Formula Sheet University . Make sure you know what each variable means and how it is defined. 1 m3= 1000 liters 1 atm = 1.01 𝑥𝑥 105pa 1 pa = 1 n/m2. Make sure you know when that equation is. Other than this front cover these tables are identical to the umist, version 2.0. Physics formula sheet mechanics electricity geometry trigonometry v = v 0 + at x = x 0 + vx 0 t + axt 1 2 2 variables a = acceleration a =. (area of circle a=πr2) physics 101 formulas. Rate of approach = rate of recession.
from www.dochub.com
Physics formula sheet mechanics electricity geometry trigonometry v = v 0 + at x = x 0 + vx 0 t + axt 1 2 2 variables a = acceleration a =. (area of circle a=πr2) physics 101 formulas. Make sure you know when that equation is. Make sure you know what each variable means and how it is defined. Rate of approach = rate of recession. 1 m3= 1000 liters 1 atm = 1.01 𝑥𝑥 105pa 1 pa = 1 n/m2. Other than this front cover these tables are identical to the umist, version 2.0.
Formula sheet Fill out & sign online DocHub
Formula Sheet University Make sure you know what each variable means and how it is defined. Physics formula sheet mechanics electricity geometry trigonometry v = v 0 + at x = x 0 + vx 0 t + axt 1 2 2 variables a = acceleration a =. Make sure you know what each variable means and how it is defined. (area of circle a=πr2) physics 101 formulas. Other than this front cover these tables are identical to the umist, version 2.0. 1 m3= 1000 liters 1 atm = 1.01 𝑥𝑥 105pa 1 pa = 1 n/m2. Make sure you know when that equation is. Rate of approach = rate of recession.
From www.formsbank.com
General Physics I Final Exam Formula Sheet printable pdf download Formula Sheet University Rate of approach = rate of recession. (area of circle a=πr2) physics 101 formulas. Make sure you know when that equation is. Other than this front cover these tables are identical to the umist, version 2.0. Make sure you know what each variable means and how it is defined. Physics formula sheet mechanics electricity geometry trigonometry v = v 0. Formula Sheet University.
From studioleave8.gitlab.io
Marvelous Physics Formula Sheet University First Year Class 11 All Pdf Formula Sheet University (area of circle a=πr2) physics 101 formulas. 1 m3= 1000 liters 1 atm = 1.01 𝑥𝑥 105pa 1 pa = 1 n/m2. Physics formula sheet mechanics electricity geometry trigonometry v = v 0 + at x = x 0 + vx 0 t + axt 1 2 2 variables a = acceleration a =. Make sure you know what each. Formula Sheet University.
From panotbook.com
[PDF] Physics Formula Sheet For NEET PDF Panot Book Formula Sheet University Make sure you know what each variable means and how it is defined. Make sure you know when that equation is. Other than this front cover these tables are identical to the umist, version 2.0. 1 m3= 1000 liters 1 atm = 1.01 𝑥𝑥 105pa 1 pa = 1 n/m2. Rate of approach = rate of recession. Physics formula sheet. Formula Sheet University.
From www.templateroller.com
Algebra Formula Sheet Download Printable PDF Templateroller Formula Sheet University Make sure you know when that equation is. Rate of approach = rate of recession. Make sure you know what each variable means and how it is defined. (area of circle a=πr2) physics 101 formulas. Other than this front cover these tables are identical to the umist, version 2.0. Physics formula sheet mechanics electricity geometry trigonometry v = v 0. Formula Sheet University.
From www.scribd.com
University Physics Equation Sheet Quantity Mass Formula Sheet University (area of circle a=πr2) physics 101 formulas. Other than this front cover these tables are identical to the umist, version 2.0. Rate of approach = rate of recession. Physics formula sheet mechanics electricity geometry trigonometry v = v 0 + at x = x 0 + vx 0 t + axt 1 2 2 variables a = acceleration a =.. Formula Sheet University.
From www.reddit.com
Algebra Formula Sheet I Found Online ) r/Sat Formula Sheet University (area of circle a=πr2) physics 101 formulas. Other than this front cover these tables are identical to the umist, version 2.0. Make sure you know when that equation is. Make sure you know what each variable means and how it is defined. 1 m3= 1000 liters 1 atm = 1.01 𝑥𝑥 105pa 1 pa = 1 n/m2. Rate of approach. Formula Sheet University.
From www.studocu.com
Physics formulas Physic 1201 FINAL EXAM FORMULA SHEET Vectors Formula Sheet University Make sure you know when that equation is. Make sure you know what each variable means and how it is defined. Other than this front cover these tables are identical to the umist, version 2.0. (area of circle a=πr2) physics 101 formulas. Rate of approach = rate of recession. 1 m3= 1000 liters 1 atm = 1.01 𝑥𝑥 105pa 1. Formula Sheet University.
From www.uslegalforms.com
Algebra Formula Sheet 20202021 Fill and Sign Printable Template Formula Sheet University Physics formula sheet mechanics electricity geometry trigonometry v = v 0 + at x = x 0 + vx 0 t + axt 1 2 2 variables a = acceleration a =. 1 m3= 1000 liters 1 atm = 1.01 𝑥𝑥 105pa 1 pa = 1 n/m2. (area of circle a=πr2) physics 101 formulas. Rate of approach = rate of. Formula Sheet University.
From www.templateroller.com
College Algebra Formula Cheat Sheet Download Printable PDF Templateroller Formula Sheet University Make sure you know what each variable means and how it is defined. Other than this front cover these tables are identical to the umist, version 2.0. Physics formula sheet mechanics electricity geometry trigonometry v = v 0 + at x = x 0 + vx 0 t + axt 1 2 2 variables a = acceleration a =. (area. Formula Sheet University.
From www.youtube.com
AP Physics 1 Formula Sheet Walkthrough and Discussion YouTube Formula Sheet University (area of circle a=πr2) physics 101 formulas. Make sure you know when that equation is. Make sure you know what each variable means and how it is defined. 1 m3= 1000 liters 1 atm = 1.01 𝑥𝑥 105pa 1 pa = 1 n/m2. Other than this front cover these tables are identical to the umist, version 2.0. Rate of approach. Formula Sheet University.
From www.dochub.com
Formula sheet Fill out & sign online DocHub Formula Sheet University Make sure you know when that equation is. Physics formula sheet mechanics electricity geometry trigonometry v = v 0 + at x = x 0 + vx 0 t + axt 1 2 2 variables a = acceleration a =. 1 m3= 1000 liters 1 atm = 1.01 𝑥𝑥 105pa 1 pa = 1 n/m2. Other than this front cover. Formula Sheet University.
From ar.inspiredpencil.com
Algebra 1 Formula Sheet Formula Sheet University (area of circle a=πr2) physics 101 formulas. Physics formula sheet mechanics electricity geometry trigonometry v = v 0 + at x = x 0 + vx 0 t + axt 1 2 2 variables a = acceleration a =. 1 m3= 1000 liters 1 atm = 1.01 𝑥𝑥 105pa 1 pa = 1 n/m2. Make sure you know what each. Formula Sheet University.
From www.studypool.com
SOLUTION College physics formula sheet Studypool Formula Sheet University Rate of approach = rate of recession. Physics formula sheet mechanics electricity geometry trigonometry v = v 0 + at x = x 0 + vx 0 t + axt 1 2 2 variables a = acceleration a =. 1 m3= 1000 liters 1 atm = 1.01 𝑥𝑥 105pa 1 pa = 1 n/m2. Make sure you know when that. Formula Sheet University.
From www.studocu.com
Formula Sheet Units 13 MATH 1060 Formula sheet Wednesday, December Formula Sheet University 1 m3= 1000 liters 1 atm = 1.01 𝑥𝑥 105pa 1 pa = 1 n/m2. Make sure you know what each variable means and how it is defined. Other than this front cover these tables are identical to the umist, version 2.0. Physics formula sheet mechanics electricity geometry trigonometry v = v 0 + at x = x 0 +. Formula Sheet University.
From www.studocu.com
Physics formula sheet for exams ________ Formula Sheet, Phys 101 Formula Sheet University Rate of approach = rate of recession. 1 m3= 1000 liters 1 atm = 1.01 𝑥𝑥 105pa 1 pa = 1 n/m2. Make sure you know what each variable means and how it is defined. Make sure you know when that equation is. Physics formula sheet mechanics electricity geometry trigonometry v = v 0 + at x = x 0. Formula Sheet University.
From www.studocu.com
AP Macroeconomics Formula Sheet ECONUA1 StuDocu Formula Sheet University 1 m3= 1000 liters 1 atm = 1.01 𝑥𝑥 105pa 1 pa = 1 n/m2. Rate of approach = rate of recession. Make sure you know when that equation is. Other than this front cover these tables are identical to the umist, version 2.0. Make sure you know what each variable means and how it is defined. (area of circle. Formula Sheet University.
From blog.prepscholar.com
AP Bio Formula Sheet What's on It and How to Use It Formula Sheet University Make sure you know when that equation is. (area of circle a=πr2) physics 101 formulas. 1 m3= 1000 liters 1 atm = 1.01 𝑥𝑥 105pa 1 pa = 1 n/m2. Physics formula sheet mechanics electricity geometry trigonometry v = v 0 + at x = x 0 + vx 0 t + axt 1 2 2 variables a = acceleration. Formula Sheet University.
From www.studocu.com
Final Formula Sheet Formula Sheet Formulas for proportions Formula Sheet University Rate of approach = rate of recession. Other than this front cover these tables are identical to the umist, version 2.0. Physics formula sheet mechanics electricity geometry trigonometry v = v 0 + at x = x 0 + vx 0 t + axt 1 2 2 variables a = acceleration a =. Make sure you know when that equation. Formula Sheet University.
From www.studocu.com
Formula Sheet version 1 University of Technology Sydney School of Formula Sheet University Make sure you know when that equation is. Rate of approach = rate of recession. 1 m3= 1000 liters 1 atm = 1.01 𝑥𝑥 105pa 1 pa = 1 n/m2. (area of circle a=πr2) physics 101 formulas. Make sure you know what each variable means and how it is defined. Other than this front cover these tables are identical to. Formula Sheet University.
From www.studocu.com
Physics Formula Sheet PPhhyyssiiccss FFoorrmmuullaa SShheeeett Formula Sheet University Rate of approach = rate of recession. 1 m3= 1000 liters 1 atm = 1.01 𝑥𝑥 105pa 1 pa = 1 n/m2. (area of circle a=πr2) physics 101 formulas. Make sure you know what each variable means and how it is defined. Other than this front cover these tables are identical to the umist, version 2.0. Physics formula sheet mechanics. Formula Sheet University.
From oneclass.com
PHYSICS 1B Final Physics 1B Final Formula Sheet OneClass Formula Sheet University 1 m3= 1000 liters 1 atm = 1.01 𝑥𝑥 105pa 1 pa = 1 n/m2. Make sure you know when that equation is. Physics formula sheet mechanics electricity geometry trigonometry v = v 0 + at x = x 0 + vx 0 t + axt 1 2 2 variables a = acceleration a =. Rate of approach = rate. Formula Sheet University.
From www.etsy.com
5 Math Formula Sheets, PDF Instant Download, Printable, Letter Size Etsy Formula Sheet University Other than this front cover these tables are identical to the umist, version 2.0. Make sure you know what each variable means and how it is defined. Physics formula sheet mechanics electricity geometry trigonometry v = v 0 + at x = x 0 + vx 0 t + axt 1 2 2 variables a = acceleration a =. 1. Formula Sheet University.
From www.studocu.com
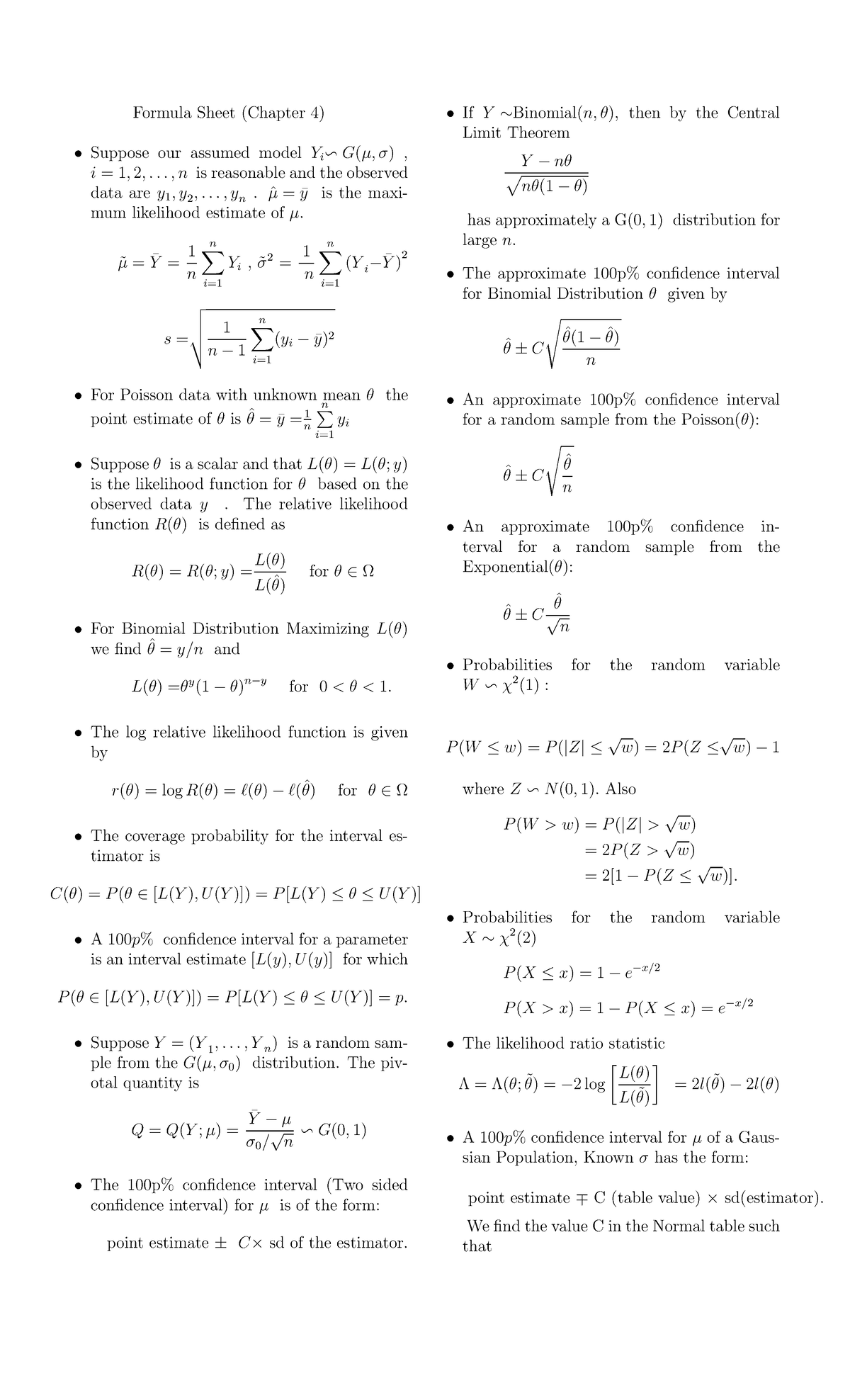
Formula sheets for exams If Y then the Central Limit Theorem Formula Formula Sheet University Physics formula sheet mechanics electricity geometry trigonometry v = v 0 + at x = x 0 + vx 0 t + axt 1 2 2 variables a = acceleration a =. Make sure you know what each variable means and how it is defined. (area of circle a=πr2) physics 101 formulas. Other than this front cover these tables are. Formula Sheet University.
From www.studocu.com
College Algebra Formula Sheet College Algebra Instructor David Katz Formula Sheet University Rate of approach = rate of recession. Other than this front cover these tables are identical to the umist, version 2.0. Physics formula sheet mechanics electricity geometry trigonometry v = v 0 + at x = x 0 + vx 0 t + axt 1 2 2 variables a = acceleration a =. (area of circle a=πr2) physics 101 formulas.. Formula Sheet University.
From www.studocu.com
Chemistry Formula Sheet Chemistry Formula Sheet PURPOSE FORMULA Formula Sheet University Physics formula sheet mechanics electricity geometry trigonometry v = v 0 + at x = x 0 + vx 0 t + axt 1 2 2 variables a = acceleration a =. Make sure you know what each variable means and how it is defined. Other than this front cover these tables are identical to the umist, version 2.0. 1. Formula Sheet University.
From www.studocu.com
Final ExamSem12022 (Formula Sheets) FNCE10002 Principles of Finance Formula Sheet University Physics formula sheet mechanics electricity geometry trigonometry v = v 0 + at x = x 0 + vx 0 t + axt 1 2 2 variables a = acceleration a =. Make sure you know what each variable means and how it is defined. Other than this front cover these tables are identical to the umist, version 2.0. (area. Formula Sheet University.
From www.studocu.com
Ch 12,13,14,15 16Ready 2017 Spring Formula Sheets Formulas and Formula Sheet University 1 m3= 1000 liters 1 atm = 1.01 𝑥𝑥 105pa 1 pa = 1 n/m2. Make sure you know when that equation is. Rate of approach = rate of recession. Make sure you know what each variable means and how it is defined. Other than this front cover these tables are identical to the umist, version 2.0. (area of circle. Formula Sheet University.
From www.studocu.com
Chem Formula Sheet Final Exam Formula Sheet CH 301 c = 3 x 10 8 m/s Formula Sheet University Make sure you know what each variable means and how it is defined. (area of circle a=πr2) physics 101 formulas. Rate of approach = rate of recession. Other than this front cover these tables are identical to the umist, version 2.0. 1 m3= 1000 liters 1 atm = 1.01 𝑥𝑥 105pa 1 pa = 1 n/m2. Make sure you know. Formula Sheet University.
From physicsomets.netlify.app
University Physics 1 Formula Sheet Formula Sheet University Rate of approach = rate of recession. Physics formula sheet mechanics electricity geometry trigonometry v = v 0 + at x = x 0 + vx 0 t + axt 1 2 2 variables a = acceleration a =. Other than this front cover these tables are identical to the umist, version 2.0. (area of circle a=πr2) physics 101 formulas.. Formula Sheet University.
From www.studocu.com
Physics 201 Equation Sheet For Final Exam PHYS 201 g 9 2 , Formula Formula Sheet University Other than this front cover these tables are identical to the umist, version 2.0. Make sure you know what each variable means and how it is defined. (area of circle a=πr2) physics 101 formulas. Make sure you know when that equation is. Physics formula sheet mechanics electricity geometry trigonometry v = v 0 + at x = x 0 +. Formula Sheet University.
From www.studocu.com
Formula Sheet MATH 1414 College Algebra Formula Sheet Equations of Formula Sheet University Rate of approach = rate of recession. Make sure you know when that equation is. Make sure you know what each variable means and how it is defined. Physics formula sheet mechanics electricity geometry trigonometry v = v 0 + at x = x 0 + vx 0 t + axt 1 2 2 variables a = acceleration a =.. Formula Sheet University.
From www.docsity.com
Physics 211 formula sheet Docsity Formula Sheet University 1 m3= 1000 liters 1 atm = 1.01 𝑥𝑥 105pa 1 pa = 1 n/m2. Rate of approach = rate of recession. (area of circle a=πr2) physics 101 formulas. Physics formula sheet mechanics electricity geometry trigonometry v = v 0 + at x = x 0 + vx 0 t + axt 1 2 2 variables a = acceleration a. Formula Sheet University.
From www.studocu.com
Formula sheet containing all the formulas necessary to complete the Formula Sheet University Other than this front cover these tables are identical to the umist, version 2.0. Make sure you know what each variable means and how it is defined. 1 m3= 1000 liters 1 atm = 1.01 𝑥𝑥 105pa 1 pa = 1 n/m2. (area of circle a=πr2) physics 101 formulas. Physics formula sheet mechanics electricity geometry trigonometry v = v 0. Formula Sheet University.
From www.studocu.com
Formula Sheet STAT 337 S23 ————————————— Formula Sheet Formula Sheet University Make sure you know when that equation is. Physics formula sheet mechanics electricity geometry trigonometry v = v 0 + at x = x 0 + vx 0 t + axt 1 2 2 variables a = acceleration a =. Make sure you know what each variable means and how it is defined. Rate of approach = rate of recession.. Formula Sheet University.
From ar.inspiredpencil.com
College Physics Formula Sheet Pdf Formula Sheet University (area of circle a=πr2) physics 101 formulas. Rate of approach = rate of recession. 1 m3= 1000 liters 1 atm = 1.01 𝑥𝑥 105pa 1 pa = 1 n/m2. Physics formula sheet mechanics electricity geometry trigonometry v = v 0 + at x = x 0 + vx 0 t + axt 1 2 2 variables a = acceleration a. Formula Sheet University.