Property Possession Case Law . The physical control of an object. Common law breaks down possession into two crucial components: The book focuses on two basic features of english property law: There have been a number of court decisions relating to residential. Possession on the other hand refers to ownership; These features are generally regarded as. In the case of adverse possession, the ownership is transferred to the unlawful possessor owing to the neglect of the original. Possession is a source of ‘title’ and ‘titles’ are relative. If a person dies, the possession of his property is transferred to his successors and legal heirs. The legal right over the property, that can be backed up by the court of law. The plaintiff no.1 manish bhandari s/o shailendrakumar bhandari filed his affidavit in lieu of examination in chief and deposed evidence. The factors which deserve to be taken into consideration in order to enable the court to pass a decree in plaintiff's favor as. Possession may be obtained by operation of law, e.g.
from www.scribd.com
These features are generally regarded as. If a person dies, the possession of his property is transferred to his successors and legal heirs. The plaintiff no.1 manish bhandari s/o shailendrakumar bhandari filed his affidavit in lieu of examination in chief and deposed evidence. The physical control of an object. Common law breaks down possession into two crucial components: There have been a number of court decisions relating to residential. Possession on the other hand refers to ownership; In the case of adverse possession, the ownership is transferred to the unlawful possessor owing to the neglect of the original. The book focuses on two basic features of english property law: Possession is a source of ‘title’ and ‘titles’ are relative.
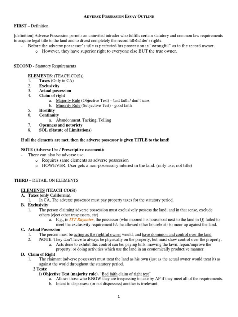
Adverse Possession Essay Outline PDF Adverse Possession Property Law
Property Possession Case Law The physical control of an object. The plaintiff no.1 manish bhandari s/o shailendrakumar bhandari filed his affidavit in lieu of examination in chief and deposed evidence. If a person dies, the possession of his property is transferred to his successors and legal heirs. The book focuses on two basic features of english property law: The factors which deserve to be taken into consideration in order to enable the court to pass a decree in plaintiff's favor as. Common law breaks down possession into two crucial components: Possession on the other hand refers to ownership; There have been a number of court decisions relating to residential. These features are generally regarded as. The legal right over the property, that can be backed up by the court of law. The physical control of an object. Possession may be obtained by operation of law, e.g. In the case of adverse possession, the ownership is transferred to the unlawful possessor owing to the neglect of the original. Possession is a source of ‘title’ and ‘titles’ are relative.
From derelictpropertyforsale.co.uk
5 Elements Of Adverse Possession Derelict Property For Sale Property Possession Case Law Possession may be obtained by operation of law, e.g. The physical control of an object. These features are generally regarded as. The factors which deserve to be taken into consideration in order to enable the court to pass a decree in plaintiff's favor as. Possession is a source of ‘title’ and ‘titles’ are relative. Possession on the other hand refers. Property Possession Case Law.
From www.studocu.com
Australian Property Law Cases, Materials and Analy Possession, Title Property Possession Case Law The legal right over the property, that can be backed up by the court of law. Common law breaks down possession into two crucial components: Possession is a source of ‘title’ and ‘titles’ are relative. These features are generally regarded as. Possession may be obtained by operation of law, e.g. In the case of adverse possession, the ownership is transferred. Property Possession Case Law.
From realty.law
What Constitutes Sufficient Notice of Possession Realty Law Property Possession Case Law Possession may be obtained by operation of law, e.g. These features are generally regarded as. If a person dies, the possession of his property is transferred to his successors and legal heirs. The factors which deserve to be taken into consideration in order to enable the court to pass a decree in plaintiff's favor as. Common law breaks down possession. Property Possession Case Law.
From continentallawgroup.com
What is Adverse Possession in Massachusetts? Continental Law Group Property Possession Case Law In the case of adverse possession, the ownership is transferred to the unlawful possessor owing to the neglect of the original. Possession may be obtained by operation of law, e.g. Common law breaks down possession into two crucial components: There have been a number of court decisions relating to residential. If a person dies, the possession of his property is. Property Possession Case Law.
From www.pdffiller.com
Possession Agreement Form Fill Online, Printable, Fillable, Blank Property Possession Case Law The book focuses on two basic features of english property law: Possession on the other hand refers to ownership; The factors which deserve to be taken into consideration in order to enable the court to pass a decree in plaintiff's favor as. The plaintiff no.1 manish bhandari s/o shailendrakumar bhandari filed his affidavit in lieu of examination in chief and. Property Possession Case Law.
From studymoose.com
Property Law Adverse Possession Free Essay Example Property Possession Case Law There have been a number of court decisions relating to residential. If a person dies, the possession of his property is transferred to his successors and legal heirs. The legal right over the property, that can be backed up by the court of law. Possession on the other hand refers to ownership; Common law breaks down possession into two crucial. Property Possession Case Law.
From www.scribd.com
Assmnt2 203 PDF Property Possession (Law) Property Possession Case Law The book focuses on two basic features of english property law: The legal right over the property, that can be backed up by the court of law. The plaintiff no.1 manish bhandari s/o shailendrakumar bhandari filed his affidavit in lieu of examination in chief and deposed evidence. If a person dies, the possession of his property is transferred to his. Property Possession Case Law.
From www.scribd.com
Writ of Possession Sample PDF Mortgage Law Foreclosure Property Possession Case Law Common law breaks down possession into two crucial components: Possession is a source of ‘title’ and ‘titles’ are relative. There have been a number of court decisions relating to residential. In the case of adverse possession, the ownership is transferred to the unlawful possessor owing to the neglect of the original. The book focuses on two basic features of english. Property Possession Case Law.
From www.scribd.com
Sample Questions on Property Law2 Adverse Possession Fair Use Property Possession Case Law The plaintiff no.1 manish bhandari s/o shailendrakumar bhandari filed his affidavit in lieu of examination in chief and deposed evidence. In the case of adverse possession, the ownership is transferred to the unlawful possessor owing to the neglect of the original. Common law breaks down possession into two crucial components: The legal right over the property, that can be backed. Property Possession Case Law.
From www.studocu.com
Adverse Possession Case Land Law Adverse Possession Case Land Law Property Possession Case Law The plaintiff no.1 manish bhandari s/o shailendrakumar bhandari filed his affidavit in lieu of examination in chief and deposed evidence. The legal right over the property, that can be backed up by the court of law. The book focuses on two basic features of english property law: These features are generally regarded as. Possession is a source of ‘title’ and. Property Possession Case Law.
From www.scribd.com
Property (2nd Cases) PDF Lease Possession (Law) Property Possession Case Law The plaintiff no.1 manish bhandari s/o shailendrakumar bhandari filed his affidavit in lieu of examination in chief and deposed evidence. The physical control of an object. Possession may be obtained by operation of law, e.g. If a person dies, the possession of his property is transferred to his successors and legal heirs. The book focuses on two basic features of. Property Possession Case Law.
From www.studocu.com
PropertyLawNotes Outline for Property Possession Actual legal Property Possession Case Law There have been a number of court decisions relating to residential. The factors which deserve to be taken into consideration in order to enable the court to pass a decree in plaintiff's favor as. The legal right over the property, that can be backed up by the court of law. In the case of adverse possession, the ownership is transferred. Property Possession Case Law.
From www.scribd.com
Property Possession Part 2 Lease Contractual Term Property Possession Case Law Possession on the other hand refers to ownership; The plaintiff no.1 manish bhandari s/o shailendrakumar bhandari filed his affidavit in lieu of examination in chief and deposed evidence. In the case of adverse possession, the ownership is transferred to the unlawful possessor owing to the neglect of the original. The factors which deserve to be taken into consideration in order. Property Possession Case Law.
From www.scribd.com
Adverse Possession Essay Outline PDF Adverse Possession Property Law Property Possession Case Law There have been a number of court decisions relating to residential. Common law breaks down possession into two crucial components: The plaintiff no.1 manish bhandari s/o shailendrakumar bhandari filed his affidavit in lieu of examination in chief and deposed evidence. These features are generally regarded as. Possession may be obtained by operation of law, e.g. Possession is a source of. Property Possession Case Law.
From pediaa.com
Difference Between Ownership and Possession Property Possession Case Law The plaintiff no.1 manish bhandari s/o shailendrakumar bhandari filed his affidavit in lieu of examination in chief and deposed evidence. In the case of adverse possession, the ownership is transferred to the unlawful possessor owing to the neglect of the original. If a person dies, the possession of his property is transferred to his successors and legal heirs. Common law. Property Possession Case Law.
From www.scribd.com
Property Cases On Possession PDF Lawsuit Complaint Property Possession Case Law The book focuses on two basic features of english property law: Possession is a source of ‘title’ and ‘titles’ are relative. Possession may be obtained by operation of law, e.g. The legal right over the property, that can be backed up by the court of law. Possession on the other hand refers to ownership; These features are generally regarded as.. Property Possession Case Law.
From www.slideshare.net
Property Law Ownership And Adverse Possession Property Possession Case Law There have been a number of court decisions relating to residential. The book focuses on two basic features of english property law: Common law breaks down possession into two crucial components: The legal right over the property, that can be backed up by the court of law. Possession is a source of ‘title’ and ‘titles’ are relative. The factors which. Property Possession Case Law.
From www.investopedia.com
Adverse Possession Legal Definition and Requirements Property Possession Case Law The factors which deserve to be taken into consideration in order to enable the court to pass a decree in plaintiff's favor as. Possession may be obtained by operation of law, e.g. The plaintiff no.1 manish bhandari s/o shailendrakumar bhandari filed his affidavit in lieu of examination in chief and deposed evidence. Possession is a source of ‘title’ and ‘titles’. Property Possession Case Law.
From www.scribd.com
Property Possession PDF Possession (Law) Leasehold Estate Property Possession Case Law The plaintiff no.1 manish bhandari s/o shailendrakumar bhandari filed his affidavit in lieu of examination in chief and deposed evidence. Common law breaks down possession into two crucial components: If a person dies, the possession of his property is transferred to his successors and legal heirs. These features are generally regarded as. The legal right over the property, that can. Property Possession Case Law.
From www.scribd.com
Property Right of Possession cases.pdf Testimony Lawsuit Property Possession Case Law The book focuses on two basic features of english property law: Possession on the other hand refers to ownership; These features are generally regarded as. Possession is a source of ‘title’ and ‘titles’ are relative. The legal right over the property, that can be backed up by the court of law. The physical control of an object. Possession may be. Property Possession Case Law.
From www.studocu.com
Land Law The Concepts of Ownership, Occupation and Possession “The Property Possession Case Law Possession on the other hand refers to ownership; The plaintiff no.1 manish bhandari s/o shailendrakumar bhandari filed his affidavit in lieu of examination in chief and deposed evidence. In the case of adverse possession, the ownership is transferred to the unlawful possessor owing to the neglect of the original. Common law breaks down possession into two crucial components: The legal. Property Possession Case Law.
From www.nobroker.in
What is Difference Between Ownership and Possession Property Possession Case Law The book focuses on two basic features of english property law: In the case of adverse possession, the ownership is transferred to the unlawful possessor owing to the neglect of the original. If a person dies, the possession of his property is transferred to his successors and legal heirs. The factors which deserve to be taken into consideration in order. Property Possession Case Law.
From www.studocu.com
Possession and Title Property Possession and Title Possession (pg54 Property Possession Case Law In the case of adverse possession, the ownership is transferred to the unlawful possessor owing to the neglect of the original. The book focuses on two basic features of english property law: The plaintiff no.1 manish bhandari s/o shailendrakumar bhandari filed his affidavit in lieu of examination in chief and deposed evidence. Common law breaks down possession into two crucial. Property Possession Case Law.
From www.slideshare.net
Property Law Ownership And Adverse Possession Property Possession Case Law The plaintiff no.1 manish bhandari s/o shailendrakumar bhandari filed his affidavit in lieu of examination in chief and deposed evidence. Possession is a source of ‘title’ and ‘titles’ are relative. Common law breaks down possession into two crucial components: Possession on the other hand refers to ownership; In the case of adverse possession, the ownership is transferred to the unlawful. Property Possession Case Law.
From themillenniumbuilders.com
Possession Of Property Law In Pakistan Top Guide (May 2024) Property Possession Case Law The book focuses on two basic features of english property law: These features are generally regarded as. Common law breaks down possession into two crucial components: The plaintiff no.1 manish bhandari s/o shailendrakumar bhandari filed his affidavit in lieu of examination in chief and deposed evidence. In the case of adverse possession, the ownership is transferred to the unlawful possessor. Property Possession Case Law.
From www.youtube.com
Easy Law Explainer Adverse Possession Overview 1L Property Law Property Possession Case Law The book focuses on two basic features of english property law: The legal right over the property, that can be backed up by the court of law. In the case of adverse possession, the ownership is transferred to the unlawful possessor owing to the neglect of the original. Possession may be obtained by operation of law, e.g. If a person. Property Possession Case Law.
From www.scribd.com
Property Possession Mortgage Law Adverse Possession Property Possession Case Law The book focuses on two basic features of english property law: The physical control of an object. These features are generally regarded as. Possession may be obtained by operation of law, e.g. If a person dies, the possession of his property is transferred to his successors and legal heirs. Possession is a source of ‘title’ and ‘titles’ are relative. The. Property Possession Case Law.
From www.barelaw.in
Injunction and Possession over Property BareLaw Property Possession Case Law In the case of adverse possession, the ownership is transferred to the unlawful possessor owing to the neglect of the original. The factors which deserve to be taken into consideration in order to enable the court to pass a decree in plaintiff's favor as. Possession on the other hand refers to ownership; If a person dies, the possession of his. Property Possession Case Law.
From www.legalbites.in
Recovery of Possession of Property Property Possession Case Law There have been a number of court decisions relating to residential. Possession may be obtained by operation of law, e.g. Common law breaks down possession into two crucial components: The factors which deserve to be taken into consideration in order to enable the court to pass a decree in plaintiff's favor as. The plaintiff no.1 manish bhandari s/o shailendrakumar bhandari. Property Possession Case Law.
From www.elitepropertiesny.com
An Overview on the Law of “Adverse Possession” Elite Properties NY Property Possession Case Law There have been a number of court decisions relating to residential. If a person dies, the possession of his property is transferred to his successors and legal heirs. Common law breaks down possession into two crucial components: Possession on the other hand refers to ownership; The legal right over the property, that can be backed up by the court of. Property Possession Case Law.
From www.scribd.com
Property Law Chart on Possession Indemnity Expense Property Possession Case Law There have been a number of court decisions relating to residential. Common law breaks down possession into two crucial components: In the case of adverse possession, the ownership is transferred to the unlawful possessor owing to the neglect of the original. The book focuses on two basic features of english property law: Possession may be obtained by operation of law,. Property Possession Case Law.
From info.courthousedirect.com
Adverse Property Possession Explained Property Possession Case Law The physical control of an object. There have been a number of court decisions relating to residential. Common law breaks down possession into two crucial components: The legal right over the property, that can be backed up by the court of law. The book focuses on two basic features of english property law: If a person dies, the possession of. Property Possession Case Law.
From www.signnow.com
CIV 300 Judgment for Possession Civil Forms Fill Out and Sign Property Possession Case Law There have been a number of court decisions relating to residential. Possession is a source of ‘title’ and ‘titles’ are relative. The plaintiff no.1 manish bhandari s/o shailendrakumar bhandari filed his affidavit in lieu of examination in chief and deposed evidence. If a person dies, the possession of his property is transferred to his successors and legal heirs. The book. Property Possession Case Law.
From www.scribd.com
Cases Adverse Possession Possession (Law) Adverse Possession Property Possession Case Law The book focuses on two basic features of english property law: Common law breaks down possession into two crucial components: The physical control of an object. If a person dies, the possession of his property is transferred to his successors and legal heirs. These features are generally regarded as. Possession is a source of ‘title’ and ‘titles’ are relative. Possession. Property Possession Case Law.
From www.scribd.com
Property Cases PDF Adverse Possession Conversion (Law) Property Possession Case Law In the case of adverse possession, the ownership is transferred to the unlawful possessor owing to the neglect of the original. Common law breaks down possession into two crucial components: The legal right over the property, that can be backed up by the court of law. The factors which deserve to be taken into consideration in order to enable the. Property Possession Case Law.