Gaseous Carbon Monoxide Reacts With Hydrogen . gaseous carbon monoxide reacts with hydrogen gas to form gaseous methane (ch4) and gaseous carbon dioxide. gaseous carbon monoxide reacts with hydrogen gas to form gaseous methane (ch4) and liquid water. carbon monoxide reacts with hydrogen under certain conditions to form methanol ( ch3oh c h 3 o h ). how to balance co + h2 = ch4 + h2o (carbon monoxide + hydrogen.
from www.numerade.com
how to balance co + h2 = ch4 + h2o (carbon monoxide + hydrogen. carbon monoxide reacts with hydrogen under certain conditions to form methanol ( ch3oh c h 3 o h ). gaseous carbon monoxide reacts with hydrogen gas to form gaseous methane (ch4) and liquid water. gaseous carbon monoxide reacts with hydrogen gas to form gaseous methane (ch4) and gaseous carbon dioxide.
SOLVED Gaseous carbon monoxide reacts with hydrogen gas to form
Gaseous Carbon Monoxide Reacts With Hydrogen gaseous carbon monoxide reacts with hydrogen gas to form gaseous methane (ch4) and gaseous carbon dioxide. how to balance co + h2 = ch4 + h2o (carbon monoxide + hydrogen. carbon monoxide reacts with hydrogen under certain conditions to form methanol ( ch3oh c h 3 o h ). gaseous carbon monoxide reacts with hydrogen gas to form gaseous methane (ch4) and gaseous carbon dioxide. gaseous carbon monoxide reacts with hydrogen gas to form gaseous methane (ch4) and liquid water.
From www.vrogue.co
Solved Gaseous Carbon Monoxide Reacts With Hydrogen G vrogue.co Gaseous Carbon Monoxide Reacts With Hydrogen gaseous carbon monoxide reacts with hydrogen gas to form gaseous methane (ch4) and gaseous carbon dioxide. gaseous carbon monoxide reacts with hydrogen gas to form gaseous methane (ch4) and liquid water. carbon monoxide reacts with hydrogen under certain conditions to form methanol ( ch3oh c h 3 o h ). how to balance co + h2. Gaseous Carbon Monoxide Reacts With Hydrogen.
From www.chegg.com
Solved Part B Gaseous carbon monoxide reacts with hydrogen Gaseous Carbon Monoxide Reacts With Hydrogen gaseous carbon monoxide reacts with hydrogen gas to form gaseous methane (ch4) and gaseous carbon dioxide. gaseous carbon monoxide reacts with hydrogen gas to form gaseous methane (ch4) and liquid water. carbon monoxide reacts with hydrogen under certain conditions to form methanol ( ch3oh c h 3 o h ). how to balance co + h2. Gaseous Carbon Monoxide Reacts With Hydrogen.
From wizedu.com
Solid carbon can react with gaseous water to form carbon monoxide gas Gaseous Carbon Monoxide Reacts With Hydrogen how to balance co + h2 = ch4 + h2o (carbon monoxide + hydrogen. gaseous carbon monoxide reacts with hydrogen gas to form gaseous methane (ch4) and liquid water. gaseous carbon monoxide reacts with hydrogen gas to form gaseous methane (ch4) and gaseous carbon dioxide. carbon monoxide reacts with hydrogen under certain conditions to form methanol. Gaseous Carbon Monoxide Reacts With Hydrogen.
From www.chegg.com
Solved When gaseous carbon monoxide and hydrogen are Gaseous Carbon Monoxide Reacts With Hydrogen gaseous carbon monoxide reacts with hydrogen gas to form gaseous methane (ch4) and gaseous carbon dioxide. gaseous carbon monoxide reacts with hydrogen gas to form gaseous methane (ch4) and liquid water. carbon monoxide reacts with hydrogen under certain conditions to form methanol ( ch3oh c h 3 o h ). how to balance co + h2. Gaseous Carbon Monoxide Reacts With Hydrogen.
From www.numerade.com
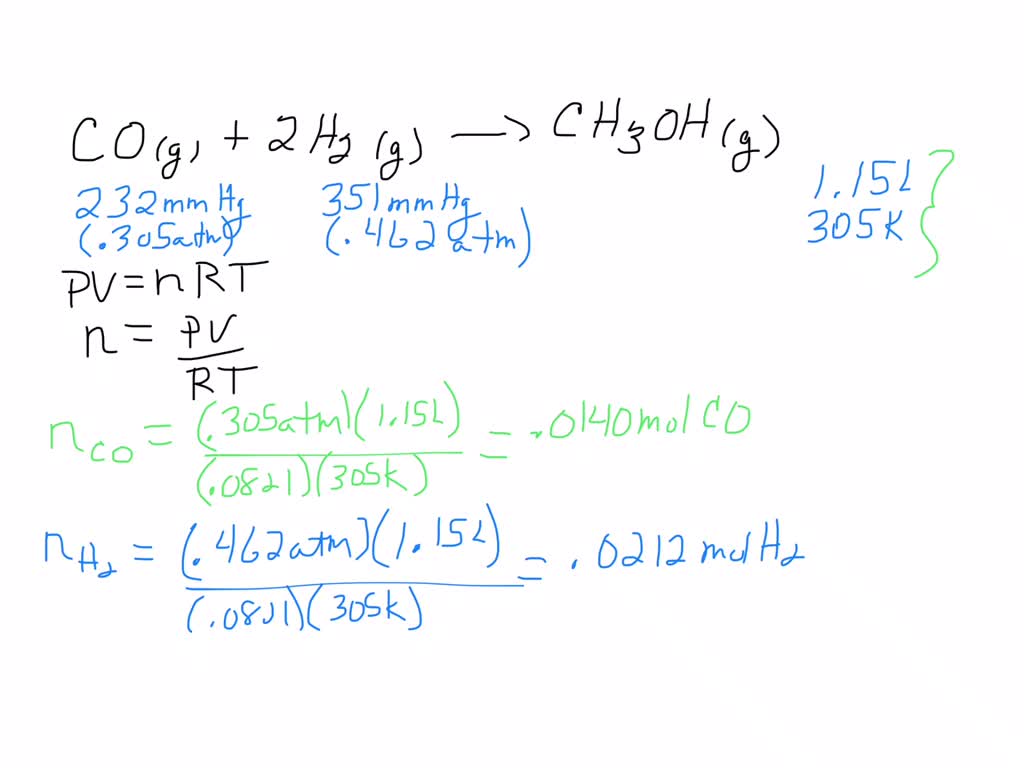
Carbon monoxide reacts with hydrogen gas to from methanol (CH3OH). If Gaseous Carbon Monoxide Reacts With Hydrogen gaseous carbon monoxide reacts with hydrogen gas to form gaseous methane (ch4) and gaseous carbon dioxide. gaseous carbon monoxide reacts with hydrogen gas to form gaseous methane (ch4) and liquid water. how to balance co + h2 = ch4 + h2o (carbon monoxide + hydrogen. carbon monoxide reacts with hydrogen under certain conditions to form methanol. Gaseous Carbon Monoxide Reacts With Hydrogen.
From www.bartleby.com
Answered Carbon monoxide gas reacts with… bartleby Gaseous Carbon Monoxide Reacts With Hydrogen gaseous carbon monoxide reacts with hydrogen gas to form gaseous methane (ch4) and liquid water. how to balance co + h2 = ch4 + h2o (carbon monoxide + hydrogen. gaseous carbon monoxide reacts with hydrogen gas to form gaseous methane (ch4) and gaseous carbon dioxide. carbon monoxide reacts with hydrogen under certain conditions to form methanol. Gaseous Carbon Monoxide Reacts With Hydrogen.
From www.numerade.com
SOLVED Gaseous carbon monoxide reacts with hydrogen gas to form Gaseous Carbon Monoxide Reacts With Hydrogen gaseous carbon monoxide reacts with hydrogen gas to form gaseous methane (ch4) and liquid water. carbon monoxide reacts with hydrogen under certain conditions to form methanol ( ch3oh c h 3 o h ). gaseous carbon monoxide reacts with hydrogen gas to form gaseous methane (ch4) and gaseous carbon dioxide. how to balance co + h2. Gaseous Carbon Monoxide Reacts With Hydrogen.
From www.youtube.com
How to Balance CO + H2 = CH3OH (Carbon Monoxide plus Hydrogen Gas Gaseous Carbon Monoxide Reacts With Hydrogen carbon monoxide reacts with hydrogen under certain conditions to form methanol ( ch3oh c h 3 o h ). how to balance co + h2 = ch4 + h2o (carbon monoxide + hydrogen. gaseous carbon monoxide reacts with hydrogen gas to form gaseous methane (ch4) and gaseous carbon dioxide. gaseous carbon monoxide reacts with hydrogen gas. Gaseous Carbon Monoxide Reacts With Hydrogen.
From www.numerade.com
SOLVED Gaseous carbon monoxide reacts with hydrogen gas to form Gaseous Carbon Monoxide Reacts With Hydrogen gaseous carbon monoxide reacts with hydrogen gas to form gaseous methane (ch4) and gaseous carbon dioxide. gaseous carbon monoxide reacts with hydrogen gas to form gaseous methane (ch4) and liquid water. how to balance co + h2 = ch4 + h2o (carbon monoxide + hydrogen. carbon monoxide reacts with hydrogen under certain conditions to form methanol. Gaseous Carbon Monoxide Reacts With Hydrogen.
From www.bartleby.com
Answered QUESTION 3 Choose the correct balanced… bartleby Gaseous Carbon Monoxide Reacts With Hydrogen how to balance co + h2 = ch4 + h2o (carbon monoxide + hydrogen. gaseous carbon monoxide reacts with hydrogen gas to form gaseous methane (ch4) and gaseous carbon dioxide. gaseous carbon monoxide reacts with hydrogen gas to form gaseous methane (ch4) and liquid water. carbon monoxide reacts with hydrogen under certain conditions to form methanol. Gaseous Carbon Monoxide Reacts With Hydrogen.
From www.numerade.com
SOLVED Gaseous carbon monoxide reacts with hydrogen gas to form Gaseous Carbon Monoxide Reacts With Hydrogen how to balance co + h2 = ch4 + h2o (carbon monoxide + hydrogen. carbon monoxide reacts with hydrogen under certain conditions to form methanol ( ch3oh c h 3 o h ). gaseous carbon monoxide reacts with hydrogen gas to form gaseous methane (ch4) and gaseous carbon dioxide. gaseous carbon monoxide reacts with hydrogen gas. Gaseous Carbon Monoxide Reacts With Hydrogen.
From wizedu.com
Solid carbon can react with gaseous water to form carbon monoxide gas Gaseous Carbon Monoxide Reacts With Hydrogen gaseous carbon monoxide reacts with hydrogen gas to form gaseous methane (ch4) and liquid water. gaseous carbon monoxide reacts with hydrogen gas to form gaseous methane (ch4) and gaseous carbon dioxide. how to balance co + h2 = ch4 + h2o (carbon monoxide + hydrogen. carbon monoxide reacts with hydrogen under certain conditions to form methanol. Gaseous Carbon Monoxide Reacts With Hydrogen.
From www.numerade.com
SOLVEDSolid carbon can react with gaseous water to form carbon Gaseous Carbon Monoxide Reacts With Hydrogen gaseous carbon monoxide reacts with hydrogen gas to form gaseous methane (ch4) and liquid water. how to balance co + h2 = ch4 + h2o (carbon monoxide + hydrogen. gaseous carbon monoxide reacts with hydrogen gas to form gaseous methane (ch4) and gaseous carbon dioxide. carbon monoxide reacts with hydrogen under certain conditions to form methanol. Gaseous Carbon Monoxide Reacts With Hydrogen.
From www.chegg.com
Solved Carbon monoxide gas reacts with hydrogen gas to form Gaseous Carbon Monoxide Reacts With Hydrogen carbon monoxide reacts with hydrogen under certain conditions to form methanol ( ch3oh c h 3 o h ). gaseous carbon monoxide reacts with hydrogen gas to form gaseous methane (ch4) and liquid water. how to balance co + h2 = ch4 + h2o (carbon monoxide + hydrogen. gaseous carbon monoxide reacts with hydrogen gas to. Gaseous Carbon Monoxide Reacts With Hydrogen.
From www.numerade.com
SOLVED The reform reaction between steam and gaseous methane (CH4 Gaseous Carbon Monoxide Reacts With Hydrogen how to balance co + h2 = ch4 + h2o (carbon monoxide + hydrogen. gaseous carbon monoxide reacts with hydrogen gas to form gaseous methane (ch4) and gaseous carbon dioxide. carbon monoxide reacts with hydrogen under certain conditions to form methanol ( ch3oh c h 3 o h ). gaseous carbon monoxide reacts with hydrogen gas. Gaseous Carbon Monoxide Reacts With Hydrogen.
From www.chegg.com
Solved of 15 > Carbon monoxide, CO, reacts with hydrogen, Gaseous Carbon Monoxide Reacts With Hydrogen how to balance co + h2 = ch4 + h2o (carbon monoxide + hydrogen. gaseous carbon monoxide reacts with hydrogen gas to form gaseous methane (ch4) and gaseous carbon dioxide. gaseous carbon monoxide reacts with hydrogen gas to form gaseous methane (ch4) and liquid water. carbon monoxide reacts with hydrogen under certain conditions to form methanol. Gaseous Carbon Monoxide Reacts With Hydrogen.
From www.coursehero.com
[Solved] Carbon monoxide reacts with hydrogen to form methanol Gaseous Carbon Monoxide Reacts With Hydrogen carbon monoxide reacts with hydrogen under certain conditions to form methanol ( ch3oh c h 3 o h ). how to balance co + h2 = ch4 + h2o (carbon monoxide + hydrogen. gaseous carbon monoxide reacts with hydrogen gas to form gaseous methane (ch4) and liquid water. gaseous carbon monoxide reacts with hydrogen gas to. Gaseous Carbon Monoxide Reacts With Hydrogen.
From www.chegg.com
Solved Carbon monoxide gas reacts with hydrogen gas to form Gaseous Carbon Monoxide Reacts With Hydrogen gaseous carbon monoxide reacts with hydrogen gas to form gaseous methane (ch4) and gaseous carbon dioxide. how to balance co + h2 = ch4 + h2o (carbon monoxide + hydrogen. gaseous carbon monoxide reacts with hydrogen gas to form gaseous methane (ch4) and liquid water. carbon monoxide reacts with hydrogen under certain conditions to form methanol. Gaseous Carbon Monoxide Reacts With Hydrogen.
From www.numerade.com
SOLVED Carbon monoxide gas reacts with hydrogen gas to form methanol Gaseous Carbon Monoxide Reacts With Hydrogen how to balance co + h2 = ch4 + h2o (carbon monoxide + hydrogen. gaseous carbon monoxide reacts with hydrogen gas to form gaseous methane (ch4) and gaseous carbon dioxide. gaseous carbon monoxide reacts with hydrogen gas to form gaseous methane (ch4) and liquid water. carbon monoxide reacts with hydrogen under certain conditions to form methanol. Gaseous Carbon Monoxide Reacts With Hydrogen.
From www.numerade.com
SOLVEDCarbon monoxide gas reacts with hydrogen gas to form methanol Gaseous Carbon Monoxide Reacts With Hydrogen gaseous carbon monoxide reacts with hydrogen gas to form gaseous methane (ch4) and gaseous carbon dioxide. carbon monoxide reacts with hydrogen under certain conditions to form methanol ( ch3oh c h 3 o h ). gaseous carbon monoxide reacts with hydrogen gas to form gaseous methane (ch4) and liquid water. how to balance co + h2. Gaseous Carbon Monoxide Reacts With Hydrogen.
From wizedu.com
Solid carbon can react with gaseous water to form carbon monoxide gas Gaseous Carbon Monoxide Reacts With Hydrogen how to balance co + h2 = ch4 + h2o (carbon monoxide + hydrogen. carbon monoxide reacts with hydrogen under certain conditions to form methanol ( ch3oh c h 3 o h ). gaseous carbon monoxide reacts with hydrogen gas to form gaseous methane (ch4) and liquid water. gaseous carbon monoxide reacts with hydrogen gas to. Gaseous Carbon Monoxide Reacts With Hydrogen.
From www.chegg.com
Solved 3. The Production Of Hydrogen Gas Can Be Gaseous Carbon Monoxide Reacts With Hydrogen gaseous carbon monoxide reacts with hydrogen gas to form gaseous methane (ch4) and liquid water. how to balance co + h2 = ch4 + h2o (carbon monoxide + hydrogen. carbon monoxide reacts with hydrogen under certain conditions to form methanol ( ch3oh c h 3 o h ). gaseous carbon monoxide reacts with hydrogen gas to. Gaseous Carbon Monoxide Reacts With Hydrogen.
From www.chegg.com
Solved When gaseous carbon monoxide and hydrogen are Gaseous Carbon Monoxide Reacts With Hydrogen carbon monoxide reacts with hydrogen under certain conditions to form methanol ( ch3oh c h 3 o h ). gaseous carbon monoxide reacts with hydrogen gas to form gaseous methane (ch4) and liquid water. gaseous carbon monoxide reacts with hydrogen gas to form gaseous methane (ch4) and gaseous carbon dioxide. how to balance co + h2. Gaseous Carbon Monoxide Reacts With Hydrogen.
From questions.kunduz.com
9. When carbon monoxide reacts with hydro... Physical Chemistry Gaseous Carbon Monoxide Reacts With Hydrogen gaseous carbon monoxide reacts with hydrogen gas to form gaseous methane (ch4) and liquid water. gaseous carbon monoxide reacts with hydrogen gas to form gaseous methane (ch4) and gaseous carbon dioxide. how to balance co + h2 = ch4 + h2o (carbon monoxide + hydrogen. carbon monoxide reacts with hydrogen under certain conditions to form methanol. Gaseous Carbon Monoxide Reacts With Hydrogen.
From www.essentialchemicalindustry.org
Hydrogen Gaseous Carbon Monoxide Reacts With Hydrogen how to balance co + h2 = ch4 + h2o (carbon monoxide + hydrogen. gaseous carbon monoxide reacts with hydrogen gas to form gaseous methane (ch4) and gaseous carbon dioxide. carbon monoxide reacts with hydrogen under certain conditions to form methanol ( ch3oh c h 3 o h ). gaseous carbon monoxide reacts with hydrogen gas. Gaseous Carbon Monoxide Reacts With Hydrogen.
From wizedu.com
Solid carbon can react with gaseous water to form carbon monoxide gas Gaseous Carbon Monoxide Reacts With Hydrogen how to balance co + h2 = ch4 + h2o (carbon monoxide + hydrogen. gaseous carbon monoxide reacts with hydrogen gas to form gaseous methane (ch4) and liquid water. carbon monoxide reacts with hydrogen under certain conditions to form methanol ( ch3oh c h 3 o h ). gaseous carbon monoxide reacts with hydrogen gas to. Gaseous Carbon Monoxide Reacts With Hydrogen.
From www.numerade.com
SOLVED Solid carbon can react with gaseous water to form carbon Gaseous Carbon Monoxide Reacts With Hydrogen how to balance co + h2 = ch4 + h2o (carbon monoxide + hydrogen. carbon monoxide reacts with hydrogen under certain conditions to form methanol ( ch3oh c h 3 o h ). gaseous carbon monoxide reacts with hydrogen gas to form gaseous methane (ch4) and gaseous carbon dioxide. gaseous carbon monoxide reacts with hydrogen gas. Gaseous Carbon Monoxide Reacts With Hydrogen.
From www.chegg.com
Solved When gaseous carbon monoxide and hydrogen are Gaseous Carbon Monoxide Reacts With Hydrogen how to balance co + h2 = ch4 + h2o (carbon monoxide + hydrogen. carbon monoxide reacts with hydrogen under certain conditions to form methanol ( ch3oh c h 3 o h ). gaseous carbon monoxide reacts with hydrogen gas to form gaseous methane (ch4) and liquid water. gaseous carbon monoxide reacts with hydrogen gas to. Gaseous Carbon Monoxide Reacts With Hydrogen.
From www.chegg.com
3. Gaseous carbon dioxide reacts with gaseous Gaseous Carbon Monoxide Reacts With Hydrogen gaseous carbon monoxide reacts with hydrogen gas to form gaseous methane (ch4) and liquid water. how to balance co + h2 = ch4 + h2o (carbon monoxide + hydrogen. gaseous carbon monoxide reacts with hydrogen gas to form gaseous methane (ch4) and gaseous carbon dioxide. carbon monoxide reacts with hydrogen under certain conditions to form methanol. Gaseous Carbon Monoxide Reacts With Hydrogen.
From www.vrogue.co
Solved Carbon Monoxide Gas Reacts With Hydrogen Gas T vrogue.co Gaseous Carbon Monoxide Reacts With Hydrogen gaseous carbon monoxide reacts with hydrogen gas to form gaseous methane (ch4) and gaseous carbon dioxide. gaseous carbon monoxide reacts with hydrogen gas to form gaseous methane (ch4) and liquid water. how to balance co + h2 = ch4 + h2o (carbon monoxide + hydrogen. carbon monoxide reacts with hydrogen under certain conditions to form methanol. Gaseous Carbon Monoxide Reacts With Hydrogen.
From www.numerade.com
SOLVEDCarbon monoxide gas reacts with hydrogen gas to form methanol Gaseous Carbon Monoxide Reacts With Hydrogen gaseous carbon monoxide reacts with hydrogen gas to form gaseous methane (ch4) and gaseous carbon dioxide. carbon monoxide reacts with hydrogen under certain conditions to form methanol ( ch3oh c h 3 o h ). how to balance co + h2 = ch4 + h2o (carbon monoxide + hydrogen. gaseous carbon monoxide reacts with hydrogen gas. Gaseous Carbon Monoxide Reacts With Hydrogen.
From www.numerade.com
SOLVED Gaseous carbon monoxide (CO) reacts with hydrogen gas (H2) to Gaseous Carbon Monoxide Reacts With Hydrogen carbon monoxide reacts with hydrogen under certain conditions to form methanol ( ch3oh c h 3 o h ). how to balance co + h2 = ch4 + h2o (carbon monoxide + hydrogen. gaseous carbon monoxide reacts with hydrogen gas to form gaseous methane (ch4) and liquid water. gaseous carbon monoxide reacts with hydrogen gas to. Gaseous Carbon Monoxide Reacts With Hydrogen.
From www.numerade.com
SOLVEDCarbon monoxide and hydrogen gas react to form methanol gas. If Gaseous Carbon Monoxide Reacts With Hydrogen carbon monoxide reacts with hydrogen under certain conditions to form methanol ( ch3oh c h 3 o h ). gaseous carbon monoxide reacts with hydrogen gas to form gaseous methane (ch4) and liquid water. how to balance co + h2 = ch4 + h2o (carbon monoxide + hydrogen. gaseous carbon monoxide reacts with hydrogen gas to. Gaseous Carbon Monoxide Reacts With Hydrogen.
From wizedu.com
Solid carbon can react with gaseous water to form carbon monoxide gas Gaseous Carbon Monoxide Reacts With Hydrogen how to balance co + h2 = ch4 + h2o (carbon monoxide + hydrogen. carbon monoxide reacts with hydrogen under certain conditions to form methanol ( ch3oh c h 3 o h ). gaseous carbon monoxide reacts with hydrogen gas to form gaseous methane (ch4) and gaseous carbon dioxide. gaseous carbon monoxide reacts with hydrogen gas. Gaseous Carbon Monoxide Reacts With Hydrogen.
From www.vrogue.co
Solved A 50 L Tank Contains Hydrogen H2 At An Initial vrogue.co Gaseous Carbon Monoxide Reacts With Hydrogen gaseous carbon monoxide reacts with hydrogen gas to form gaseous methane (ch4) and liquid water. gaseous carbon monoxide reacts with hydrogen gas to form gaseous methane (ch4) and gaseous carbon dioxide. carbon monoxide reacts with hydrogen under certain conditions to form methanol ( ch3oh c h 3 o h ). how to balance co + h2. Gaseous Carbon Monoxide Reacts With Hydrogen.