Amino Acids Questions . Can you name the 20 common amino acids from their neutral structures? Study with quizlet and memorize flashcards containing terms like glycine (gly/g), alanine (ala/a), proline (pro/p) and more. This online quiz is called label the 20 amino acids. Select a type of quiz from the list below. This set of biochemistry multiple choice questions & answers (mcqs) focuses on “amino. Explore quizzes and practice tests created by teachers and students or create one from your. Amino acids quiz test your knowledge of the amino acids take this chemistry quiz to test your understanding of amino acids, including their names, symbols, structures, and properties. Quiz yourself with questions and answers for the 20 amino acids quiz, so you can be ready for test day. It was created by member jeninstl and has 20 questions. Test your knowledge on this science quiz and compare your score to others. Click on new quiz to start another quiz of this type.
from www.transtutors.com
Amino acids quiz test your knowledge of the amino acids take this chemistry quiz to test your understanding of amino acids, including their names, symbols, structures, and properties. Can you name the 20 common amino acids from their neutral structures? Quiz yourself with questions and answers for the 20 amino acids quiz, so you can be ready for test day. Click on new quiz to start another quiz of this type. This set of biochemistry multiple choice questions & answers (mcqs) focuses on “amino. Select a type of quiz from the list below. Explore quizzes and practice tests created by teachers and students or create one from your. It was created by member jeninstl and has 20 questions. Study with quizlet and memorize flashcards containing terms like glycine (gly/g), alanine (ala/a), proline (pro/p) and more. This online quiz is called label the 20 amino acids.
(Solved) Question 20 The Structural Formula Of Amino Acids Are The
Amino Acids Questions Test your knowledge on this science quiz and compare your score to others. This set of biochemistry multiple choice questions & answers (mcqs) focuses on “amino. It was created by member jeninstl and has 20 questions. Quiz yourself with questions and answers for the 20 amino acids quiz, so you can be ready for test day. Click on new quiz to start another quiz of this type. Explore quizzes and practice tests created by teachers and students or create one from your. Test your knowledge on this science quiz and compare your score to others. Select a type of quiz from the list below. Can you name the 20 common amino acids from their neutral structures? Amino acids quiz test your knowledge of the amino acids take this chemistry quiz to test your understanding of amino acids, including their names, symbols, structures, and properties. Study with quizlet and memorize flashcards containing terms like glycine (gly/g), alanine (ala/a), proline (pro/p) and more. This online quiz is called label the 20 amino acids.
From www.researchgate.net
List of the 20 most common amino acids Download Table Amino Acids Questions It was created by member jeninstl and has 20 questions. Click on new quiz to start another quiz of this type. Can you name the 20 common amino acids from their neutral structures? Study with quizlet and memorize flashcards containing terms like glycine (gly/g), alanine (ala/a), proline (pro/p) and more. Amino acids quiz test your knowledge of the amino acids. Amino Acids Questions.
From www.scribd.com
Amino Acids Questions PDF Isomer Leucine Amino Acids Questions Click on new quiz to start another quiz of this type. Amino acids quiz test your knowledge of the amino acids take this chemistry quiz to test your understanding of amino acids, including their names, symbols, structures, and properties. Select a type of quiz from the list below. It was created by member jeninstl and has 20 questions. Quiz yourself. Amino Acids Questions.
From www.studocu.com
Amino acid worksheet 2 key AMINO ACID WORKSHEET Name Date Using the Amino Acids Questions Quiz yourself with questions and answers for the 20 amino acids quiz, so you can be ready for test day. Click on new quiz to start another quiz of this type. Explore quizzes and practice tests created by teachers and students or create one from your. Can you name the 20 common amino acids from their neutral structures? This online. Amino Acids Questions.
From study.com
Quiz & Worksheet Amino Acids Structure & Features Amino Acids Questions Explore quizzes and practice tests created by teachers and students or create one from your. Select a type of quiz from the list below. This set of biochemistry multiple choice questions & answers (mcqs) focuses on “amino. It was created by member jeninstl and has 20 questions. This online quiz is called label the 20 amino acids. Study with quizlet. Amino Acids Questions.
From www.revisely.com
Amino Acids Questions Revisely Amino Acids Questions Quiz yourself with questions and answers for the 20 amino acids quiz, so you can be ready for test day. Click on new quiz to start another quiz of this type. Study with quizlet and memorize flashcards containing terms like glycine (gly/g), alanine (ala/a), proline (pro/p) and more. This online quiz is called label the 20 amino acids. Amino acids. Amino Acids Questions.
From studylib.net
Amino Acids Questions C483 Spring 2013 1/10/2013 Amino Acids Questions Amino acids quiz test your knowledge of the amino acids take this chemistry quiz to test your understanding of amino acids, including their names, symbols, structures, and properties. This online quiz is called label the 20 amino acids. Quiz yourself with questions and answers for the 20 amino acids quiz, so you can be ready for test day. It was. Amino Acids Questions.
From bio.libretexts.org
3.1 Amino Acids Biology LibreTexts Amino Acids Questions This online quiz is called label the 20 amino acids. Select a type of quiz from the list below. Explore quizzes and practice tests created by teachers and students or create one from your. It was created by member jeninstl and has 20 questions. Test your knowledge on this science quiz and compare your score to others. Amino acids quiz. Amino Acids Questions.
From www.gkseries.com
Amino Acids Multiple Choice Questions(MCQs) & Answers Amino Acids Quiz Amino Acids Questions It was created by member jeninstl and has 20 questions. Click on new quiz to start another quiz of this type. Can you name the 20 common amino acids from their neutral structures? Amino acids quiz test your knowledge of the amino acids take this chemistry quiz to test your understanding of amino acids, including their names, symbols, structures, and. Amino Acids Questions.
From www.masterorganicchemistry.com
Amino Acid Quizzes Master Organic Chemistry Amino Acids Questions Amino acids quiz test your knowledge of the amino acids take this chemistry quiz to test your understanding of amino acids, including their names, symbols, structures, and properties. This online quiz is called label the 20 amino acids. Test your knowledge on this science quiz and compare your score to others. Can you name the 20 common amino acids from. Amino Acids Questions.
From gkseriesstore.myinstamojo.com
Amino Acids Multiple Choice Questions and Answers Download PDF Amino Acids Questions Can you name the 20 common amino acids from their neutral structures? Quiz yourself with questions and answers for the 20 amino acids quiz, so you can be ready for test day. Click on new quiz to start another quiz of this type. Amino acids quiz test your knowledge of the amino acids take this chemistry quiz to test your. Amino Acids Questions.
From www.chegg.com
Solved page 101 Exp. 13 AcidBase Properties of Amino Acids Amino Acids Questions Explore quizzes and practice tests created by teachers and students or create one from your. Amino acids quiz test your knowledge of the amino acids take this chemistry quiz to test your understanding of amino acids, including their names, symbols, structures, and properties. This set of biochemistry multiple choice questions & answers (mcqs) focuses on “amino. This online quiz is. Amino Acids Questions.
From www.studocu.com
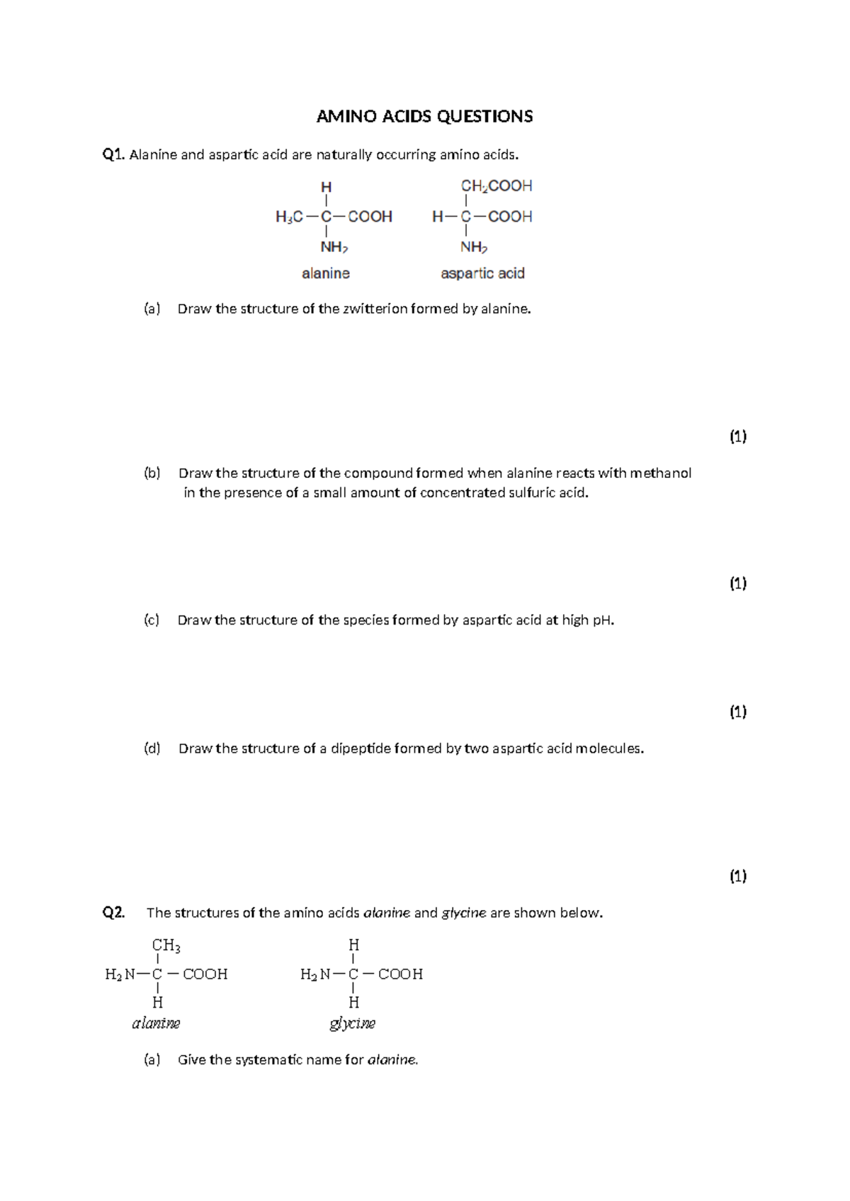
Amino Acids Questions AMINO ACIDS QUESTIONS Q1. Alanine and aspartic Amino Acids Questions Amino acids quiz test your knowledge of the amino acids take this chemistry quiz to test your understanding of amino acids, including their names, symbols, structures, and properties. This online quiz is called label the 20 amino acids. Can you name the 20 common amino acids from their neutral structures? Click on new quiz to start another quiz of this. Amino Acids Questions.
From www.tes.com
Amino acids and proteins 2x Minitests (KS5) Teaching Resources Amino Acids Questions Click on new quiz to start another quiz of this type. Can you name the 20 common amino acids from their neutral structures? Test your knowledge on this science quiz and compare your score to others. Amino acids quiz test your knowledge of the amino acids take this chemistry quiz to test your understanding of amino acids, including their names,. Amino Acids Questions.
From www.chegg.com
Solved Which of these amino acids is an acidic amino acid? Amino Acids Questions Amino acids quiz test your knowledge of the amino acids take this chemistry quiz to test your understanding of amino acids, including their names, symbols, structures, and properties. This online quiz is called label the 20 amino acids. Explore quizzes and practice tests created by teachers and students or create one from your. Test your knowledge on this science quiz. Amino Acids Questions.
From www.mcat-prep.com
MCAT Biochemistry Review Summary Amino Acids Questions This online quiz is called label the 20 amino acids. Amino acids quiz test your knowledge of the amino acids take this chemistry quiz to test your understanding of amino acids, including their names, symbols, structures, and properties. This set of biochemistry multiple choice questions & answers (mcqs) focuses on “amino. Select a type of quiz from the list below.. Amino Acids Questions.
From www.myxxgirl.com
Amino Acid Structures Quiz Questions My XXX Hot Girl Amino Acids Questions This set of biochemistry multiple choice questions & answers (mcqs) focuses on “amino. This online quiz is called label the 20 amino acids. Quiz yourself with questions and answers for the 20 amino acids quiz, so you can be ready for test day. Test your knowledge on this science quiz and compare your score to others. Select a type of. Amino Acids Questions.
From www.transtutors.com
(Solved) Question 20 The Structural Formula Of Amino Acids Are The Amino Acids Questions This online quiz is called label the 20 amino acids. Study with quizlet and memorize flashcards containing terms like glycine (gly/g), alanine (ala/a), proline (pro/p) and more. It was created by member jeninstl and has 20 questions. Select a type of quiz from the list below. Test your knowledge on this science quiz and compare your score to others. Explore. Amino Acids Questions.
From www.studypool.com
SOLUTION Amino acids questions Studypool Amino Acids Questions Quiz yourself with questions and answers for the 20 amino acids quiz, so you can be ready for test day. Can you name the 20 common amino acids from their neutral structures? It was created by member jeninstl and has 20 questions. This online quiz is called label the 20 amino acids. Click on new quiz to start another quiz. Amino Acids Questions.
From leah4sci.com
MCAT Amino Acids Practice Quiz Amino Acids Questions Study with quizlet and memorize flashcards containing terms like glycine (gly/g), alanine (ala/a), proline (pro/p) and more. Can you name the 20 common amino acids from their neutral structures? Test your knowledge on this science quiz and compare your score to others. This set of biochemistry multiple choice questions & answers (mcqs) focuses on “amino. Quiz yourself with questions and. Amino Acids Questions.
From edurev.in
List of Amino acids __its all About to help you so don't answer please Amino Acids Questions Quiz yourself with questions and answers for the 20 amino acids quiz, so you can be ready for test day. Test your knowledge on this science quiz and compare your score to others. Amino acids quiz test your knowledge of the amino acids take this chemistry quiz to test your understanding of amino acids, including their names, symbols, structures, and. Amino Acids Questions.
From www.scribd.com
Amino Acids Questions PDF Amino Acid Alpha Helix Amino Acids Questions Amino acids quiz test your knowledge of the amino acids take this chemistry quiz to test your understanding of amino acids, including their names, symbols, structures, and properties. It was created by member jeninstl and has 20 questions. This online quiz is called label the 20 amino acids. Study with quizlet and memorize flashcards containing terms like glycine (gly/g), alanine. Amino Acids Questions.
From www.etsy.com
Amino Acids MCAT & Biochemistry Review Guide Etsy Amino Acids Questions This online quiz is called label the 20 amino acids. It was created by member jeninstl and has 20 questions. Study with quizlet and memorize flashcards containing terms like glycine (gly/g), alanine (ala/a), proline (pro/p) and more. Select a type of quiz from the list below. This set of biochemistry multiple choice questions & answers (mcqs) focuses on “amino. Quiz. Amino Acids Questions.
From takhnuus.blogspot.com
Classification Of Amino Acids / Dietary management and supplementation Amino Acids Questions Select a type of quiz from the list below. Explore quizzes and practice tests created by teachers and students or create one from your. This online quiz is called label the 20 amino acids. Amino acids quiz test your knowledge of the amino acids take this chemistry quiz to test your understanding of amino acids, including their names, symbols, structures,. Amino Acids Questions.
From www.studocu.com
Biochemistry Amino acids notes BIOCHEMISTRY AMINO ACIDS & PROTEINS Amino Acids Questions Explore quizzes and practice tests created by teachers and students or create one from your. Amino acids quiz test your knowledge of the amino acids take this chemistry quiz to test your understanding of amino acids, including their names, symbols, structures, and properties. Click on new quiz to start another quiz of this type. This online quiz is called label. Amino Acids Questions.
From www.studypool.com
SOLUTION Amino acids questions Studypool Amino Acids Questions Click on new quiz to start another quiz of this type. Study with quizlet and memorize flashcards containing terms like glycine (gly/g), alanine (ala/a), proline (pro/p) and more. It was created by member jeninstl and has 20 questions. Test your knowledge on this science quiz and compare your score to others. Select a type of quiz from the list below.. Amino Acids Questions.
From www.toppr.com
Essential amino acids Chemistry Questions Amino Acids Questions Explore quizzes and practice tests created by teachers and students or create one from your. Study with quizlet and memorize flashcards containing terms like glycine (gly/g), alanine (ala/a), proline (pro/p) and more. Select a type of quiz from the list below. Amino acids quiz test your knowledge of the amino acids take this chemistry quiz to test your understanding of. Amino Acids Questions.
From www.youtube.com
Amino acid QUIZ (How many amino acids can you memorize?) YouTube Amino Acids Questions Click on new quiz to start another quiz of this type. Quiz yourself with questions and answers for the 20 amino acids quiz, so you can be ready for test day. Can you name the 20 common amino acids from their neutral structures? This online quiz is called label the 20 amino acids. Amino acids quiz test your knowledge of. Amino Acids Questions.
From db-excel.com
Protein Synthesis And Amino Acid Worksheet Answer Key — Amino Acids Questions Can you name the 20 common amino acids from their neutral structures? Study with quizlet and memorize flashcards containing terms like glycine (gly/g), alanine (ala/a), proline (pro/p) and more. Test your knowledge on this science quiz and compare your score to others. Quiz yourself with questions and answers for the 20 amino acids quiz, so you can be ready for. Amino Acids Questions.
From amit1b.wordpress.com
Amino Acids Chemistry, Biochemistry & Nutrition Amit Kessel Ph.D Amino Acids Questions This set of biochemistry multiple choice questions & answers (mcqs) focuses on “amino. Explore quizzes and practice tests created by teachers and students or create one from your. It was created by member jeninstl and has 20 questions. This online quiz is called label the 20 amino acids. Select a type of quiz from the list below. Quiz yourself with. Amino Acids Questions.
From www.chegg.com
Solved Consider the following amino acids. (a) (b) Draw the Amino Acids Questions Amino acids quiz test your knowledge of the amino acids take this chemistry quiz to test your understanding of amino acids, including their names, symbols, structures, and properties. Can you name the 20 common amino acids from their neutral structures? This online quiz is called label the 20 amino acids. Test your knowledge on this science quiz and compare your. Amino Acids Questions.
From www.studypool.com
SOLUTION Proteins and amino acids questions Studypool Amino Acids Questions Can you name the 20 common amino acids from their neutral structures? It was created by member jeninstl and has 20 questions. Explore quizzes and practice tests created by teachers and students or create one from your. Click on new quiz to start another quiz of this type. This set of biochemistry multiple choice questions & answers (mcqs) focuses on. Amino Acids Questions.
From www.studocu.com
Amino Acid Quiz Examples Biochem 395 BCHE 395 Some example Amino Acids Questions This online quiz is called label the 20 amino acids. Can you name the 20 common amino acids from their neutral structures? This set of biochemistry multiple choice questions & answers (mcqs) focuses on “amino. Click on new quiz to start another quiz of this type. It was created by member jeninstl and has 20 questions. Study with quizlet and. Amino Acids Questions.
From www.studocu.com
Chapter 3 MCQ Questions Chapter 3 Amino Acids, Peptides, and Proteins Amino Acids Questions Select a type of quiz from the list below. Can you name the 20 common amino acids from their neutral structures? Amino acids quiz test your knowledge of the amino acids take this chemistry quiz to test your understanding of amino acids, including their names, symbols, structures, and properties. This online quiz is called label the 20 amino acids. It. Amino Acids Questions.
From www.compoundchem.com
A Brief Guide to the Twenty Common Amino Acids Compound Interest Amino Acids Questions Select a type of quiz from the list below. Test your knowledge on this science quiz and compare your score to others. Study with quizlet and memorize flashcards containing terms like glycine (gly/g), alanine (ala/a), proline (pro/p) and more. Explore quizzes and practice tests created by teachers and students or create one from your. This set of biochemistry multiple choice. Amino Acids Questions.
From www.chegg.com
Solved Question 1 identify amino acids Amino Acids Questions Amino acids quiz test your knowledge of the amino acids take this chemistry quiz to test your understanding of amino acids, including their names, symbols, structures, and properties. Study with quizlet and memorize flashcards containing terms like glycine (gly/g), alanine (ala/a), proline (pro/p) and more. Can you name the 20 common amino acids from their neutral structures? Select a type. Amino Acids Questions.