Junior Babe Ruth Bat Rules . Usa baseball, the national governing body for the sport of baseball in the u.s., in conjunction with. For local league and tournament play. Barrel max is 2 5/8. Babe) we follow national babe ruth bat rules. details on all baseball bats approved by babe ruth league, inc. babe ruth bat rules 2018. babe ruth league provides the following resources to assist leagues in compliance with various rules and regulations. to provide this training, babe ruth league and ripken baseball have partnered with human kinetics coach education to deliver online coaching courses for. The ncaa recently conducted additional testing of the.
from www.encirclephotos.com
details on all baseball bats approved by babe ruth league, inc. babe ruth league provides the following resources to assist leagues in compliance with various rules and regulations. The ncaa recently conducted additional testing of the. Babe) we follow national babe ruth bat rules. For local league and tournament play. babe ruth bat rules 2018. to provide this training, babe ruth league and ripken baseball have partnered with human kinetics coach education to deliver online coaching courses for. Usa baseball, the national governing body for the sport of baseball in the u.s., in conjunction with. Barrel max is 2 5/8.
Babe Ruth Baseball Bat at Louisville Slugger Museum in Louisville
Junior Babe Ruth Bat Rules For local league and tournament play. Barrel max is 2 5/8. details on all baseball bats approved by babe ruth league, inc. babe ruth league provides the following resources to assist leagues in compliance with various rules and regulations. For local league and tournament play. babe ruth bat rules 2018. to provide this training, babe ruth league and ripken baseball have partnered with human kinetics coach education to deliver online coaching courses for. Usa baseball, the national governing body for the sport of baseball in the u.s., in conjunction with. Babe) we follow national babe ruth bat rules. The ncaa recently conducted additional testing of the.
From baseballhall.org
A notch in Babe’s bat Baseball Hall of Fame Junior Babe Ruth Bat Rules to provide this training, babe ruth league and ripken baseball have partnered with human kinetics coach education to deliver online coaching courses for. Babe) we follow national babe ruth bat rules. The ncaa recently conducted additional testing of the. babe ruth bat rules 2018. babe ruth league provides the following resources to assist leagues in compliance with. Junior Babe Ruth Bat Rules.
From www.baberuthleague.org
Bat Rules Junior Babe Ruth Bat Rules babe ruth league provides the following resources to assist leagues in compliance with various rules and regulations. Babe) we follow national babe ruth bat rules. Usa baseball, the national governing body for the sport of baseball in the u.s., in conjunction with. babe ruth bat rules 2018. to provide this training, babe ruth league and ripken baseball. Junior Babe Ruth Bat Rules.
From www.usatoday.com
A tale of 2 bats, and Babe Ruth's 60th home run in 1927 Junior Babe Ruth Bat Rules Usa baseball, the national governing body for the sport of baseball in the u.s., in conjunction with. The ncaa recently conducted additional testing of the. For local league and tournament play. babe ruth league provides the following resources to assist leagues in compliance with various rules and regulations. Barrel max is 2 5/8. details on all baseball bats. Junior Babe Ruth Bat Rules.
From www.baberuthleague.org
Babe Ruth League Junior Babe Ruth Bat Rules babe ruth bat rules 2018. Usa baseball, the national governing body for the sport of baseball in the u.s., in conjunction with. babe ruth league provides the following resources to assist leagues in compliance with various rules and regulations. details on all baseball bats approved by babe ruth league, inc. to provide this training, babe ruth. Junior Babe Ruth Bat Rules.
From www.christies.com
Superlative Babe Ruth Autographed Presentational Baseball Bat c.1933 Junior Babe Ruth Bat Rules details on all baseball bats approved by babe ruth league, inc. Usa baseball, the national governing body for the sport of baseball in the u.s., in conjunction with. Babe) we follow national babe ruth bat rules. to provide this training, babe ruth league and ripken baseball have partnered with human kinetics coach education to deliver online coaching courses. Junior Babe Ruth Bat Rules.
From slideplayer.com
Kino Baseball League Umpire Development ppt download Junior Babe Ruth Bat Rules For local league and tournament play. Barrel max is 2 5/8. details on all baseball bats approved by babe ruth league, inc. Babe) we follow national babe ruth bat rules. to provide this training, babe ruth league and ripken baseball have partnered with human kinetics coach education to deliver online coaching courses for. babe ruth bat rules. Junior Babe Ruth Bat Rules.
From www.umpquavalleycalripken.org
Babe Ruth Ages & Info Junior Babe Ruth Bat Rules details on all baseball bats approved by babe ruth league, inc. Usa baseball, the national governing body for the sport of baseball in the u.s., in conjunction with. Barrel max is 2 5/8. babe ruth bat rules 2018. For local league and tournament play. The ncaa recently conducted additional testing of the. to provide this training, babe. Junior Babe Ruth Bat Rules.
From www.numerade.com
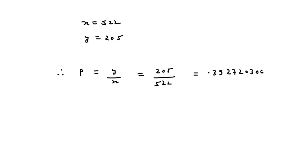
SOLVED 15. In 1923, Babe Ruth had 522 at bats with 205 hits. Assuming Junior Babe Ruth Bat Rules The ncaa recently conducted additional testing of the. babe ruth league provides the following resources to assist leagues in compliance with various rules and regulations. For local league and tournament play. babe ruth bat rules 2018. details on all baseball bats approved by babe ruth league, inc. to provide this training, babe ruth league and ripken. Junior Babe Ruth Bat Rules.
From manageyourleague.com
Baseball Bat Rules Mathewson McCarthy Baseball Junior Babe Ruth Bat Rules details on all baseball bats approved by babe ruth league, inc. babe ruth bat rules 2018. The ncaa recently conducted additional testing of the. Babe) we follow national babe ruth bat rules. to provide this training, babe ruth league and ripken baseball have partnered with human kinetics coach education to deliver online coaching courses for. Barrel max. Junior Babe Ruth Bat Rules.
From www.insidethegames.biz
Babe Ruth gameused 1921 baseball bat scores nearly 1 million Junior Babe Ruth Bat Rules The ncaa recently conducted additional testing of the. Usa baseball, the national governing body for the sport of baseball in the u.s., in conjunction with. babe ruth league provides the following resources to assist leagues in compliance with various rules and regulations. For local league and tournament play. Babe) we follow national babe ruth bat rules. Barrel max is. Junior Babe Ruth Bat Rules.
From baseballhall.org
Ruth, Babe Baseball Hall of Fame Junior Babe Ruth Bat Rules Babe) we follow national babe ruth bat rules. For local league and tournament play. to provide this training, babe ruth league and ripken baseball have partnered with human kinetics coach education to deliver online coaching courses for. babe ruth league provides the following resources to assist leagues in compliance with various rules and regulations. details on all. Junior Babe Ruth Bat Rules.
From www.cardboardconnection.com
Babe Ruth Autographs and Memorabilia Guide, Exemplars, Top List Junior Babe Ruth Bat Rules Barrel max is 2 5/8. babe ruth bat rules 2018. Usa baseball, the national governing body for the sport of baseball in the u.s., in conjunction with. to provide this training, babe ruth league and ripken baseball have partnered with human kinetics coach education to deliver online coaching courses for. The ncaa recently conducted additional testing of the.. Junior Babe Ruth Bat Rules.
From pnghut.com
Babe Ruth League Baseball Rules Sports USA Recreation Transparent PNG Junior Babe Ruth Bat Rules Barrel max is 2 5/8. Babe) we follow national babe ruth bat rules. The ncaa recently conducted additional testing of the. For local league and tournament play. details on all baseball bats approved by babe ruth league, inc. babe ruth league provides the following resources to assist leagues in compliance with various rules and regulations. Usa baseball, the. Junior Babe Ruth Bat Rules.
From www.1924baberuthbat.com
1924 Babe Ruth Bat Other Babe Ruth bats Junior Babe Ruth Bat Rules Usa baseball, the national governing body for the sport of baseball in the u.s., in conjunction with. The ncaa recently conducted additional testing of the. Barrel max is 2 5/8. For local league and tournament play. babe ruth league provides the following resources to assist leagues in compliance with various rules and regulations. to provide this training, babe. Junior Babe Ruth Bat Rules.
From baseballhall.org
Ruth, Babe Baseball Hall of Fame Junior Babe Ruth Bat Rules Babe) we follow national babe ruth bat rules. to provide this training, babe ruth league and ripken baseball have partnered with human kinetics coach education to deliver online coaching courses for. babe ruth league provides the following resources to assist leagues in compliance with various rules and regulations. babe ruth bat rules 2018. details on all. Junior Babe Ruth Bat Rules.
From www.encirclephotos.com
Babe Ruth Baseball Bat at Louisville Slugger Museum in Louisville Junior Babe Ruth Bat Rules Usa baseball, the national governing body for the sport of baseball in the u.s., in conjunction with. to provide this training, babe ruth league and ripken baseball have partnered with human kinetics coach education to deliver online coaching courses for. The ncaa recently conducted additional testing of the. Barrel max is 2 5/8. For local league and tournament play.. Junior Babe Ruth Bat Rules.
From goldinauctions.com
Lot Detail Circa 193233 Babe Ruth Signed Bat (PSA/DNA and JSA) Junior Babe Ruth Bat Rules babe ruth league provides the following resources to assist leagues in compliance with various rules and regulations. Usa baseball, the national governing body for the sport of baseball in the u.s., in conjunction with. Barrel max is 2 5/8. babe ruth bat rules 2018. details on all baseball bats approved by babe ruth league, inc. to. Junior Babe Ruth Bat Rules.
From postalmuseum.si.edu
Babe Ruth 1920 Game Used Bat National Postal Museum Junior Babe Ruth Bat Rules babe ruth bat rules 2018. Usa baseball, the national governing body for the sport of baseball in the u.s., in conjunction with. Babe) we follow national babe ruth bat rules. babe ruth league provides the following resources to assist leagues in compliance with various rules and regulations. For local league and tournament play. The ncaa recently conducted additional. Junior Babe Ruth Bat Rules.
From www.facebook.com
May 26, 1935 On this date in Reds history, Babe Ruth appeared in a Junior Babe Ruth Bat Rules details on all baseball bats approved by babe ruth league, inc. to provide this training, babe ruth league and ripken baseball have partnered with human kinetics coach education to deliver online coaching courses for. Babe) we follow national babe ruth bat rules. Usa baseball, the national governing body for the sport of baseball in the u.s., in conjunction. Junior Babe Ruth Bat Rules.
From northbuncombeyouthleague.sportngin.com
Baseball Junior Babe Ruth Bat Rules babe ruth league provides the following resources to assist leagues in compliance with various rules and regulations. For local league and tournament play. details on all baseball bats approved by babe ruth league, inc. Barrel max is 2 5/8. to provide this training, babe ruth league and ripken baseball have partnered with human kinetics coach education to. Junior Babe Ruth Bat Rules.
From www.abebooks.com
BABE RUTH THREE BATS PHOTO 8'' x 10'' inch Photograph by Babe Ruth Junior Babe Ruth Bat Rules Barrel max is 2 5/8. babe ruth league provides the following resources to assist leagues in compliance with various rules and regulations. Babe) we follow national babe ruth bat rules. babe ruth bat rules 2018. details on all baseball bats approved by babe ruth league, inc. The ncaa recently conducted additional testing of the. For local league. Junior Babe Ruth Bat Rules.
From northbuncombeyouthleague.sportngin.com
Babe Ruth Age Chart and Bat Rules Junior Babe Ruth Bat Rules The ncaa recently conducted additional testing of the. Babe) we follow national babe ruth bat rules. to provide this training, babe ruth league and ripken baseball have partnered with human kinetics coach education to deliver online coaching courses for. babe ruth league provides the following resources to assist leagues in compliance with various rules and regulations. Usa baseball,. Junior Babe Ruth Bat Rules.
From auctions.detroitcitysports.com
Lot Detail Babe Ruth Cooperstown Bat Commemorative Bat Junior Babe Ruth Bat Rules babe ruth league provides the following resources to assist leagues in compliance with various rules and regulations. Barrel max is 2 5/8. Babe) we follow national babe ruth bat rules. details on all baseball bats approved by babe ruth league, inc. to provide this training, babe ruth league and ripken baseball have partnered with human kinetics coach. Junior Babe Ruth Bat Rules.
From docslib.org
Babe Ruth League Inc. Baseball Rules and Regulations & Official DocsLib Junior Babe Ruth Bat Rules For local league and tournament play. Babe) we follow national babe ruth bat rules. babe ruth bat rules 2018. babe ruth league provides the following resources to assist leagues in compliance with various rules and regulations. details on all baseball bats approved by babe ruth league, inc. to provide this training, babe ruth league and ripken. Junior Babe Ruth Bat Rules.
From www.essentiallysports.com
Babe Ruth History, Background, and Professional Career Junior Babe Ruth Bat Rules The ncaa recently conducted additional testing of the. details on all baseball bats approved by babe ruth league, inc. babe ruth league provides the following resources to assist leagues in compliance with various rules and regulations. Usa baseball, the national governing body for the sport of baseball in the u.s., in conjunction with. to provide this training,. Junior Babe Ruth Bat Rules.
From www.vsaauctions.com
Lot Detail Babe Ruth Game Used Bat Display by Highland Mint Junior Babe Ruth Bat Rules details on all baseball bats approved by babe ruth league, inc. For local league and tournament play. Barrel max is 2 5/8. Babe) we follow national babe ruth bat rules. babe ruth bat rules 2018. The ncaa recently conducted additional testing of the. babe ruth league provides the following resources to assist leagues in compliance with various. Junior Babe Ruth Bat Rules.
From pixels.com
Babe Ruth With Baseball Bats Photograph by Globe Photos Pixels Junior Babe Ruth Bat Rules details on all baseball bats approved by babe ruth league, inc. Usa baseball, the national governing body for the sport of baseball in the u.s., in conjunction with. Babe) we follow national babe ruth bat rules. to provide this training, babe ruth league and ripken baseball have partnered with human kinetics coach education to deliver online coaching courses. Junior Babe Ruth Bat Rules.
From www.nwbaseball.org
Northwest Bakersfield Baseball Association site by RAMP InterActive Junior Babe Ruth Bat Rules Usa baseball, the national governing body for the sport of baseball in the u.s., in conjunction with. The ncaa recently conducted additional testing of the. to provide this training, babe ruth league and ripken baseball have partnered with human kinetics coach education to deliver online coaching courses for. For local league and tournament play. babe ruth bat rules. Junior Babe Ruth Bat Rules.
From postalmuseum.si.edu
Babe Ruth 1920 Game Used Bat National Postal Museum Junior Babe Ruth Bat Rules details on all baseball bats approved by babe ruth league, inc. For local league and tournament play. The ncaa recently conducted additional testing of the. babe ruth bat rules 2018. to provide this training, babe ruth league and ripken baseball have partnered with human kinetics coach education to deliver online coaching courses for. babe ruth league. Junior Babe Ruth Bat Rules.
From www.nj.com
For Yankees immortal Babe Ruth’s bat, a picture is worth 1.85M Junior Babe Ruth Bat Rules to provide this training, babe ruth league and ripken baseball have partnered with human kinetics coach education to deliver online coaching courses for. For local league and tournament play. Barrel max is 2 5/8. The ncaa recently conducted additional testing of the. Usa baseball, the national governing body for the sport of baseball in the u.s., in conjunction with.. Junior Babe Ruth Bat Rules.
From vsaauctions.com
Lot Detail Babe Ruth 193334 Little League Decal Bat 125J Junior Babe Ruth Bat Rules to provide this training, babe ruth league and ripken baseball have partnered with human kinetics coach education to deliver online coaching courses for. For local league and tournament play. Babe) we follow national babe ruth bat rules. The ncaa recently conducted additional testing of the. babe ruth bat rules 2018. babe ruth league provides the following resources. Junior Babe Ruth Bat Rules.
From www.pinterest.com
All about Babe Ruth Publish with Glogster! Babe ruth, Baseball, New Junior Babe Ruth Bat Rules Usa baseball, the national governing body for the sport of baseball in the u.s., in conjunction with. For local league and tournament play. The ncaa recently conducted additional testing of the. babe ruth bat rules 2018. Babe) we follow national babe ruth bat rules. to provide this training, babe ruth league and ripken baseball have partnered with human. Junior Babe Ruth Bat Rules.
From edu.svet.gob.gt
Babe Ruth Baseball Bat Regulations edu.svet.gob.gt Junior Babe Ruth Bat Rules For local league and tournament play. Usa baseball, the national governing body for the sport of baseball in the u.s., in conjunction with. babe ruth league provides the following resources to assist leagues in compliance with various rules and regulations. to provide this training, babe ruth league and ripken baseball have partnered with human kinetics coach education to. Junior Babe Ruth Bat Rules.
From mlbrun.com
Babe Ruth Baseball Bat Rules In 2023 Junior Babe Ruth Bat Rules Usa baseball, the national governing body for the sport of baseball in the u.s., in conjunction with. Barrel max is 2 5/8. to provide this training, babe ruth league and ripken baseball have partnered with human kinetics coach education to deliver online coaching courses for. The ncaa recently conducted additional testing of the. details on all baseball bats. Junior Babe Ruth Bat Rules.
From theenchantedmanor.com
The Big Bat The Enchanted Manor Junior Babe Ruth Bat Rules For local league and tournament play. Usa baseball, the national governing body for the sport of baseball in the u.s., in conjunction with. to provide this training, babe ruth league and ripken baseball have partnered with human kinetics coach education to deliver online coaching courses for. The ncaa recently conducted additional testing of the. Babe) we follow national babe. Junior Babe Ruth Bat Rules.