Standard Enthalpy Of Formation N2O4 . 193 rows in chemistry and thermodynamics, the standard enthalpy of formation or standard heat of formation of a compound is the change of. The standard enthalpy of formation is a measure of the energy released or consumed when one mole of a substance is created under standard. The standard enthalpy of formation of any element in its standard state is zero by definition. Similarly, hydrogen is h 2 (g), not atomic hydrogen (h). Standard enthalpy change of formation (data table) these tables include heat of formation data gathered from a variety of sources, including. For example, although oxygen can exist as ozone (o 3), atomic oxygen (o), and molecular oxygen (o 2), o 2 is the most stable form at 1 atm pressure and 25°c.
from www.youtube.com
For example, although oxygen can exist as ozone (o 3), atomic oxygen (o), and molecular oxygen (o 2), o 2 is the most stable form at 1 atm pressure and 25°c. The standard enthalpy of formation is a measure of the energy released or consumed when one mole of a substance is created under standard. Standard enthalpy change of formation (data table) these tables include heat of formation data gathered from a variety of sources, including. Similarly, hydrogen is h 2 (g), not atomic hydrogen (h). The standard enthalpy of formation of any element in its standard state is zero by definition. 193 rows in chemistry and thermodynamics, the standard enthalpy of formation or standard heat of formation of a compound is the change of.
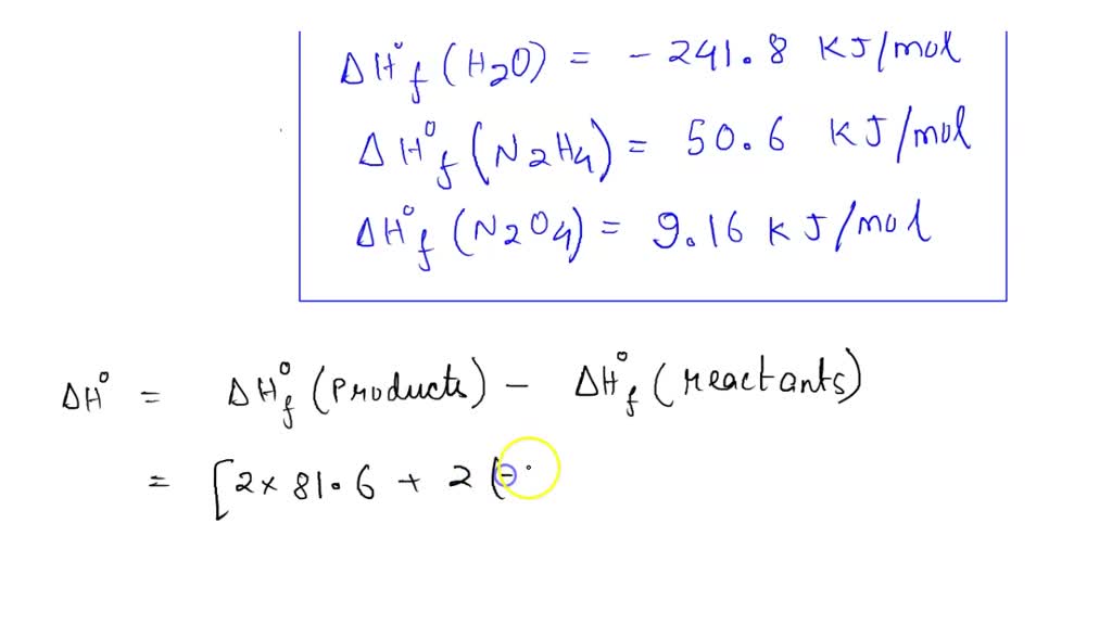
CHEM 101 Using Standard Enthalpies of Formation and Standard Enthalpy
Standard Enthalpy Of Formation N2O4 The standard enthalpy of formation of any element in its standard state is zero by definition. The standard enthalpy of formation of any element in its standard state is zero by definition. The standard enthalpy of formation is a measure of the energy released or consumed when one mole of a substance is created under standard. For example, although oxygen can exist as ozone (o 3), atomic oxygen (o), and molecular oxygen (o 2), o 2 is the most stable form at 1 atm pressure and 25°c. Standard enthalpy change of formation (data table) these tables include heat of formation data gathered from a variety of sources, including. Similarly, hydrogen is h 2 (g), not atomic hydrogen (h). 193 rows in chemistry and thermodynamics, the standard enthalpy of formation or standard heat of formation of a compound is the change of.
From www.numerade.com
SOLVED Calculate the Gibbs free energy for the formation of N2O4 gas Standard Enthalpy Of Formation N2O4 For example, although oxygen can exist as ozone (o 3), atomic oxygen (o), and molecular oxygen (o 2), o 2 is the most stable form at 1 atm pressure and 25°c. Standard enthalpy change of formation (data table) these tables include heat of formation data gathered from a variety of sources, including. The standard enthalpy of formation of any element. Standard Enthalpy Of Formation N2O4.
From www.studocu.com
Standard Enthalpy of Formation Table Standard Enthalpy of Formation Standard Enthalpy Of Formation N2O4 Similarly, hydrogen is h 2 (g), not atomic hydrogen (h). For example, although oxygen can exist as ozone (o 3), atomic oxygen (o), and molecular oxygen (o 2), o 2 is the most stable form at 1 atm pressure and 25°c. Standard enthalpy change of formation (data table) these tables include heat of formation data gathered from a variety of. Standard Enthalpy Of Formation N2O4.
From www.chemistryspace.com
Standard Enthalpy of Formation Standard Enthalpy Of Formation N2O4 The standard enthalpy of formation of any element in its standard state is zero by definition. 193 rows in chemistry and thermodynamics, the standard enthalpy of formation or standard heat of formation of a compound is the change of. Standard enthalpy change of formation (data table) these tables include heat of formation data gathered from a variety of sources, including.. Standard Enthalpy Of Formation N2O4.
From classnotes.org.in
Enthalpies Of Reaction Chemistry, Class 11, Thermodynamics Standard Enthalpy Of Formation N2O4 Standard enthalpy change of formation (data table) these tables include heat of formation data gathered from a variety of sources, including. Similarly, hydrogen is h 2 (g), not atomic hydrogen (h). The standard enthalpy of formation is a measure of the energy released or consumed when one mole of a substance is created under standard. 193 rows in chemistry and. Standard Enthalpy Of Formation N2O4.
From byjus.com
66 Enthalpies of formation of co(g),CO2(g),N2O(g)and N2O4(g) are 110 Standard Enthalpy Of Formation N2O4 The standard enthalpy of formation of any element in its standard state is zero by definition. 193 rows in chemistry and thermodynamics, the standard enthalpy of formation or standard heat of formation of a compound is the change of. Similarly, hydrogen is h 2 (g), not atomic hydrogen (h). The standard enthalpy of formation is a measure of the energy. Standard Enthalpy Of Formation N2O4.
From classhirsch.z21.web.core.windows.net
Standard Enthalpy Of Formation Chart Standard Enthalpy Of Formation N2O4 Similarly, hydrogen is h 2 (g), not atomic hydrogen (h). The standard enthalpy of formation of any element in its standard state is zero by definition. The standard enthalpy of formation is a measure of the energy released or consumed when one mole of a substance is created under standard. Standard enthalpy change of formation (data table) these tables include. Standard Enthalpy Of Formation N2O4.
From www.coursehero.com
[Solved] The equilibrium constant, Kc, for the reaction N2O4(g)⇌2NO2(g Standard Enthalpy Of Formation N2O4 Similarly, hydrogen is h 2 (g), not atomic hydrogen (h). Standard enthalpy change of formation (data table) these tables include heat of formation data gathered from a variety of sources, including. The standard enthalpy of formation of any element in its standard state is zero by definition. 193 rows in chemistry and thermodynamics, the standard enthalpy of formation or standard. Standard Enthalpy Of Formation N2O4.
From www.toppr.com
The standard enthalpies of formation of NO2(g) and N2O4(g) 8 and 4 kcal Standard Enthalpy Of Formation N2O4 Similarly, hydrogen is h 2 (g), not atomic hydrogen (h). 193 rows in chemistry and thermodynamics, the standard enthalpy of formation or standard heat of formation of a compound is the change of. For example, although oxygen can exist as ozone (o 3), atomic oxygen (o), and molecular oxygen (o 2), o 2 is the most stable form at 1. Standard Enthalpy Of Formation N2O4.
From www.numerade.com
Using Standard Enthalpy of Formation (∆H°f), calculate ∆H°RXN of Standard Enthalpy Of Formation N2O4 193 rows in chemistry and thermodynamics, the standard enthalpy of formation or standard heat of formation of a compound is the change of. The standard enthalpy of formation is a measure of the energy released or consumed when one mole of a substance is created under standard. Similarly, hydrogen is h 2 (g), not atomic hydrogen (h). Standard enthalpy change. Standard Enthalpy Of Formation N2O4.
From www.toppr.com
The standard enthalpies of formation of NO2(g) and N2O4(g) 8 and 4 kcal Standard Enthalpy Of Formation N2O4 193 rows in chemistry and thermodynamics, the standard enthalpy of formation or standard heat of formation of a compound is the change of. For example, although oxygen can exist as ozone (o 3), atomic oxygen (o), and molecular oxygen (o 2), o 2 is the most stable form at 1 atm pressure and 25°c. Similarly, hydrogen is h 2 (g),. Standard Enthalpy Of Formation N2O4.
From www.numerade.com
SOLVED Hydrazine (N2H4) is a fuel used by some spacecraft. It is Standard Enthalpy Of Formation N2O4 For example, although oxygen can exist as ozone (o 3), atomic oxygen (o), and molecular oxygen (o 2), o 2 is the most stable form at 1 atm pressure and 25°c. The standard enthalpy of formation is a measure of the energy released or consumed when one mole of a substance is created under standard. Similarly, hydrogen is h 2. Standard Enthalpy Of Formation N2O4.
From www.slideserve.com
PPT Thermochemistry PowerPoint Presentation, free download ID2841621 Standard Enthalpy Of Formation N2O4 Similarly, hydrogen is h 2 (g), not atomic hydrogen (h). 193 rows in chemistry and thermodynamics, the standard enthalpy of formation or standard heat of formation of a compound is the change of. The standard enthalpy of formation of any element in its standard state is zero by definition. The standard enthalpy of formation is a measure of the energy. Standard Enthalpy Of Formation N2O4.
From kaden-chapter.blogspot.com
Standard Enthalpy Of Formation Table Pdf 30+ Pages Summary [1.8mb Standard Enthalpy Of Formation N2O4 193 rows in chemistry and thermodynamics, the standard enthalpy of formation or standard heat of formation of a compound is the change of. Standard enthalpy change of formation (data table) these tables include heat of formation data gathered from a variety of sources, including. The standard enthalpy of formation is a measure of the energy released or consumed when one. Standard Enthalpy Of Formation N2O4.
From mungfali.com
Enthalpies Of Formation Table Standard Enthalpy Of Formation N2O4 For example, although oxygen can exist as ozone (o 3), atomic oxygen (o), and molecular oxygen (o 2), o 2 is the most stable form at 1 atm pressure and 25°c. Similarly, hydrogen is h 2 (g), not atomic hydrogen (h). Standard enthalpy change of formation (data table) these tables include heat of formation data gathered from a variety of. Standard Enthalpy Of Formation N2O4.
From www.numerade.com
SOLVED The space shuttle Orbiter utilizes the oxidation of liquid Standard Enthalpy Of Formation N2O4 Standard enthalpy change of formation (data table) these tables include heat of formation data gathered from a variety of sources, including. For example, although oxygen can exist as ozone (o 3), atomic oxygen (o), and molecular oxygen (o 2), o 2 is the most stable form at 1 atm pressure and 25°c. The standard enthalpy of formation of any element. Standard Enthalpy Of Formation N2O4.
From www.chegg.com
Solved Calculate ΔH∘rxn for this reaction using Standard Enthalpy Of Formation N2O4 For example, although oxygen can exist as ozone (o 3), atomic oxygen (o), and molecular oxygen (o 2), o 2 is the most stable form at 1 atm pressure and 25°c. Standard enthalpy change of formation (data table) these tables include heat of formation data gathered from a variety of sources, including. Similarly, hydrogen is h 2 (g), not atomic. Standard Enthalpy Of Formation N2O4.
From www.youtube.com
Enthalpies of Formation Chemsitry Tutorial YouTube Standard Enthalpy Of Formation N2O4 The standard enthalpy of formation of any element in its standard state is zero by definition. Similarly, hydrogen is h 2 (g), not atomic hydrogen (h). Standard enthalpy change of formation (data table) these tables include heat of formation data gathered from a variety of sources, including. The standard enthalpy of formation is a measure of the energy released or. Standard Enthalpy Of Formation N2O4.
From www.youtube.com
How to Calculate the Standard Enthalpy of a Reaction from the Standard Standard Enthalpy Of Formation N2O4 Similarly, hydrogen is h 2 (g), not atomic hydrogen (h). For example, although oxygen can exist as ozone (o 3), atomic oxygen (o), and molecular oxygen (o 2), o 2 is the most stable form at 1 atm pressure and 25°c. The standard enthalpy of formation of any element in its standard state is zero by definition. The standard enthalpy. Standard Enthalpy Of Formation N2O4.
From www.slideshare.net
Standard enthalpy of formation Standard Enthalpy Of Formation N2O4 Standard enthalpy change of formation (data table) these tables include heat of formation data gathered from a variety of sources, including. The standard enthalpy of formation is a measure of the energy released or consumed when one mole of a substance is created under standard. 193 rows in chemistry and thermodynamics, the standard enthalpy of formation or standard heat of. Standard Enthalpy Of Formation N2O4.
From www.youtube.com
CHEM 101 Using Standard Enthalpies of Formation and Standard Enthalpy Standard Enthalpy Of Formation N2O4 The standard enthalpy of formation is a measure of the energy released or consumed when one mole of a substance is created under standard. 193 rows in chemistry and thermodynamics, the standard enthalpy of formation or standard heat of formation of a compound is the change of. Similarly, hydrogen is h 2 (g), not atomic hydrogen (h). For example, although. Standard Enthalpy Of Formation N2O4.
From general.chemistrysteps.com
Standard Enthalpies of Formation Chemistry Steps Standard Enthalpy Of Formation N2O4 The standard enthalpy of formation is a measure of the energy released or consumed when one mole of a substance is created under standard. 193 rows in chemistry and thermodynamics, the standard enthalpy of formation or standard heat of formation of a compound is the change of. The standard enthalpy of formation of any element in its standard state is. Standard Enthalpy Of Formation N2O4.
From www.chegg.com
Solved The chemistry of nitrogen oxides is very versatile. Standard Enthalpy Of Formation N2O4 Similarly, hydrogen is h 2 (g), not atomic hydrogen (h). Standard enthalpy change of formation (data table) these tables include heat of formation data gathered from a variety of sources, including. The standard enthalpy of formation of any element in its standard state is zero by definition. For example, although oxygen can exist as ozone (o 3), atomic oxygen (o),. Standard Enthalpy Of Formation N2O4.
From www.slideserve.com
PPT Standard Enthalpies of Formation PowerPoint Presentation, free Standard Enthalpy Of Formation N2O4 193 rows in chemistry and thermodynamics, the standard enthalpy of formation or standard heat of formation of a compound is the change of. For example, although oxygen can exist as ozone (o 3), atomic oxygen (o), and molecular oxygen (o 2), o 2 is the most stable form at 1 atm pressure and 25°c. Standard enthalpy change of formation (data. Standard Enthalpy Of Formation N2O4.
From www.toppr.com
The standard heats of formation in kcal mol^1 of NO2(g) and N2O4(g Standard Enthalpy Of Formation N2O4 193 rows in chemistry and thermodynamics, the standard enthalpy of formation or standard heat of formation of a compound is the change of. Similarly, hydrogen is h 2 (g), not atomic hydrogen (h). For example, although oxygen can exist as ozone (o 3), atomic oxygen (o), and molecular oxygen (o 2), o 2 is the most stable form at 1. Standard Enthalpy Of Formation N2O4.
From www.numerade.com
The standard enthalpy of formation of NO2(g) and N2O4(g) are +33.18 kJ Standard Enthalpy Of Formation N2O4 Similarly, hydrogen is h 2 (g), not atomic hydrogen (h). 193 rows in chemistry and thermodynamics, the standard enthalpy of formation or standard heat of formation of a compound is the change of. Standard enthalpy change of formation (data table) these tables include heat of formation data gathered from a variety of sources, including. For example, although oxygen can exist. Standard Enthalpy Of Formation N2O4.
From www.numerade.com
SOLVED Consider the following reaction 2NO2 (g) ===== N2O4 (g) The Standard Enthalpy Of Formation N2O4 193 rows in chemistry and thermodynamics, the standard enthalpy of formation or standard heat of formation of a compound is the change of. The standard enthalpy of formation of any element in its standard state is zero by definition. For example, although oxygen can exist as ozone (o 3), atomic oxygen (o), and molecular oxygen (o 2), o 2 is. Standard Enthalpy Of Formation N2O4.
From www.toppr.com
The standard heat of formation of NO2(g) and N2O4(g) are 8.0 and 4.0 Standard Enthalpy Of Formation N2O4 The standard enthalpy of formation of any element in its standard state is zero by definition. For example, although oxygen can exist as ozone (o 3), atomic oxygen (o), and molecular oxygen (o 2), o 2 is the most stable form at 1 atm pressure and 25°c. The standard enthalpy of formation is a measure of the energy released or. Standard Enthalpy Of Formation N2O4.
From www.chegg.com
Solved Table 1. Standard state enthalpies of formation, ΔH Standard Enthalpy Of Formation N2O4 The standard enthalpy of formation of any element in its standard state is zero by definition. 193 rows in chemistry and thermodynamics, the standard enthalpy of formation or standard heat of formation of a compound is the change of. Standard enthalpy change of formation (data table) these tables include heat of formation data gathered from a variety of sources, including.. Standard Enthalpy Of Formation N2O4.
From www.youtube.com
CHEMISTRY 101 Standard enthalpies of formation and reaction YouTube Standard Enthalpy Of Formation N2O4 Standard enthalpy change of formation (data table) these tables include heat of formation data gathered from a variety of sources, including. Similarly, hydrogen is h 2 (g), not atomic hydrogen (h). 193 rows in chemistry and thermodynamics, the standard enthalpy of formation or standard heat of formation of a compound is the change of. The standard enthalpy of formation is. Standard Enthalpy Of Formation N2O4.
From www.numerade.com
SOLVED Using Standard Enthalpy of Formation Enthalpy Test (all Standard Enthalpy Of Formation N2O4 Standard enthalpy change of formation (data table) these tables include heat of formation data gathered from a variety of sources, including. Similarly, hydrogen is h 2 (g), not atomic hydrogen (h). For example, although oxygen can exist as ozone (o 3), atomic oxygen (o), and molecular oxygen (o 2), o 2 is the most stable form at 1 atm pressure. Standard Enthalpy Of Formation N2O4.
From schoolworkhelper.net
Standard Enthalpies of Formation SchoolWorkHelper Standard Enthalpy Of Formation N2O4 The standard enthalpy of formation is a measure of the energy released or consumed when one mole of a substance is created under standard. Standard enthalpy change of formation (data table) these tables include heat of formation data gathered from a variety of sources, including. The standard enthalpy of formation of any element in its standard state is zero by. Standard Enthalpy Of Formation N2O4.
From mungfali.com
Table Of Enthalpy Of Formation Standard Enthalpy Of Formation N2O4 193 rows in chemistry and thermodynamics, the standard enthalpy of formation or standard heat of formation of a compound is the change of. The standard enthalpy of formation is a measure of the energy released or consumed when one mole of a substance is created under standard. The standard enthalpy of formation of any element in its standard state is. Standard Enthalpy Of Formation N2O4.
From studylib.net
I. Standard Enthalpies of Formation Standard Enthalpy Of Formation N2O4 The standard enthalpy of formation is a measure of the energy released or consumed when one mole of a substance is created under standard. 193 rows in chemistry and thermodynamics, the standard enthalpy of formation or standard heat of formation of a compound is the change of. Standard enthalpy change of formation (data table) these tables include heat of formation. Standard Enthalpy Of Formation N2O4.
From mavink.com
Enthalpy Of Formation Equation Standard Enthalpy Of Formation N2O4 193 rows in chemistry and thermodynamics, the standard enthalpy of formation or standard heat of formation of a compound is the change of. The standard enthalpy of formation is a measure of the energy released or consumed when one mole of a substance is created under standard. Similarly, hydrogen is h 2 (g), not atomic hydrogen (h). Standard enthalpy change. Standard Enthalpy Of Formation N2O4.
From www.chegg.com
Solved Calculate the standard heat of reaction for N2O4=2NO2 Standard Enthalpy Of Formation N2O4 Similarly, hydrogen is h 2 (g), not atomic hydrogen (h). The standard enthalpy of formation is a measure of the energy released or consumed when one mole of a substance is created under standard. The standard enthalpy of formation of any element in its standard state is zero by definition. Standard enthalpy change of formation (data table) these tables include. Standard Enthalpy Of Formation N2O4.