Washington Utilization Review License . Search business licenses issued through the department of revenue's business licensing service. Find a corporation or llc registered in. Utilization review (ur) process compares requests for medical services to appropriate treatment guidelines and includes a. It indicates your organization performs its utilization management functions in an effective, transparent and. These guidelines assist a ur nurse in evaluating. An experienced, dedicated compliance partner can help you take a proactive approach to maintaining utilization review licensure and certification. A utilization review license or certification is often required before an entity conducts reviews. See the table below for more information about. To determine which procedures require. Urac health utilization management accreditation is the industry standard; Selected outpatient procedures require review. All inpatient hospitalizations require utilization review.
from www.templateroller.com
Selected outpatient procedures require review. Urac health utilization management accreditation is the industry standard; Utilization review (ur) process compares requests for medical services to appropriate treatment guidelines and includes a. These guidelines assist a ur nurse in evaluating. See the table below for more information about. An experienced, dedicated compliance partner can help you take a proactive approach to maintaining utilization review licensure and certification. Search business licenses issued through the department of revenue's business licensing service. To determine which procedures require. A utilization review license or certification is often required before an entity conducts reviews. Find a corporation or llc registered in.
Connecticut Utilization Review License Application Form Fill Out
Washington Utilization Review License Utilization review (ur) process compares requests for medical services to appropriate treatment guidelines and includes a. All inpatient hospitalizations require utilization review. See the table below for more information about. Search business licenses issued through the department of revenue's business licensing service. An experienced, dedicated compliance partner can help you take a proactive approach to maintaining utilization review licensure and certification. Find a corporation or llc registered in. Urac health utilization management accreditation is the industry standard; These guidelines assist a ur nurse in evaluating. A utilization review license or certification is often required before an entity conducts reviews. Selected outpatient procedures require review. To determine which procedures require. Utilization review (ur) process compares requests for medical services to appropriate treatment guidelines and includes a. It indicates your organization performs its utilization management functions in an effective, transparent and.
From www.templateroller.com
Form F100528000 Fill Out, Sign Online and Download Fillable PDF Washington Utilization Review License To determine which procedures require. See the table below for more information about. An experienced, dedicated compliance partner can help you take a proactive approach to maintaining utilization review licensure and certification. Utilization review (ur) process compares requests for medical services to appropriate treatment guidelines and includes a. Find a corporation or llc registered in. Selected outpatient procedures require review.. Washington Utilization Review License.
From www.ptcb.org
State Regulations and Map Washington Utilization Review License Urac health utilization management accreditation is the industry standard; These guidelines assist a ur nurse in evaluating. Find a corporation or llc registered in. See the table below for more information about. A utilization review license or certification is often required before an entity conducts reviews. It indicates your organization performs its utilization management functions in an effective, transparent and.. Washington Utilization Review License.
From www.yelp.com
Washington State Department of Licensing 44 Reviews Departments of Washington Utilization Review License It indicates your organization performs its utilization management functions in an effective, transparent and. Search business licenses issued through the department of revenue's business licensing service. A utilization review license or certification is often required before an entity conducts reviews. Selected outpatient procedures require review. All inpatient hospitalizations require utilization review. To determine which procedures require. Find a corporation or. Washington Utilization Review License.
From zealie.com
Utilization Review in 2021 What You Should Know Zealie Washington Utilization Review License A utilization review license or certification is often required before an entity conducts reviews. Urac health utilization management accreditation is the industry standard; An experienced, dedicated compliance partner can help you take a proactive approach to maintaining utilization review licensure and certification. Search business licenses issued through the department of revenue's business licensing service. All inpatient hospitalizations require utilization review.. Washington Utilization Review License.
From www.dochub.com
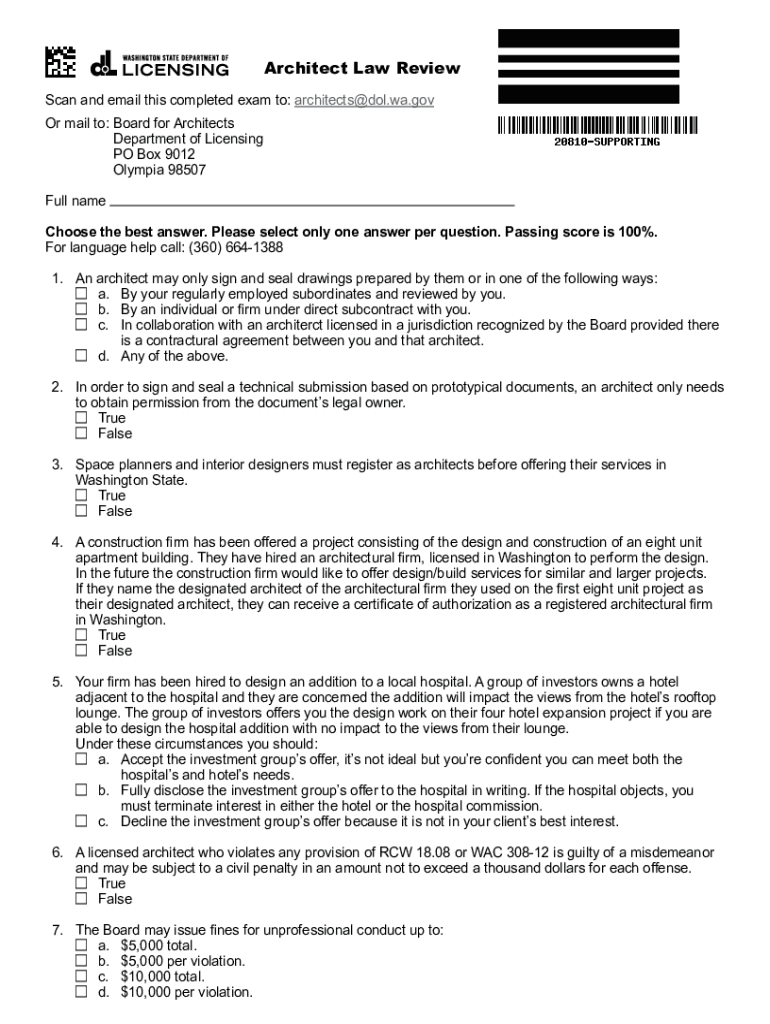
Architect Law Review WA State Licensing (DOL) Official Fill out Washington Utilization Review License Selected outpatient procedures require review. Utilization review (ur) process compares requests for medical services to appropriate treatment guidelines and includes a. A utilization review license or certification is often required before an entity conducts reviews. Search business licenses issued through the department of revenue's business licensing service. Urac health utilization management accreditation is the industry standard; To determine which procedures. Washington Utilization Review License.
From www.qwikresume.com
Utilization Review Nurse Cover Letter Examples QwikResume Washington Utilization Review License These guidelines assist a ur nurse in evaluating. It indicates your organization performs its utilization management functions in an effective, transparent and. To determine which procedures require. All inpatient hospitalizations require utilization review. See the table below for more information about. Utilization review (ur) process compares requests for medical services to appropriate treatment guidelines and includes a. Search business licenses. Washington Utilization Review License.
From www.yelp.com
Washington State Department of Licensing 18 Reviews Departments of Washington Utilization Review License A utilization review license or certification is often required before an entity conducts reviews. All inpatient hospitalizations require utilization review. An experienced, dedicated compliance partner can help you take a proactive approach to maintaining utilization review licensure and certification. See the table below for more information about. Urac health utilization management accreditation is the industry standard; Selected outpatient procedures require. Washington Utilization Review License.
From www.velvetjobs.com
Utilization Review Nurse Job Description Velvet Jobs Washington Utilization Review License See the table below for more information about. A utilization review license or certification is often required before an entity conducts reviews. Find a corporation or llc registered in. These guidelines assist a ur nurse in evaluating. To determine which procedures require. Urac health utilization management accreditation is the industry standard; It indicates your organization performs its utilization management functions. Washington Utilization Review License.
From www.templateroller.com
Form ENLS651031 Fill Out, Sign Online and Download Fillable PDF Washington Utilization Review License To determine which procedures require. Urac health utilization management accreditation is the industry standard; It indicates your organization performs its utilization management functions in an effective, transparent and. Utilization review (ur) process compares requests for medical services to appropriate treatment guidelines and includes a. All inpatient hospitalizations require utilization review. An experienced, dedicated compliance partner can help you take a. Washington Utilization Review License.
From www.golddealer.com
Washington State Tax Washington Utilization Review License See the table below for more information about. A utilization review license or certification is often required before an entity conducts reviews. Urac health utilization management accreditation is the industry standard; An experienced, dedicated compliance partner can help you take a proactive approach to maintaining utilization review licensure and certification. These guidelines assist a ur nurse in evaluating. Search business. Washington Utilization Review License.
From www.templateroller.com
Kansas Application for Utilization Review Certificate Fill Out, Sign Washington Utilization Review License To determine which procedures require. Find a corporation or llc registered in. All inpatient hospitalizations require utilization review. Utilization review (ur) process compares requests for medical services to appropriate treatment guidelines and includes a. These guidelines assist a ur nurse in evaluating. See the table below for more information about. It indicates your organization performs its utilization management functions in. Washington Utilization Review License.
From www.pinterest.com
DWC utilization review. https//www.dir.ca.gov/samples/search/querydwc Washington Utilization Review License An experienced, dedicated compliance partner can help you take a proactive approach to maintaining utilization review licensure and certification. These guidelines assist a ur nurse in evaluating. Selected outpatient procedures require review. Urac health utilization management accreditation is the industry standard; It indicates your organization performs its utilization management functions in an effective, transparent and. Utilization review (ur) process compares. Washington Utilization Review License.
From www.templateroller.com
Oklahoma Utilization Review Certification and/or Registration Washington Utilization Review License To determine which procedures require. Search business licenses issued through the department of revenue's business licensing service. A utilization review license or certification is often required before an entity conducts reviews. Selected outpatient procedures require review. Utilization review (ur) process compares requests for medical services to appropriate treatment guidelines and includes a. An experienced, dedicated compliance partner can help you. Washington Utilization Review License.
From www.templateroller.com
Connecticut Utilization Review License Application Form Fill Out Washington Utilization Review License These guidelines assist a ur nurse in evaluating. A utilization review license or certification is often required before an entity conducts reviews. Urac health utilization management accreditation is the industry standard; Utilization review (ur) process compares requests for medical services to appropriate treatment guidelines and includes a. To determine which procedures require. An experienced, dedicated compliance partner can help you. Washington Utilization Review License.
From www.pdffiller.com
Fillable Online wsdot wa Apprentice Utilization Plan Washington State Washington Utilization Review License Find a corporation or llc registered in. All inpatient hospitalizations require utilization review. It indicates your organization performs its utilization management functions in an effective, transparent and. Urac health utilization management accreditation is the industry standard; Utilization review (ur) process compares requests for medical services to appropriate treatment guidelines and includes a. Selected outpatient procedures require review. These guidelines assist. Washington Utilization Review License.
From www.slideserve.com
PPT Workers’ Compensation Managed Care Pricing Considerations Washington Utilization Review License An experienced, dedicated compliance partner can help you take a proactive approach to maintaining utilization review licensure and certification. Urac health utilization management accreditation is the industry standard; All inpatient hospitalizations require utilization review. These guidelines assist a ur nurse in evaluating. It indicates your organization performs its utilization management functions in an effective, transparent and. A utilization review license. Washington Utilization Review License.
From medium.com
What Is Utilization Review. Utilization review is the process that Washington Utilization Review License Find a corporation or llc registered in. An experienced, dedicated compliance partner can help you take a proactive approach to maintaining utilization review licensure and certification. Selected outpatient procedures require review. To determine which procedures require. These guidelines assist a ur nurse in evaluating. All inpatient hospitalizations require utilization review. See the table below for more information about. Urac health. Washington Utilization Review License.
From www.pinterest.com
Utilization Review Definitions Definitions, Medical care, Reviews Washington Utilization Review License Utilization review (ur) process compares requests for medical services to appropriate treatment guidelines and includes a. Find a corporation or llc registered in. All inpatient hospitalizations require utilization review. A utilization review license or certification is often required before an entity conducts reviews. See the table below for more information about. It indicates your organization performs its utilization management functions. Washington Utilization Review License.
From www.yelp.com
WASHINGTON STATE DEPARTMENT OF LICENSING 11 Photos & 79 Reviews Washington Utilization Review License See the table below for more information about. Selected outpatient procedures require review. An experienced, dedicated compliance partner can help you take a proactive approach to maintaining utilization review licensure and certification. Find a corporation or llc registered in. A utilization review license or certification is often required before an entity conducts reviews. Search business licenses issued through the department. Washington Utilization Review License.
From assets.velvetjobs.com
RNUtilization Review Job Description Velvet Jobs Washington Utilization Review License Selected outpatient procedures require review. Find a corporation or llc registered in. See the table below for more information about. These guidelines assist a ur nurse in evaluating. An experienced, dedicated compliance partner can help you take a proactive approach to maintaining utilization review licensure and certification. A utilization review license or certification is often required before an entity conducts. Washington Utilization Review License.
From www.nccaom.org
State Licensure Map NCCAOM Washington Utilization Review License It indicates your organization performs its utilization management functions in an effective, transparent and. An experienced, dedicated compliance partner can help you take a proactive approach to maintaining utilization review licensure and certification. Search business licenses issued through the department of revenue's business licensing service. To determine which procedures require. These guidelines assist a ur nurse in evaluating. Find a. Washington Utilization Review License.
From www.templateroller.com
DSHS Form 14491 Fill Out, Sign Online and Download Printable PDF Washington Utilization Review License Find a corporation or llc registered in. It indicates your organization performs its utilization management functions in an effective, transparent and. These guidelines assist a ur nurse in evaluating. To determine which procedures require. A utilization review license or certification is often required before an entity conducts reviews. Search business licenses issued through the department of revenue's business licensing service.. Washington Utilization Review License.
From www.yelp.com
WASHINGTON STATE DEPARTMENT OF LICENSING 18 Photos & 144 Reviews Washington Utilization Review License Search business licenses issued through the department of revenue's business licensing service. Selected outpatient procedures require review. All inpatient hospitalizations require utilization review. Utilization review (ur) process compares requests for medical services to appropriate treatment guidelines and includes a. It indicates your organization performs its utilization management functions in an effective, transparent and. See the table below for more information. Washington Utilization Review License.
From vdocuments.mx
UTILIZATION REVIEW CHECKLIST in REVIEW CHECKLIST . Fill in "Located Washington Utilization Review License A utilization review license or certification is often required before an entity conducts reviews. An experienced, dedicated compliance partner can help you take a proactive approach to maintaining utilization review licensure and certification. Utilization review (ur) process compares requests for medical services to appropriate treatment guidelines and includes a. Urac health utilization management accreditation is the industry standard; See the. Washington Utilization Review License.
From www.templateroller.com
Connecticut Utilization Review License Application Form Fill Out Washington Utilization Review License Selected outpatient procedures require review. These guidelines assist a ur nurse in evaluating. All inpatient hospitalizations require utilization review. A utilization review license or certification is often required before an entity conducts reviews. It indicates your organization performs its utilization management functions in an effective, transparent and. Search business licenses issued through the department of revenue's business licensing service. An. Washington Utilization Review License.
From www.spokesman.com
Without changes, standard Washington driver licenses can’t be used to Washington Utilization Review License A utilization review license or certification is often required before an entity conducts reviews. An experienced, dedicated compliance partner can help you take a proactive approach to maintaining utilization review licensure and certification. It indicates your organization performs its utilization management functions in an effective, transparent and. All inpatient hospitalizations require utilization review. Utilization review (ur) process compares requests for. Washington Utilization Review License.
From www.yelp.com
WASHINGTON STATE DEPARTMENT OF LICENSING 21 Reviews Departments of Washington Utilization Review License A utilization review license or certification is often required before an entity conducts reviews. These guidelines assist a ur nurse in evaluating. Utilization review (ur) process compares requests for medical services to appropriate treatment guidelines and includes a. Selected outpatient procedures require review. See the table below for more information about. All inpatient hospitalizations require utilization review. To determine which. Washington Utilization Review License.
From www.templateroller.com
Connecticut Utilization Review License Application Form Fill Out Washington Utilization Review License See the table below for more information about. A utilization review license or certification is often required before an entity conducts reviews. Urac health utilization management accreditation is the industry standard; Search business licenses issued through the department of revenue's business licensing service. Utilization review (ur) process compares requests for medical services to appropriate treatment guidelines and includes a. An. Washington Utilization Review License.
From www.uslegalforms.com
Review Utilization Form For Employees US Legal Forms Washington Utilization Review License Find a corporation or llc registered in. To determine which procedures require. All inpatient hospitalizations require utilization review. Selected outpatient procedures require review. See the table below for more information about. An experienced, dedicated compliance partner can help you take a proactive approach to maintaining utilization review licensure and certification. Urac health utilization management accreditation is the industry standard; Search. Washington Utilization Review License.
From www.yelp.com
Washington State Department of Licensing 17 Reviews Departments of Washington Utilization Review License See the table below for more information about. It indicates your organization performs its utilization management functions in an effective, transparent and. A utilization review license or certification is often required before an entity conducts reviews. These guidelines assist a ur nurse in evaluating. To determine which procedures require. An experienced, dedicated compliance partner can help you take a proactive. Washington Utilization Review License.
From nap.nationalacademies.org
UTILIZATION REVIEW OF CT SERVICES Computed Tomographic Scanning A Washington Utilization Review License Search business licenses issued through the department of revenue's business licensing service. Utilization review (ur) process compares requests for medical services to appropriate treatment guidelines and includes a. These guidelines assist a ur nurse in evaluating. An experienced, dedicated compliance partner can help you take a proactive approach to maintaining utilization review licensure and certification. To determine which procedures require.. Washington Utilization Review License.
From www.templateroller.com
Connecticut Utilization Review License Application Form Fill Out Washington Utilization Review License Urac health utilization management accreditation is the industry standard; An experienced, dedicated compliance partner can help you take a proactive approach to maintaining utilization review licensure and certification. These guidelines assist a ur nurse in evaluating. All inpatient hospitalizations require utilization review. Search business licenses issued through the department of revenue's business licensing service. To determine which procedures require. It. Washington Utilization Review License.
From www.ziprecruiter.com
3359/hr Prn Utilization Review Jobs (NOW HIRING) Sep 2024 Washington Utilization Review License It indicates your organization performs its utilization management functions in an effective, transparent and. Utilization review (ur) process compares requests for medical services to appropriate treatment guidelines and includes a. See the table below for more information about. All inpatient hospitalizations require utilization review. Urac health utilization management accreditation is the industry standard; These guidelines assist a ur nurse in. Washington Utilization Review License.
From nap.nationalacademies.org
UTILIZATION REVIEW OF CT SERVICES Computed Tomographic Scanning A Washington Utilization Review License To determine which procedures require. Search business licenses issued through the department of revenue's business licensing service. See the table below for more information about. Utilization review (ur) process compares requests for medical services to appropriate treatment guidelines and includes a. It indicates your organization performs its utilization management functions in an effective, transparent and. Selected outpatient procedures require review.. Washington Utilization Review License.
From www.templateroller.com
Connecticut Utilization Review License Application Form Fill Out Washington Utilization Review License An experienced, dedicated compliance partner can help you take a proactive approach to maintaining utilization review licensure and certification. Search business licenses issued through the department of revenue's business licensing service. All inpatient hospitalizations require utilization review. Selected outpatient procedures require review. To determine which procedures require. Urac health utilization management accreditation is the industry standard; These guidelines assist a. Washington Utilization Review License.