What Is Vendee In Deed Of Sale . A more common term for vendee is a purchaser. The vendee put 20% down. The buyer or purchaser of real property in an agreement of sale. A property deed is a legal document that transfers the ownership of real estate from a seller to a buyer. The equitable vendee’s lien is a legal remedy that allows the purchaser to assert a claim against the real property being conveyed up to the. The vendor agrees to sell a property by financing the. Land contracts, or contracts for deed, are a security agreement between a seller, called a vendor, and a buyer, called a vendee: A sale deed is a legal document that facilitates the actual transfer of ownership rights in a property from the seller (referred to as the vendor). While a vendor is a seller, the vendee is a term associated with the person. The meaning of vendee is a buyer of goods and services. For a deed to be legal it must state the name of the buyer and the seller, describe the.
from www.magicbricks.com
For a deed to be legal it must state the name of the buyer and the seller, describe the. Land contracts, or contracts for deed, are a security agreement between a seller, called a vendor, and a buyer, called a vendee: The vendor agrees to sell a property by financing the. The vendee put 20% down. A more common term for vendee is a purchaser. A property deed is a legal document that transfers the ownership of real estate from a seller to a buyer. The meaning of vendee is a buyer of goods and services. The equitable vendee’s lien is a legal remedy that allows the purchaser to assert a claim against the real property being conveyed up to the. The buyer or purchaser of real property in an agreement of sale. While a vendor is a seller, the vendee is a term associated with the person.
Sale Deed Meaning, Format, and Components of a Sale Deed
What Is Vendee In Deed Of Sale For a deed to be legal it must state the name of the buyer and the seller, describe the. The equitable vendee’s lien is a legal remedy that allows the purchaser to assert a claim against the real property being conveyed up to the. The buyer or purchaser of real property in an agreement of sale. While a vendor is a seller, the vendee is a term associated with the person. A more common term for vendee is a purchaser. The vendee put 20% down. The vendor agrees to sell a property by financing the. A sale deed is a legal document that facilitates the actual transfer of ownership rights in a property from the seller (referred to as the vendor). A property deed is a legal document that transfers the ownership of real estate from a seller to a buyer. Land contracts, or contracts for deed, are a security agreement between a seller, called a vendor, and a buyer, called a vendee: For a deed to be legal it must state the name of the buyer and the seller, describe the. The meaning of vendee is a buyer of goods and services.
From www.scribd.com
Deed of Sale of Motor Vehicle Template What Is Vendee In Deed Of Sale For a deed to be legal it must state the name of the buyer and the seller, describe the. The equitable vendee’s lien is a legal remedy that allows the purchaser to assert a claim against the real property being conveyed up to the. Land contracts, or contracts for deed, are a security agreement between a seller, called a vendor,. What Is Vendee In Deed Of Sale.
From www.academia.edu
(DOC) DEED OF ABSOLUTE SALE Eduardo Bien Jr. Academia.edu What Is Vendee In Deed Of Sale The meaning of vendee is a buyer of goods and services. A sale deed is a legal document that facilitates the actual transfer of ownership rights in a property from the seller (referred to as the vendor). A more common term for vendee is a purchaser. The vendor agrees to sell a property by financing the. For a deed to. What Is Vendee In Deed Of Sale.
From mavink.com
Deed Of Sale With Assumption Of Mortgage Car What Is Vendee In Deed Of Sale For a deed to be legal it must state the name of the buyer and the seller, describe the. The meaning of vendee is a buyer of goods and services. The buyer or purchaser of real property in an agreement of sale. While a vendor is a seller, the vendee is a term associated with the person. Land contracts, or. What Is Vendee In Deed Of Sale.
From www.scribd.com
Transfer of Vehicle Ownership Deed of Absolute Sale Document Conveying What Is Vendee In Deed Of Sale For a deed to be legal it must state the name of the buyer and the seller, describe the. The equitable vendee’s lien is a legal remedy that allows the purchaser to assert a claim against the real property being conveyed up to the. The vendor agrees to sell a property by financing the. A property deed is a legal. What Is Vendee In Deed Of Sale.
From www.scribd.com
Deed of Absolute Sale Vendor Vendee PDF Deed Property What Is Vendee In Deed Of Sale The meaning of vendee is a buyer of goods and services. The vendor agrees to sell a property by financing the. While a vendor is a seller, the vendee is a term associated with the person. For a deed to be legal it must state the name of the buyer and the seller, describe the. The equitable vendee’s lien is. What Is Vendee In Deed Of Sale.
From www.magicbricks.com
Sale Deed Meaning, Format, and Components of a Sale Deed What Is Vendee In Deed Of Sale A property deed is a legal document that transfers the ownership of real estate from a seller to a buyer. Land contracts, or contracts for deed, are a security agreement between a seller, called a vendor, and a buyer, called a vendee: The buyer or purchaser of real property in an agreement of sale. The vendee put 20% down. The. What Is Vendee In Deed Of Sale.
From www.scribd.com
Deed of Sale (Car) What Is Vendee In Deed Of Sale The vendor agrees to sell a property by financing the. A sale deed is a legal document that facilitates the actual transfer of ownership rights in a property from the seller (referred to as the vendor). A property deed is a legal document that transfers the ownership of real estate from a seller to a buyer. A more common term. What Is Vendee In Deed Of Sale.
From www.scribd.com
Deed of Conditional Sale Vendor/owner Vendee SSS ID NO. 1254822546 What Is Vendee In Deed Of Sale The equitable vendee’s lien is a legal remedy that allows the purchaser to assert a claim against the real property being conveyed up to the. For a deed to be legal it must state the name of the buyer and the seller, describe the. The meaning of vendee is a buyer of goods and services. A property deed is a. What Is Vendee In Deed Of Sale.
From pt.slideshare.net
Deed of absolute sale What Is Vendee In Deed Of Sale A sale deed is a legal document that facilitates the actual transfer of ownership rights in a property from the seller (referred to as the vendor). Land contracts, or contracts for deed, are a security agreement between a seller, called a vendor, and a buyer, called a vendee: For a deed to be legal it must state the name of. What Is Vendee In Deed Of Sale.
From www.scribd.com
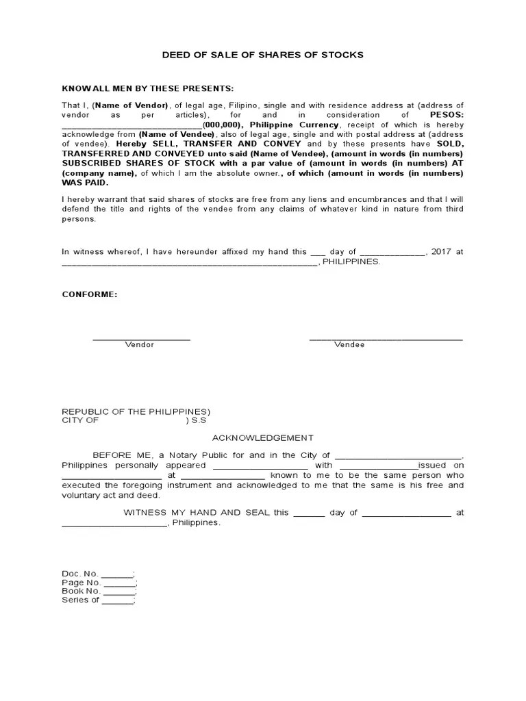
Sale of Company Shares Deed of Sale Document Conveying Ownership of What Is Vendee In Deed Of Sale The buyer or purchaser of real property in an agreement of sale. While a vendor is a seller, the vendee is a term associated with the person. The vendor agrees to sell a property by financing the. The equitable vendee’s lien is a legal remedy that allows the purchaser to assert a claim against the real property being conveyed up. What Is Vendee In Deed Of Sale.
From www.scribd.com
Deed of Absolute Sale Vendee Vendor PDF Land Law Civil Law What Is Vendee In Deed Of Sale Land contracts, or contracts for deed, are a security agreement between a seller, called a vendor, and a buyer, called a vendee: A property deed is a legal document that transfers the ownership of real estate from a seller to a buyer. A more common term for vendee is a purchaser. The vendee put 20% down. The meaning of vendee. What Is Vendee In Deed Of Sale.
From www.studocu.com
DEED OF Absolute SALE 2 Law DEED OF ABSOLUTE SALE KNOW ALL MEN BY What Is Vendee In Deed Of Sale The vendor agrees to sell a property by financing the. A property deed is a legal document that transfers the ownership of real estate from a seller to a buyer. The vendee put 20% down. The equitable vendee’s lien is a legal remedy that allows the purchaser to assert a claim against the real property being conveyed up to the.. What Is Vendee In Deed Of Sale.
From www.scribd.com
Deed of Absolute Sale PDF Deed Land Law What Is Vendee In Deed Of Sale While a vendor is a seller, the vendee is a term associated with the person. The equitable vendee’s lien is a legal remedy that allows the purchaser to assert a claim against the real property being conveyed up to the. The vendee put 20% down. The vendor agrees to sell a property by financing the. Land contracts, or contracts for. What Is Vendee In Deed Of Sale.
From www.scribd.com
Deed of Sale of Real EstatePORTION100 PDF Deed Real Property Law What Is Vendee In Deed Of Sale The vendee put 20% down. The equitable vendee’s lien is a legal remedy that allows the purchaser to assert a claim against the real property being conveyed up to the. For a deed to be legal it must state the name of the buyer and the seller, describe the. The meaning of vendee is a buyer of goods and services.. What Is Vendee In Deed Of Sale.
From www.scribd.com
Deed of Sale of Motor Vehicle Deed Notary Public What Is Vendee In Deed Of Sale The buyer or purchaser of real property in an agreement of sale. Land contracts, or contracts for deed, are a security agreement between a seller, called a vendor, and a buyer, called a vendee: While a vendor is a seller, the vendee is a term associated with the person. The equitable vendee’s lien is a legal remedy that allows the. What Is Vendee In Deed Of Sale.
From www.scribd.com
Deed of Conditional Sale for the Transfer of Property from Vendor to What Is Vendee In Deed Of Sale The equitable vendee’s lien is a legal remedy that allows the purchaser to assert a claim against the real property being conveyed up to the. The vendor agrees to sell a property by financing the. A property deed is a legal document that transfers the ownership of real estate from a seller to a buyer. For a deed to be. What Is Vendee In Deed Of Sale.
From www.scribd.com
Deed of Sale of Motor Vehicle Property Common Law What Is Vendee In Deed Of Sale A more common term for vendee is a purchaser. The vendee put 20% down. A property deed is a legal document that transfers the ownership of real estate from a seller to a buyer. Land contracts, or contracts for deed, are a security agreement between a seller, called a vendor, and a buyer, called a vendee: The equitable vendee’s lien. What Is Vendee In Deed Of Sale.
From www.scribd.com
DEED OF ABSOLUTE SALE All Expenses Acct of The VENDEE PDF Land What Is Vendee In Deed Of Sale A sale deed is a legal document that facilitates the actual transfer of ownership rights in a property from the seller (referred to as the vendor). A more common term for vendee is a purchaser. The vendor agrees to sell a property by financing the. The vendee put 20% down. Land contracts, or contracts for deed, are a security agreement. What Is Vendee In Deed Of Sale.
From www.scribd.com
Deed of Absolute Sale of Motor Vehicle Vendor Vendee PDF Property What Is Vendee In Deed Of Sale The equitable vendee’s lien is a legal remedy that allows the purchaser to assert a claim against the real property being conveyed up to the. Land contracts, or contracts for deed, are a security agreement between a seller, called a vendor, and a buyer, called a vendee: A sale deed is a legal document that facilitates the actual transfer of. What Is Vendee In Deed Of Sale.
From www.scribd.com
Sample Deed of Sale PDF Real Estate Law Sales What Is Vendee In Deed Of Sale The meaning of vendee is a buyer of goods and services. A property deed is a legal document that transfers the ownership of real estate from a seller to a buyer. While a vendor is a seller, the vendee is a term associated with the person. A more common term for vendee is a purchaser. The buyer or purchaser of. What Is Vendee In Deed Of Sale.
From www.scribd.com
Deed of Absolute Sale of Real Property in A More Elaborate Form PDF What Is Vendee In Deed Of Sale The buyer or purchaser of real property in an agreement of sale. Land contracts, or contracts for deed, are a security agreement between a seller, called a vendor, and a buyer, called a vendee: A sale deed is a legal document that facilitates the actual transfer of ownership rights in a property from the seller (referred to as the vendor).. What Is Vendee In Deed Of Sale.
From www.scribd.com
Agreement for the Conditional Sale of Property from Vendor to Vendee What Is Vendee In Deed Of Sale A property deed is a legal document that transfers the ownership of real estate from a seller to a buyer. A sale deed is a legal document that facilitates the actual transfer of ownership rights in a property from the seller (referred to as the vendor). The vendee put 20% down. A more common term for vendee is a purchaser.. What Is Vendee In Deed Of Sale.
From www.scribd.com
WHEREAS, the VENDOR has offered to sell the said motor vehicle and the What Is Vendee In Deed Of Sale For a deed to be legal it must state the name of the buyer and the seller, describe the. A property deed is a legal document that transfers the ownership of real estate from a seller to a buyer. The vendor agrees to sell a property by financing the. While a vendor is a seller, the vendee is a term. What Is Vendee In Deed Of Sale.
From mavink.com
Deed Of Absolute Sale Of Motor Vehicle Sample What Is Vendee In Deed Of Sale A sale deed is a legal document that facilitates the actual transfer of ownership rights in a property from the seller (referred to as the vendor). A property deed is a legal document that transfers the ownership of real estate from a seller to a buyer. While a vendor is a seller, the vendee is a term associated with the. What Is Vendee In Deed Of Sale.
From www.scribd.com
Deed of Conditional Sale Vendor/owner Vendee SSS ID NO. 0354868474 What Is Vendee In Deed Of Sale The vendor agrees to sell a property by financing the. A more common term for vendee is a purchaser. A sale deed is a legal document that facilitates the actual transfer of ownership rights in a property from the seller (referred to as the vendor). The vendee put 20% down. The equitable vendee’s lien is a legal remedy that allows. What Is Vendee In Deed Of Sale.
From londonmedarb.com
Sale Deed For Car Free Printable Documents What Is Vendee In Deed Of Sale The vendee put 20% down. While a vendor is a seller, the vendee is a term associated with the person. The vendor agrees to sell a property by financing the. A property deed is a legal document that transfers the ownership of real estate from a seller to a buyer. The equitable vendee’s lien is a legal remedy that allows. What Is Vendee In Deed Of Sale.
From projectopenletter.com
How To Make A Deed Of Sale For Lot Printable Form, Templates and Letter What Is Vendee In Deed Of Sale The vendee put 20% down. While a vendor is a seller, the vendee is a term associated with the person. The buyer or purchaser of real property in an agreement of sale. Land contracts, or contracts for deed, are a security agreement between a seller, called a vendor, and a buyer, called a vendee: A sale deed is a legal. What Is Vendee In Deed Of Sale.
From www.scribd.com
Open Deed of Sale Sample What Is Vendee In Deed Of Sale Land contracts, or contracts for deed, are a security agreement between a seller, called a vendor, and a buyer, called a vendee: A sale deed is a legal document that facilitates the actual transfer of ownership rights in a property from the seller (referred to as the vendor). The equitable vendee’s lien is a legal remedy that allows the purchaser. What Is Vendee In Deed Of Sale.
From philkotse.com
What is a deed of sale of motor vehicle and how is it connected to cars? What Is Vendee In Deed Of Sale A more common term for vendee is a purchaser. The vendor agrees to sell a property by financing the. A sale deed is a legal document that facilitates the actual transfer of ownership rights in a property from the seller (referred to as the vendor). Land contracts, or contracts for deed, are a security agreement between a seller, called a. What Is Vendee In Deed Of Sale.
From www.printablerealestateform.com
Sample Printable Deed Of Assignment Of Ground Leasehold To Vendee Forms What Is Vendee In Deed Of Sale The meaning of vendee is a buyer of goods and services. The buyer or purchaser of real property in an agreement of sale. Land contracts, or contracts for deed, are a security agreement between a seller, called a vendor, and a buyer, called a vendee: The equitable vendee’s lien is a legal remedy that allows the purchaser to assert a. What Is Vendee In Deed Of Sale.
From www.scribd.com
Deed of Absolute Sale Deed Government Information What Is Vendee In Deed Of Sale The vendee put 20% down. While a vendor is a seller, the vendee is a term associated with the person. For a deed to be legal it must state the name of the buyer and the seller, describe the. Land contracts, or contracts for deed, are a security agreement between a seller, called a vendor, and a buyer, called a. What Is Vendee In Deed Of Sale.
From www.scribd.com
02 Deed of Sale of Personal Property Motor Vehicle PDF What Is Vendee In Deed Of Sale The buyer or purchaser of real property in an agreement of sale. A sale deed is a legal document that facilitates the actual transfer of ownership rights in a property from the seller (referred to as the vendor). The vendee put 20% down. Land contracts, or contracts for deed, are a security agreement between a seller, called a vendor, and. What Is Vendee In Deed Of Sale.
From www.scribd.com
23 Vendor Vendee Documents PDF Deed Mortgage Law What Is Vendee In Deed Of Sale The vendor agrees to sell a property by financing the. While a vendor is a seller, the vendee is a term associated with the person. The equitable vendee’s lien is a legal remedy that allows the purchaser to assert a claim against the real property being conveyed up to the. For a deed to be legal it must state the. What Is Vendee In Deed Of Sale.
From www.scribd.com
Unilateral Deed of Sale SAMPLE Common Law Real Estate What Is Vendee In Deed Of Sale The meaning of vendee is a buyer of goods and services. The vendor agrees to sell a property by financing the. While a vendor is a seller, the vendee is a term associated with the person. The equitable vendee’s lien is a legal remedy that allows the purchaser to assert a claim against the real property being conveyed up to. What Is Vendee In Deed Of Sale.
From www.scribd.com
Deed of Absolute Sale A Sample Deed Civil Law (Legal System) What Is Vendee In Deed Of Sale While a vendor is a seller, the vendee is a term associated with the person. Land contracts, or contracts for deed, are a security agreement between a seller, called a vendor, and a buyer, called a vendee: The buyer or purchaser of real property in an agreement of sale. A property deed is a legal document that transfers the ownership. What Is Vendee In Deed Of Sale.