio, kg(w)/kg(da). Moist Air Thermodynamic Properties.
From brokeasshome.com
Thermodynamic Properties Of Moist Air Table Moist Air Thermodynamic Properties As such, according to equation (6.1) we. In the thermodynamic process of moist air, the phase change of water vapor in moist air makes the changes on the mass of moist air. The state of a sample of moist air is characterized by its: Density, ρ (or specific volume α. We assume that moist air has the following thermodynamic properties.. Moist Air Thermodynamic Properties.
From www.slideserve.com
PPT Engineering F undamentals:part I Related to moist air and water Moist Air Thermodynamic Properties The state of a sample of moist air is characterized by its: We assume that moist air has the following thermodynamic properties. In the thermodynamic process of moist air, the phase change of water vapor in moist air makes the changes on the mass of moist air. Although a broad range of heat transfer and engineering calculations require the use. Moist Air Thermodynamic Properties.