Average Coverage For A Gallon Of Paint . One gallon of ceiling paint will cover approximately. One gallon of paint covers about 360 to 400 square feet, so if you divide 400 by 2,000, you. One gallon of typical latex paint usually covers 350 to 400 square feet of wall area. This paint calculator will help you estimate how many gallons you will need to paint your interior walls and ceiling based on the room’s dimensions and the square. Paint usually is applied at 350 to 400 square feet per gallon (primer at 200 to 300 square feet per gallon). Figuring out how much a gallon of paint covers will require some math and a little strategizing to ensure you don't come up short (or overbuy on paint). Optimizing your project with the paint coverage calculator. Planning a painting project involves more than. Use the area section below to calculate the walls and ceiling values.
from huepaints.com
Planning a painting project involves more than. Figuring out how much a gallon of paint covers will require some math and a little strategizing to ensure you don't come up short (or overbuy on paint). One gallon of ceiling paint will cover approximately. This paint calculator will help you estimate how many gallons you will need to paint your interior walls and ceiling based on the room’s dimensions and the square. One gallon of typical latex paint usually covers 350 to 400 square feet of wall area. Paint usually is applied at 350 to 400 square feet per gallon (primer at 200 to 300 square feet per gallon). Use the area section below to calculate the walls and ceiling values. Optimizing your project with the paint coverage calculator. One gallon of paint covers about 360 to 400 square feet, so if you divide 400 by 2,000, you.
How Much is a Gallon of Paint at Sherwin Williams? Find Out the Cost
Average Coverage For A Gallon Of Paint One gallon of ceiling paint will cover approximately. This paint calculator will help you estimate how many gallons you will need to paint your interior walls and ceiling based on the room’s dimensions and the square. Planning a painting project involves more than. One gallon of ceiling paint will cover approximately. One gallon of paint covers about 360 to 400 square feet, so if you divide 400 by 2,000, you. One gallon of typical latex paint usually covers 350 to 400 square feet of wall area. Optimizing your project with the paint coverage calculator. Figuring out how much a gallon of paint covers will require some math and a little strategizing to ensure you don't come up short (or overbuy on paint). Use the area section below to calculate the walls and ceiling values. Paint usually is applied at 350 to 400 square feet per gallon (primer at 200 to 300 square feet per gallon).
From www.dundensonra.com
Paint Calculator How Many Gallons of Paint You Need Average Coverage For A Gallon Of Paint Optimizing your project with the paint coverage calculator. One gallon of ceiling paint will cover approximately. Planning a painting project involves more than. Paint usually is applied at 350 to 400 square feet per gallon (primer at 200 to 300 square feet per gallon). Use the area section below to calculate the walls and ceiling values. One gallon of typical. Average Coverage For A Gallon Of Paint.
From www.resnooze.com
How Many Gallons Of Paint Is Needed For A Bedroom Average Coverage For A Gallon Of Paint One gallon of typical latex paint usually covers 350 to 400 square feet of wall area. Planning a painting project involves more than. This paint calculator will help you estimate how many gallons you will need to paint your interior walls and ceiling based on the room’s dimensions and the square. Paint usually is applied at 350 to 400 square. Average Coverage For A Gallon Of Paint.
From exoizvsog.blob.core.windows.net
How Much Does The Average Gallon Of Paint Cost at Janel Edmonds blog Average Coverage For A Gallon Of Paint This paint calculator will help you estimate how many gallons you will need to paint your interior walls and ceiling based on the room’s dimensions and the square. One gallon of ceiling paint will cover approximately. One gallon of paint covers about 360 to 400 square feet, so if you divide 400 by 2,000, you. Optimizing your project with the. Average Coverage For A Gallon Of Paint.
From www.inf-inet.com
A Gallon Of Paint Coverage Average Coverage For A Gallon Of Paint Paint usually is applied at 350 to 400 square feet per gallon (primer at 200 to 300 square feet per gallon). Planning a painting project involves more than. Optimizing your project with the paint coverage calculator. This paint calculator will help you estimate how many gallons you will need to paint your interior walls and ceiling based on the room’s. Average Coverage For A Gallon Of Paint.
From shunshelter.com
Exterior Paint Coverage Gallons Needed Per Square Foot ShunShelter Average Coverage For A Gallon Of Paint One gallon of paint covers about 360 to 400 square feet, so if you divide 400 by 2,000, you. This paint calculator will help you estimate how many gallons you will need to paint your interior walls and ceiling based on the room’s dimensions and the square. One gallon of typical latex paint usually covers 350 to 400 square feet. Average Coverage For A Gallon Of Paint.
From www.hdconstructionco.com
What's the Total Coverage Area for 5 Gallons of Paint? HD ConstructionCo Average Coverage For A Gallon Of Paint Use the area section below to calculate the walls and ceiling values. Optimizing your project with the paint coverage calculator. Planning a painting project involves more than. One gallon of ceiling paint will cover approximately. One gallon of paint covers about 360 to 400 square feet, so if you divide 400 by 2,000, you. This paint calculator will help you. Average Coverage For A Gallon Of Paint.
From www.vrogue.co
1 Gallon Paint Coverage Sherwin Williams Painting vrogue.co Average Coverage For A Gallon Of Paint Figuring out how much a gallon of paint covers will require some math and a little strategizing to ensure you don't come up short (or overbuy on paint). One gallon of paint covers about 360 to 400 square feet, so if you divide 400 by 2,000, you. Optimizing your project with the paint coverage calculator. One gallon of typical latex. Average Coverage For A Gallon Of Paint.
From forgivenmistakes.blogspot.com
how much does gallon of paint cover There Was A Huge log Sales Of Average Coverage For A Gallon Of Paint This paint calculator will help you estimate how many gallons you will need to paint your interior walls and ceiling based on the room’s dimensions and the square. One gallon of typical latex paint usually covers 350 to 400 square feet of wall area. One gallon of ceiling paint will cover approximately. One gallon of paint covers about 360 to. Average Coverage For A Gallon Of Paint.
From designingidea.com
Paint Can Sizes (Standard Containers & Wall Coverage) Designing Idea Average Coverage For A Gallon Of Paint Optimizing your project with the paint coverage calculator. One gallon of typical latex paint usually covers 350 to 400 square feet of wall area. This paint calculator will help you estimate how many gallons you will need to paint your interior walls and ceiling based on the room’s dimensions and the square. Planning a painting project involves more than. Paint. Average Coverage For A Gallon Of Paint.
From www.ttprismproducts.com
Gallon Paint Custom Aerosol Spray Paint Color Matched Spray Paint Average Coverage For A Gallon Of Paint Planning a painting project involves more than. One gallon of typical latex paint usually covers 350 to 400 square feet of wall area. Figuring out how much a gallon of paint covers will require some math and a little strategizing to ensure you don't come up short (or overbuy on paint). One gallon of ceiling paint will cover approximately. This. Average Coverage For A Gallon Of Paint.
From sensibledigs.com
How Much is a Gallon of Paint? Factors to Consider Average Coverage For A Gallon Of Paint Paint usually is applied at 350 to 400 square feet per gallon (primer at 200 to 300 square feet per gallon). This paint calculator will help you estimate how many gallons you will need to paint your interior walls and ceiling based on the room’s dimensions and the square. Optimizing your project with the paint coverage calculator. Use the area. Average Coverage For A Gallon Of Paint.
From www.tffn.net
How Much Does a Gallon of Paint Cost? A Comprehensive Guide The Average Coverage For A Gallon Of Paint This paint calculator will help you estimate how many gallons you will need to paint your interior walls and ceiling based on the room’s dimensions and the square. One gallon of ceiling paint will cover approximately. One gallon of typical latex paint usually covers 350 to 400 square feet of wall area. Use the area section below to calculate the. Average Coverage For A Gallon Of Paint.
From jacqueline-jia.blogspot.com
How Many Square Feet Will A Gallon Of Paint Cover JacquelineJia Average Coverage For A Gallon Of Paint Use the area section below to calculate the walls and ceiling values. Figuring out how much a gallon of paint covers will require some math and a little strategizing to ensure you don't come up short (or overbuy on paint). One gallon of typical latex paint usually covers 350 to 400 square feet of wall area. Paint usually is applied. Average Coverage For A Gallon Of Paint.
From www.numerade.com
A gallon of paint covers 350 ft^2. What's its coverage in m^2 / L Average Coverage For A Gallon Of Paint Optimizing your project with the paint coverage calculator. One gallon of paint covers about 360 to 400 square feet, so if you divide 400 by 2,000, you. Figuring out how much a gallon of paint covers will require some math and a little strategizing to ensure you don't come up short (or overbuy on paint). This paint calculator will help. Average Coverage For A Gallon Of Paint.
From coremymages.blogspot.com
How Much Does An Average Gallon Of Paint Cost Coremymages Average Coverage For A Gallon Of Paint Figuring out how much a gallon of paint covers will require some math and a little strategizing to ensure you don't come up short (or overbuy on paint). Optimizing your project with the paint coverage calculator. One gallon of paint covers about 360 to 400 square feet, so if you divide 400 by 2,000, you. One gallon of ceiling paint. Average Coverage For A Gallon Of Paint.
From elitepropainting.com
Estimating Paint Quantity How Many Gallons Do You Need? Painters Average Coverage For A Gallon Of Paint One gallon of paint covers about 360 to 400 square feet, so if you divide 400 by 2,000, you. This paint calculator will help you estimate how many gallons you will need to paint your interior walls and ceiling based on the room’s dimensions and the square. One gallon of ceiling paint will cover approximately. Use the area section below. Average Coverage For A Gallon Of Paint.
From knockoffdecor.com
Paint Sizes Find out Just How Much Paint You Should Buy Average Coverage For A Gallon Of Paint Use the area section below to calculate the walls and ceiling values. One gallon of paint covers about 360 to 400 square feet, so if you divide 400 by 2,000, you. Planning a painting project involves more than. Figuring out how much a gallon of paint covers will require some math and a little strategizing to ensure you don't come. Average Coverage For A Gallon Of Paint.
From www.angi.com
How Much Paint Do I Need? Average Coverage For A Gallon Of Paint This paint calculator will help you estimate how many gallons you will need to paint your interior walls and ceiling based on the room’s dimensions and the square. One gallon of typical latex paint usually covers 350 to 400 square feet of wall area. Paint usually is applied at 350 to 400 square feet per gallon (primer at 200 to. Average Coverage For A Gallon Of Paint.
From www.pinterest.com
Paint Calculator Estimate Paint and Primer Coverage Gallon of paint Average Coverage For A Gallon Of Paint One gallon of ceiling paint will cover approximately. Optimizing your project with the paint coverage calculator. Figuring out how much a gallon of paint covers will require some math and a little strategizing to ensure you don't come up short (or overbuy on paint). This paint calculator will help you estimate how many gallons you will need to paint your. Average Coverage For A Gallon Of Paint.
From www.clare.com
How much does a gallon of paint cover? Clare Average Coverage For A Gallon Of Paint This paint calculator will help you estimate how many gallons you will need to paint your interior walls and ceiling based on the room’s dimensions and the square. Figuring out how much a gallon of paint covers will require some math and a little strategizing to ensure you don't come up short (or overbuy on paint). Paint usually is applied. Average Coverage For A Gallon Of Paint.
From arehanovalerysays.blogspot.com
how much area will one gallon of paint cover Valery Arehano Average Coverage For A Gallon Of Paint Figuring out how much a gallon of paint covers will require some math and a little strategizing to ensure you don't come up short (or overbuy on paint). This paint calculator will help you estimate how many gallons you will need to paint your interior walls and ceiling based on the room’s dimensions and the square. Optimizing your project with. Average Coverage For A Gallon Of Paint.
From sensibledigs.com
How Much is a Gallon of Paint? (Factors to Consider) Sensible Digs Average Coverage For A Gallon Of Paint One gallon of paint covers about 360 to 400 square feet, so if you divide 400 by 2,000, you. Paint usually is applied at 350 to 400 square feet per gallon (primer at 200 to 300 square feet per gallon). This paint calculator will help you estimate how many gallons you will need to paint your interior walls and ceiling. Average Coverage For A Gallon Of Paint.
From www.slideserve.com
PPT Advanced Math PowerPoint Presentation ID351174 Average Coverage For A Gallon Of Paint Use the area section below to calculate the walls and ceiling values. One gallon of typical latex paint usually covers 350 to 400 square feet of wall area. Optimizing your project with the paint coverage calculator. Planning a painting project involves more than. Paint usually is applied at 350 to 400 square feet per gallon (primer at 200 to 300. Average Coverage For A Gallon Of Paint.
From paintschoices.blogspot.com
How Much Coverage For A Gallon Of Paint Paint Choices Average Coverage For A Gallon Of Paint Use the area section below to calculate the walls and ceiling values. Optimizing your project with the paint coverage calculator. Planning a painting project involves more than. Paint usually is applied at 350 to 400 square feet per gallon (primer at 200 to 300 square feet per gallon). One gallon of paint covers about 360 to 400 square feet, so. Average Coverage For A Gallon Of Paint.
From paintersinbergencountynj.com
How Much Does A Gallon Of Paint Cover? Painters In Bergen County NJ Average Coverage For A Gallon Of Paint Planning a painting project involves more than. One gallon of typical latex paint usually covers 350 to 400 square feet of wall area. One gallon of ceiling paint will cover approximately. One gallon of paint covers about 360 to 400 square feet, so if you divide 400 by 2,000, you. Use the area section below to calculate the walls and. Average Coverage For A Gallon Of Paint.
From www.resnooze.com
How Many Gallons Of Paint Per Bedroom Average Coverage For A Gallon Of Paint One gallon of paint covers about 360 to 400 square feet, so if you divide 400 by 2,000, you. Figuring out how much a gallon of paint covers will require some math and a little strategizing to ensure you don't come up short (or overbuy on paint). Use the area section below to calculate the walls and ceiling values. This. Average Coverage For A Gallon Of Paint.
From www.clare.com
How much does a gallon of paint cover? Clare Average Coverage For A Gallon Of Paint Paint usually is applied at 350 to 400 square feet per gallon (primer at 200 to 300 square feet per gallon). One gallon of ceiling paint will cover approximately. This paint calculator will help you estimate how many gallons you will need to paint your interior walls and ceiling based on the room’s dimensions and the square. Figuring out how. Average Coverage For A Gallon Of Paint.
From www.realsimple.com
How Much Does a Gallon of Paint Cover? Average Coverage For A Gallon Of Paint Use the area section below to calculate the walls and ceiling values. One gallon of paint covers about 360 to 400 square feet, so if you divide 400 by 2,000, you. Paint usually is applied at 350 to 400 square feet per gallon (primer at 200 to 300 square feet per gallon). One gallon of ceiling paint will cover approximately.. Average Coverage For A Gallon Of Paint.
From www.paintingdenver.net
How Many Gallons of Paint Needed to Paint a House Eco Paint, Inc. Average Coverage For A Gallon Of Paint One gallon of ceiling paint will cover approximately. Planning a painting project involves more than. Optimizing your project with the paint coverage calculator. One gallon of typical latex paint usually covers 350 to 400 square feet of wall area. Use the area section below to calculate the walls and ceiling values. Paint usually is applied at 350 to 400 square. Average Coverage For A Gallon Of Paint.
From huepaints.com
How Much is a Gallon of Paint at Sherwin Williams? Find Out the Cost Average Coverage For A Gallon Of Paint Use the area section below to calculate the walls and ceiling values. Figuring out how much a gallon of paint covers will require some math and a little strategizing to ensure you don't come up short (or overbuy on paint). One gallon of ceiling paint will cover approximately. This paint calculator will help you estimate how many gallons you will. Average Coverage For A Gallon Of Paint.
From melissaapowerso.blob.core.windows.net
How Many Gallons Of Paint To Paint Interior House at melissaapowerso blog Average Coverage For A Gallon Of Paint One gallon of paint covers about 360 to 400 square feet, so if you divide 400 by 2,000, you. Paint usually is applied at 350 to 400 square feet per gallon (primer at 200 to 300 square feet per gallon). One gallon of typical latex paint usually covers 350 to 400 square feet of wall area. Planning a painting project. Average Coverage For A Gallon Of Paint.
From knockoffdecor.com
Paint Sizes Find out Just How Much Paint You Should Buy Average Coverage For A Gallon Of Paint Figuring out how much a gallon of paint covers will require some math and a little strategizing to ensure you don't come up short (or overbuy on paint). Planning a painting project involves more than. One gallon of ceiling paint will cover approximately. Use the area section below to calculate the walls and ceiling values. Optimizing your project with the. Average Coverage For A Gallon Of Paint.
From corneridee.blogspot.com
How Much Paint Coverage In A Gallon / Does A Room Get Smaller When You Average Coverage For A Gallon Of Paint Planning a painting project involves more than. One gallon of ceiling paint will cover approximately. Paint usually is applied at 350 to 400 square feet per gallon (primer at 200 to 300 square feet per gallon). Optimizing your project with the paint coverage calculator. Figuring out how much a gallon of paint covers will require some math and a little. Average Coverage For A Gallon Of Paint.
From www.numerade.com
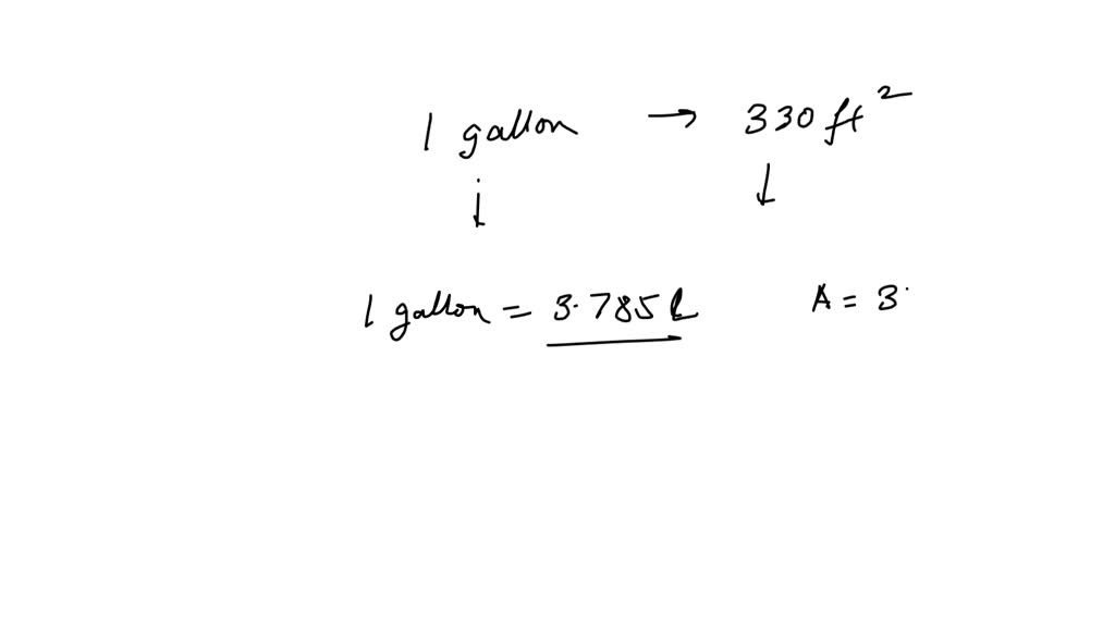
SOLVEDA gallon of paint covers 330 ft^2. What's its coverage in m^2 / L Average Coverage For A Gallon Of Paint One gallon of typical latex paint usually covers 350 to 400 square feet of wall area. Figuring out how much a gallon of paint covers will require some math and a little strategizing to ensure you don't come up short (or overbuy on paint). Optimizing your project with the paint coverage calculator. Planning a painting project involves more than. Use. Average Coverage For A Gallon Of Paint.
From goodimg.co
️How Many Paint Colors In A House Free Download Goodimg.co Average Coverage For A Gallon Of Paint One gallon of typical latex paint usually covers 350 to 400 square feet of wall area. One gallon of paint covers about 360 to 400 square feet, so if you divide 400 by 2,000, you. Planning a painting project involves more than. Paint usually is applied at 350 to 400 square feet per gallon (primer at 200 to 300 square. Average Coverage For A Gallon Of Paint.