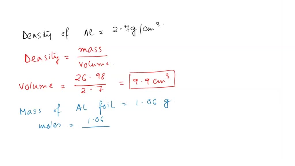
How To Find Density Of Aluminum Foil . Each regula r solid has its own formula for calculating its volume. This calculation can be useful in various. This video covers determining the thickness of the aluminum foil using density, mass,. The values needed to measure the thickness of aluminum foil are the length, width and weight of the sample and the known. Known density of aluminum (2.7g/cm 3). The thickness of aluminum foil calculator is a tool that helps you determine the thickness of an aluminum foil sheet in microns. Use a standard 30cm wide aluminum foil roll. The density is calculated by dividing the mass by the volume. This can be done by weighing a specific area of the foil using a. Calculating the thickness of aluminum foil mass of aluminum = 1.15 g density of aluminum = 2.70 g cm 3 d = m v v = l ⋅w ⋅h so d = m l ⋅w ⋅h. Cut a 100cm section for ease of calculation. Select a section of foil: First, you will need to determine the weight of the aluminum foil.
from guadalupe-yersblogvalentine.blogspot.com
This calculation can be useful in various. Each regula r solid has its own formula for calculating its volume. The thickness of aluminum foil calculator is a tool that helps you determine the thickness of an aluminum foil sheet in microns. The values needed to measure the thickness of aluminum foil are the length, width and weight of the sample and the known. This can be done by weighing a specific area of the foil using a. Calculating the thickness of aluminum foil mass of aluminum = 1.15 g density of aluminum = 2.70 g cm 3 d = m v v = l ⋅w ⋅h so d = m l ⋅w ⋅h. First, you will need to determine the weight of the aluminum foil. The density is calculated by dividing the mass by the volume. This video covers determining the thickness of the aluminum foil using density, mass,. Known density of aluminum (2.7g/cm 3).
How Many Atoms Thick Is Aluminum Foil
How To Find Density Of Aluminum Foil Use a standard 30cm wide aluminum foil roll. Known density of aluminum (2.7g/cm 3). The density is calculated by dividing the mass by the volume. This video covers determining the thickness of the aluminum foil using density, mass,. Each regula r solid has its own formula for calculating its volume. Select a section of foil: Calculating the thickness of aluminum foil mass of aluminum = 1.15 g density of aluminum = 2.70 g cm 3 d = m v v = l ⋅w ⋅h so d = m l ⋅w ⋅h. Use a standard 30cm wide aluminum foil roll. The thickness of aluminum foil calculator is a tool that helps you determine the thickness of an aluminum foil sheet in microns. First, you will need to determine the weight of the aluminum foil. Cut a 100cm section for ease of calculation. This calculation can be useful in various. This can be done by weighing a specific area of the foil using a. The values needed to measure the thickness of aluminum foil are the length, width and weight of the sample and the known.
From studylib.net
Lab Determination of the Thickness of Aluminum Foil How To Find Density Of Aluminum Foil The density is calculated by dividing the mass by the volume. Cut a 100cm section for ease of calculation. The values needed to measure the thickness of aluminum foil are the length, width and weight of the sample and the known. Known density of aluminum (2.7g/cm 3). Each regula r solid has its own formula for calculating its volume. The. How To Find Density Of Aluminum Foil.
From postonphysicalscience.weebly.com
Density Physical Science How To Find Density Of Aluminum Foil Calculating the thickness of aluminum foil mass of aluminum = 1.15 g density of aluminum = 2.70 g cm 3 d = m v v = l ⋅w ⋅h so d = m l ⋅w ⋅h. This can be done by weighing a specific area of the foil using a. The density is calculated by dividing the mass by the. How To Find Density Of Aluminum Foil.
From www.metalstripsolutions.com
Density Of Aluminum Alloy The Ultimate Guide How To Find Density Of Aluminum Foil This video covers determining the thickness of the aluminum foil using density, mass,. Each regula r solid has its own formula for calculating its volume. The density is calculated by dividing the mass by the volume. Select a section of foil: Known density of aluminum (2.7g/cm 3). This calculation can be useful in various. This can be done by weighing. How To Find Density Of Aluminum Foil.
From atelier-yuwa.ciao.jp
Quiz Help Part 1 Calculating Thickness And Atoms atelieryuwa.ciao.jp How To Find Density Of Aluminum Foil The thickness of aluminum foil calculator is a tool that helps you determine the thickness of an aluminum foil sheet in microns. First, you will need to determine the weight of the aluminum foil. The values needed to measure the thickness of aluminum foil are the length, width and weight of the sample and the known. Cut a 100cm section. How To Find Density Of Aluminum Foil.
From www.britannica.com
aluminum Uses, Properties, & Compounds Britannica How To Find Density Of Aluminum Foil Use a standard 30cm wide aluminum foil roll. Calculating the thickness of aluminum foil mass of aluminum = 1.15 g density of aluminum = 2.70 g cm 3 d = m v v = l ⋅w ⋅h so d = m l ⋅w ⋅h. The density is calculated by dividing the mass by the volume. Select a section of foil:. How To Find Density Of Aluminum Foil.
From finwise.edu.vn
Collection 105+ Pictures The Density Of Water Is The Greatest At A How To Find Density Of Aluminum Foil Calculating the thickness of aluminum foil mass of aluminum = 1.15 g density of aluminum = 2.70 g cm 3 d = m v v = l ⋅w ⋅h so d = m l ⋅w ⋅h. The values needed to measure the thickness of aluminum foil are the length, width and weight of the sample and the known. Select a. How To Find Density Of Aluminum Foil.
From www.numerade.com
SOLVED Good morning, please I need help with this. Determine the How To Find Density Of Aluminum Foil This video covers determining the thickness of the aluminum foil using density, mass,. The thickness of aluminum foil calculator is a tool that helps you determine the thickness of an aluminum foil sheet in microns. This calculation can be useful in various. Known density of aluminum (2.7g/cm 3). Select a section of foil: The density is calculated by dividing the. How To Find Density Of Aluminum Foil.
From www.youtube.com
Density of Aluminium is 2700 kg/m3. Find the relative density of How To Find Density Of Aluminum Foil The values needed to measure the thickness of aluminum foil are the length, width and weight of the sample and the known. Each regula r solid has its own formula for calculating its volume. Cut a 100cm section for ease of calculation. First, you will need to determine the weight of the aluminum foil. Known density of aluminum (2.7g/cm 3).. How To Find Density Of Aluminum Foil.
From www.chegg.com
Solved Cor The density of aluminum is 2.70g/cm3. A square How To Find Density Of Aluminum Foil Calculating the thickness of aluminum foil mass of aluminum = 1.15 g density of aluminum = 2.70 g cm 3 d = m v v = l ⋅w ⋅h so d = m l ⋅w ⋅h. Select a section of foil: This video covers determining the thickness of the aluminum foil using density, mass,. The density is calculated by dividing. How To Find Density Of Aluminum Foil.
From www.chegg.com
Solved . Thickness of Aluminum Foil Foil 2 Foil 1 4.90 am How To Find Density Of Aluminum Foil This can be done by weighing a specific area of the foil using a. The density is calculated by dividing the mass by the volume. First, you will need to determine the weight of the aluminum foil. Select a section of foil: The values needed to measure the thickness of aluminum foil are the length, width and weight of the. How To Find Density Of Aluminum Foil.
From atelier-yuwa.ciao.jp
Thickness Of Aluminum Foil atelieryuwa.ciao.jp How To Find Density Of Aluminum Foil Each regula r solid has its own formula for calculating its volume. This video covers determining the thickness of the aluminum foil using density, mass,. Calculating the thickness of aluminum foil mass of aluminum = 1.15 g density of aluminum = 2.70 g cm 3 d = m v v = l ⋅w ⋅h so d = m l ⋅w. How To Find Density Of Aluminum Foil.
From www.youtube.com
An aluminum wire having a crosssectional area YouTube How To Find Density Of Aluminum Foil Use a standard 30cm wide aluminum foil roll. Cut a 100cm section for ease of calculation. Select a section of foil: This calculation can be useful in various. Known density of aluminum (2.7g/cm 3). The values needed to measure the thickness of aluminum foil are the length, width and weight of the sample and the known. Calculating the thickness of. How To Find Density Of Aluminum Foil.
From www.numerade.com
SOLVED Use unit analysis to show how to calculate the volume occupied How To Find Density Of Aluminum Foil Known density of aluminum (2.7g/cm 3). Select a section of foil: The density is calculated by dividing the mass by the volume. First, you will need to determine the weight of the aluminum foil. Use a standard 30cm wide aluminum foil roll. The thickness of aluminum foil calculator is a tool that helps you determine the thickness of an aluminum. How To Find Density Of Aluminum Foil.
From www.numerade.com
SOLVEDtable of densities of common metals Use the table to identify How To Find Density Of Aluminum Foil First, you will need to determine the weight of the aluminum foil. Each regula r solid has its own formula for calculating its volume. Cut a 100cm section for ease of calculation. The density is calculated by dividing the mass by the volume. The values needed to measure the thickness of aluminum foil are the length, width and weight of. How To Find Density Of Aluminum Foil.
From www.toppr.com
An aluminum wire having a crosssectional area equal to 4.00times 10 How To Find Density Of Aluminum Foil Each regula r solid has its own formula for calculating its volume. Calculating the thickness of aluminum foil mass of aluminum = 1.15 g density of aluminum = 2.70 g cm 3 d = m v v = l ⋅w ⋅h so d = m l ⋅w ⋅h. First, you will need to determine the weight of the aluminum foil.. How To Find Density Of Aluminum Foil.
From www.youtube.com
14 Theoretical Density of Al YouTube How To Find Density Of Aluminum Foil The values needed to measure the thickness of aluminum foil are the length, width and weight of the sample and the known. Each regula r solid has its own formula for calculating its volume. Calculating the thickness of aluminum foil mass of aluminum = 1.15 g density of aluminum = 2.70 g cm 3 d = m v v =. How To Find Density Of Aluminum Foil.
From www.museoinclusivo.com
The Density of Aluminum Foil Exploring its Properties and Applications How To Find Density Of Aluminum Foil The density is calculated by dividing the mass by the volume. First, you will need to determine the weight of the aluminum foil. The thickness of aluminum foil calculator is a tool that helps you determine the thickness of an aluminum foil sheet in microns. This video covers determining the thickness of the aluminum foil using density, mass,. Use a. How To Find Density Of Aluminum Foil.
From questions.kunduz.com
(4pts) Determining the Thickness of Aluminum Foil Be su... Math How To Find Density Of Aluminum Foil The thickness of aluminum foil calculator is a tool that helps you determine the thickness of an aluminum foil sheet in microns. Select a section of foil: First, you will need to determine the weight of the aluminum foil. Calculating the thickness of aluminum foil mass of aluminum = 1.15 g density of aluminum = 2.70 g cm 3 d. How To Find Density Of Aluminum Foil.
From guadalupe-yersblogvalentine.blogspot.com
How Many Atoms Thick Is Aluminum Foil How To Find Density Of Aluminum Foil This can be done by weighing a specific area of the foil using a. First, you will need to determine the weight of the aluminum foil. This calculation can be useful in various. Known density of aluminum (2.7g/cm 3). The thickness of aluminum foil calculator is a tool that helps you determine the thickness of an aluminum foil sheet in. How To Find Density Of Aluminum Foil.
From www.slideserve.com
PPT Jumpstart PowerPoint Presentation ID2719828 How To Find Density Of Aluminum Foil This calculation can be useful in various. The values needed to measure the thickness of aluminum foil are the length, width and weight of the sample and the known. Each regula r solid has its own formula for calculating its volume. Use a standard 30cm wide aluminum foil roll. Known density of aluminum (2.7g/cm 3). First, you will need to. How To Find Density Of Aluminum Foil.
From patents.google.com
WO2006113847A2 Method for adding boron to metal alloys Google Patents How To Find Density Of Aluminum Foil Cut a 100cm section for ease of calculation. This calculation can be useful in various. This can be done by weighing a specific area of the foil using a. Select a section of foil: Calculating the thickness of aluminum foil mass of aluminum = 1.15 g density of aluminum = 2.70 g cm 3 d = m v v =. How To Find Density Of Aluminum Foil.
From www.chegg.com
Solved Table 7 The Thickness of Aluminium Foil 1. Use your How To Find Density Of Aluminum Foil The density is calculated by dividing the mass by the volume. This calculation can be useful in various. Known density of aluminum (2.7g/cm 3). This video covers determining the thickness of the aluminum foil using density, mass,. First, you will need to determine the weight of the aluminum foil. Cut a 100cm section for ease of calculation. Select a section. How To Find Density Of Aluminum Foil.
From ingrid-kmoore.blogspot.com
Aluminum Has a Density of 2.7 G Cm3 How To Find Density Of Aluminum Foil This can be done by weighing a specific area of the foil using a. The values needed to measure the thickness of aluminum foil are the length, width and weight of the sample and the known. Select a section of foil: First, you will need to determine the weight of the aluminum foil. Each regula r solid has its own. How To Find Density Of Aluminum Foil.
From www.numerade.com
Aluminum has a density of 2.70 g/mL. Calculate the mass (in grams) of a How To Find Density Of Aluminum Foil The values needed to measure the thickness of aluminum foil are the length, width and weight of the sample and the known. First, you will need to determine the weight of the aluminum foil. Each regula r solid has its own formula for calculating its volume. Calculating the thickness of aluminum foil mass of aluminum = 1.15 g density of. How To Find Density Of Aluminum Foil.
From www.gauthmath.com
Solved The density of solid aluminum is 2.70g/cm^3. If a 1g piece of How To Find Density Of Aluminum Foil First, you will need to determine the weight of the aluminum foil. Calculating the thickness of aluminum foil mass of aluminum = 1.15 g density of aluminum = 2.70 g cm 3 d = m v v = l ⋅w ⋅h so d = m l ⋅w ⋅h. Known density of aluminum (2.7g/cm 3). Cut a 100cm section for ease. How To Find Density Of Aluminum Foil.
From www.youtube.com
Ch. 1 Thickness of Al Foil (density, complex units) YouTube How To Find Density Of Aluminum Foil Cut a 100cm section for ease of calculation. Calculating the thickness of aluminum foil mass of aluminum = 1.15 g density of aluminum = 2.70 g cm 3 d = m v v = l ⋅w ⋅h so d = m l ⋅w ⋅h. Use a standard 30cm wide aluminum foil roll. First, you will need to determine the weight. How To Find Density Of Aluminum Foil.
From www.chegg.com
Solved Trial 30.22 cm Length of Aluminum Foil Width of How To Find Density Of Aluminum Foil Calculating the thickness of aluminum foil mass of aluminum = 1.15 g density of aluminum = 2.70 g cm 3 d = m v v = l ⋅w ⋅h so d = m l ⋅w ⋅h. Select a section of foil: Use a standard 30cm wide aluminum foil roll. The values needed to measure the thickness of aluminum foil are. How To Find Density Of Aluminum Foil.
From www.numerade.com
SOLVED Rolls of foil are 308 mm wide and 0.017 mm thick. (The density How To Find Density Of Aluminum Foil Each regula r solid has its own formula for calculating its volume. Select a section of foil: This calculation can be useful in various. Calculating the thickness of aluminum foil mass of aluminum = 1.15 g density of aluminum = 2.70 g cm 3 d = m v v = l ⋅w ⋅h so d = m l ⋅w ⋅h.. How To Find Density Of Aluminum Foil.
From www.coursehero.com
[Solved] Aluminium has a density of 2.70 g/cm3 . How many moles of How To Find Density Of Aluminum Foil Known density of aluminum (2.7g/cm 3). Use a standard 30cm wide aluminum foil roll. This video covers determining the thickness of the aluminum foil using density, mass,. Each regula r solid has its own formula for calculating its volume. The density is calculated by dividing the mass by the volume. Cut a 100cm section for ease of calculation. This calculation. How To Find Density Of Aluminum Foil.
From slideplayer.com
U1D7 Density and Thickness of Aluminum Lab ppt download How To Find Density Of Aluminum Foil Use a standard 30cm wide aluminum foil roll. This calculation can be useful in various. The density is calculated by dividing the mass by the volume. This video covers determining the thickness of the aluminum foil using density, mass,. The values needed to measure the thickness of aluminum foil are the length, width and weight of the sample and the. How To Find Density Of Aluminum Foil.
From www.foismetal.com
Density of Aluminum and How it Affects Manufacturing How To Find Density Of Aluminum Foil Use a standard 30cm wide aluminum foil roll. The thickness of aluminum foil calculator is a tool that helps you determine the thickness of an aluminum foil sheet in microns. Select a section of foil: Calculating the thickness of aluminum foil mass of aluminum = 1.15 g density of aluminum = 2.70 g cm 3 d = m v v. How To Find Density Of Aluminum Foil.
From www.chegg.com
Solved 5. if a piece of aluminum foil ways 0.225 grams and How To Find Density Of Aluminum Foil This video covers determining the thickness of the aluminum foil using density, mass,. This calculation can be useful in various. The thickness of aluminum foil calculator is a tool that helps you determine the thickness of an aluminum foil sheet in microns. Cut a 100cm section for ease of calculation. First, you will need to determine the weight of the. How To Find Density Of Aluminum Foil.
From www.numerade.com
SOLVED Consider a 0.05mm thick, 500 mm^2 (about three times the area How To Find Density Of Aluminum Foil The thickness of aluminum foil calculator is a tool that helps you determine the thickness of an aluminum foil sheet in microns. Known density of aluminum (2.7g/cm 3). Calculating the thickness of aluminum foil mass of aluminum = 1.15 g density of aluminum = 2.70 g cm 3 d = m v v = l ⋅w ⋅h so d =. How To Find Density Of Aluminum Foil.
From www.researchgate.net
Thickness of aluminium foils at different current density and How To Find Density Of Aluminum Foil Use a standard 30cm wide aluminum foil roll. This video covers determining the thickness of the aluminum foil using density, mass,. Select a section of foil: The density is calculated by dividing the mass by the volume. The thickness of aluminum foil calculator is a tool that helps you determine the thickness of an aluminum foil sheet in microns. This. How To Find Density Of Aluminum Foil.
From www.chegg.com
Solved Jdien s Estimating the thickness of aluminum foil. 4. How To Find Density Of Aluminum Foil Each regula r solid has its own formula for calculating its volume. The density is calculated by dividing the mass by the volume. First, you will need to determine the weight of the aluminum foil. Use a standard 30cm wide aluminum foil roll. The values needed to measure the thickness of aluminum foil are the length, width and weight of. How To Find Density Of Aluminum Foil.