How Much Heat Does A Refrigerator Exhaust Into The Kitchen . Running the refrigerator makes the room warmer and if you leave the door open, the kitchen warms up even faster. Yes, refrigerators do produce heat as a byproduct of their operation. (a) how much heat does the refrigerator exhaust into the kitchen? The heat is primarily generated during the following. A refrigerator in a room 90 degrees or higher will. How much heat does a refrigerator produce? This equation shows that a refrigerator must exhaust more heat to the room than it removes from the inside. (b) what is the refrigerator’s coefficient of performance? The heat output of a refrigerator varies depending on its size and. Even if your fridge is working correctly, it may really heat up your kitchen. The harder the condenser works to keep the inside. This has significant implications for whether or not you can cool a. Refrigerators need to maintain a consistent temperature & disperse heat away from them without overworking the compressor.
from www.youtube.com
Refrigerators need to maintain a consistent temperature & disperse heat away from them without overworking the compressor. A refrigerator in a room 90 degrees or higher will. (a) how much heat does the refrigerator exhaust into the kitchen? This has significant implications for whether or not you can cool a. This equation shows that a refrigerator must exhaust more heat to the room than it removes from the inside. Even if your fridge is working correctly, it may really heat up your kitchen. Yes, refrigerators do produce heat as a byproduct of their operation. The heat is primarily generated during the following. The harder the condenser works to keep the inside. Running the refrigerator makes the room warmer and if you leave the door open, the kitchen warms up even faster.
How To Recess A Refrigerator Into A Wall For Your High End Kitchen
How Much Heat Does A Refrigerator Exhaust Into The Kitchen This has significant implications for whether or not you can cool a. The heat output of a refrigerator varies depending on its size and. This equation shows that a refrigerator must exhaust more heat to the room than it removes from the inside. How much heat does a refrigerator produce? Refrigerators need to maintain a consistent temperature & disperse heat away from them without overworking the compressor. The heat is primarily generated during the following. Yes, refrigerators do produce heat as a byproduct of their operation. This has significant implications for whether or not you can cool a. (b) what is the refrigerator’s coefficient of performance? Even if your fridge is working correctly, it may really heat up your kitchen. Running the refrigerator makes the room warmer and if you leave the door open, the kitchen warms up even faster. The harder the condenser works to keep the inside. A refrigerator in a room 90 degrees or higher will. (a) how much heat does the refrigerator exhaust into the kitchen?
From techgameworld.com
How much does a refrigerator consume? How Much Heat Does A Refrigerator Exhaust Into The Kitchen How much heat does a refrigerator produce? Refrigerators need to maintain a consistent temperature & disperse heat away from them without overworking the compressor. Yes, refrigerators do produce heat as a byproduct of their operation. Even if your fridge is working correctly, it may really heat up your kitchen. The heat is primarily generated during the following. A refrigerator in. How Much Heat Does A Refrigerator Exhaust Into The Kitchen.
From www.slideserve.com
PPT How Refrigerators Work PowerPoint Presentation, free download How Much Heat Does A Refrigerator Exhaust Into The Kitchen How much heat does a refrigerator produce? The heat output of a refrigerator varies depending on its size and. The heat is primarily generated during the following. Running the refrigerator makes the room warmer and if you leave the door open, the kitchen warms up even faster. A refrigerator in a room 90 degrees or higher will. Yes, refrigerators do. How Much Heat Does A Refrigerator Exhaust Into The Kitchen.
From www.housedigest.com
How Much Does A New Refrigerator Cost? How Much Heat Does A Refrigerator Exhaust Into The Kitchen The heat is primarily generated during the following. The heat output of a refrigerator varies depending on its size and. Running the refrigerator makes the room warmer and if you leave the door open, the kitchen warms up even faster. The harder the condenser works to keep the inside. This equation shows that a refrigerator must exhaust more heat to. How Much Heat Does A Refrigerator Exhaust Into The Kitchen.
From www.youtube.com
How To Recess A Refrigerator Into A Wall For Your High End Kitchen How Much Heat Does A Refrigerator Exhaust Into The Kitchen This has significant implications for whether or not you can cool a. Even if your fridge is working correctly, it may really heat up your kitchen. Yes, refrigerators do produce heat as a byproduct of their operation. (b) what is the refrigerator’s coefficient of performance? Refrigerators need to maintain a consistent temperature & disperse heat away from them without overworking. How Much Heat Does A Refrigerator Exhaust Into The Kitchen.
From eng-au.faq.panasonic.com
Installation Refrigerator cavity gap or spacing How Much Heat Does A Refrigerator Exhaust Into The Kitchen This equation shows that a refrigerator must exhaust more heat to the room than it removes from the inside. Even if your fridge is working correctly, it may really heat up your kitchen. A refrigerator in a room 90 degrees or higher will. How much heat does a refrigerator produce? The harder the condenser works to keep the inside. Yes,. How Much Heat Does A Refrigerator Exhaust Into The Kitchen.
From www.finehomebuilding.com
Ducting HRVs and ERVs Fine Homebuilding How Much Heat Does A Refrigerator Exhaust Into The Kitchen Yes, refrigerators do produce heat as a byproduct of their operation. Running the refrigerator makes the room warmer and if you leave the door open, the kitchen warms up even faster. Refrigerators need to maintain a consistent temperature & disperse heat away from them without overworking the compressor. The harder the condenser works to keep the inside. Even if your. How Much Heat Does A Refrigerator Exhaust Into The Kitchen.
From pesopower.com
How Much Electricity Does a Refrigerator Consume? How Much Heat Does A Refrigerator Exhaust Into The Kitchen The heat is primarily generated during the following. Yes, refrigerators do produce heat as a byproduct of their operation. (b) what is the refrigerator’s coefficient of performance? This equation shows that a refrigerator must exhaust more heat to the room than it removes from the inside. Running the refrigerator makes the room warmer and if you leave the door open,. How Much Heat Does A Refrigerator Exhaust Into The Kitchen.
From farmfoodfamily.com
How Much Does A Refrigerator Weigh? (By Types, Styles, Sizes) How Much Heat Does A Refrigerator Exhaust Into The Kitchen The harder the condenser works to keep the inside. How much heat does a refrigerator produce? This equation shows that a refrigerator must exhaust more heat to the room than it removes from the inside. (a) how much heat does the refrigerator exhaust into the kitchen? This has significant implications for whether or not you can cool a. Even if. How Much Heat Does A Refrigerator Exhaust Into The Kitchen.
From www.mechanicalbooster.com
How Refrigerator Works ? Easiest Explanation Mechanical Booster How Much Heat Does A Refrigerator Exhaust Into The Kitchen Yes, refrigerators do produce heat as a byproduct of their operation. A refrigerator in a room 90 degrees or higher will. How much heat does a refrigerator produce? Even if your fridge is working correctly, it may really heat up your kitchen. This equation shows that a refrigerator must exhaust more heat to the room than it removes from the. How Much Heat Does A Refrigerator Exhaust Into The Kitchen.
From www.youtube.com
How to investigate and fix a fridge that is too warm YouTube How Much Heat Does A Refrigerator Exhaust Into The Kitchen Even if your fridge is working correctly, it may really heat up your kitchen. This equation shows that a refrigerator must exhaust more heat to the room than it removes from the inside. The harder the condenser works to keep the inside. Yes, refrigerators do produce heat as a byproduct of their operation. The heat is primarily generated during the. How Much Heat Does A Refrigerator Exhaust Into The Kitchen.
From www.nachi.org
Refrigerator Inspection Gallery InterNACHI® How Much Heat Does A Refrigerator Exhaust Into The Kitchen How much heat does a refrigerator produce? This equation shows that a refrigerator must exhaust more heat to the room than it removes from the inside. This has significant implications for whether or not you can cool a. (b) what is the refrigerator’s coefficient of performance? The heat output of a refrigerator varies depending on its size and. The harder. How Much Heat Does A Refrigerator Exhaust Into The Kitchen.
From kitchenseer.com
How Much Space Should You Have Around A Fridge Kitchen Seer How Much Heat Does A Refrigerator Exhaust Into The Kitchen This equation shows that a refrigerator must exhaust more heat to the room than it removes from the inside. The heat output of a refrigerator varies depending on its size and. Yes, refrigerators do produce heat as a byproduct of their operation. How much heat does a refrigerator produce? The heat is primarily generated during the following. The harder the. How Much Heat Does A Refrigerator Exhaust Into The Kitchen.
From slides.com
Change of Phase and Thermodynamics How Much Heat Does A Refrigerator Exhaust Into The Kitchen (a) how much heat does the refrigerator exhaust into the kitchen? (b) what is the refrigerator’s coefficient of performance? The heat output of a refrigerator varies depending on its size and. Even if your fridge is working correctly, it may really heat up your kitchen. The harder the condenser works to keep the inside. A refrigerator in a room 90. How Much Heat Does A Refrigerator Exhaust Into The Kitchen.
From www.numerade.com
SOLVEDA Carnot refrigerator exhausts heat to the air, which is at a How Much Heat Does A Refrigerator Exhaust Into The Kitchen The harder the condenser works to keep the inside. (a) how much heat does the refrigerator exhaust into the kitchen? Refrigerators need to maintain a consistent temperature & disperse heat away from them without overworking the compressor. A refrigerator in a room 90 degrees or higher will. How much heat does a refrigerator produce? This equation shows that a refrigerator. How Much Heat Does A Refrigerator Exhaust Into The Kitchen.
From bkvenergy.com
How Much Electricity Does a Refrigerator Use? How Much Heat Does A Refrigerator Exhaust Into The Kitchen The heat is primarily generated during the following. This equation shows that a refrigerator must exhaust more heat to the room than it removes from the inside. Running the refrigerator makes the room warmer and if you leave the door open, the kitchen warms up even faster. A refrigerator in a room 90 degrees or higher will. (a) how much. How Much Heat Does A Refrigerator Exhaust Into The Kitchen.
From refrigeratortrimkits.com
Check out these Refrigerator Enclosure Ideas How Much Heat Does A Refrigerator Exhaust Into The Kitchen How much heat does a refrigerator produce? Running the refrigerator makes the room warmer and if you leave the door open, the kitchen warms up even faster. The heat output of a refrigerator varies depending on its size and. Yes, refrigerators do produce heat as a byproduct of their operation. This has significant implications for whether or not you can. How Much Heat Does A Refrigerator Exhaust Into The Kitchen.
From thehoneypotbakery.com
How Much Does a Refrigerator Fan Motor Cost Discover the Exact Price How Much Heat Does A Refrigerator Exhaust Into The Kitchen Even if your fridge is working correctly, it may really heat up your kitchen. How much heat does a refrigerator produce? (b) what is the refrigerator’s coefficient of performance? The harder the condenser works to keep the inside. (a) how much heat does the refrigerator exhaust into the kitchen? This has significant implications for whether or not you can cool. How Much Heat Does A Refrigerator Exhaust Into The Kitchen.
From phys.libretexts.org
Refrigerators and Heat Pumps Physics LibreTexts How Much Heat Does A Refrigerator Exhaust Into The Kitchen (a) how much heat does the refrigerator exhaust into the kitchen? (b) what is the refrigerator’s coefficient of performance? Running the refrigerator makes the room warmer and if you leave the door open, the kitchen warms up even faster. The heat output of a refrigerator varies depending on its size and. A refrigerator in a room 90 degrees or higher. How Much Heat Does A Refrigerator Exhaust Into The Kitchen.
From kitchenseer.com
How Much Space Should You Have Around A Fridge Kitchen Seer How Much Heat Does A Refrigerator Exhaust Into The Kitchen Running the refrigerator makes the room warmer and if you leave the door open, the kitchen warms up even faster. The heat output of a refrigerator varies depending on its size and. Yes, refrigerators do produce heat as a byproduct of their operation. Refrigerators need to maintain a consistent temperature & disperse heat away from them without overworking the compressor.. How Much Heat Does A Refrigerator Exhaust Into The Kitchen.
From kitchenseer.com
Does A Refrigerator Make The Room Hot? Kitchen Seer How Much Heat Does A Refrigerator Exhaust Into The Kitchen The harder the condenser works to keep the inside. This has significant implications for whether or not you can cool a. Yes, refrigerators do produce heat as a byproduct of their operation. The heat output of a refrigerator varies depending on its size and. Refrigerators need to maintain a consistent temperature & disperse heat away from them without overworking the. How Much Heat Does A Refrigerator Exhaust Into The Kitchen.
From www.jyfs.org
How Much is the Temperature Inside the Refrigerator? Exploring How Much Heat Does A Refrigerator Exhaust Into The Kitchen This has significant implications for whether or not you can cool a. Yes, refrigerators do produce heat as a byproduct of their operation. How much heat does a refrigerator produce? Even if your fridge is working correctly, it may really heat up your kitchen. (b) what is the refrigerator’s coefficient of performance? This equation shows that a refrigerator must exhaust. How Much Heat Does A Refrigerator Exhaust Into The Kitchen.
From www.pinterest.com
If you want to know how much power your refrigerator (fridge) consumes How Much Heat Does A Refrigerator Exhaust Into The Kitchen Yes, refrigerators do produce heat as a byproduct of their operation. This equation shows that a refrigerator must exhaust more heat to the room than it removes from the inside. This has significant implications for whether or not you can cool a. Running the refrigerator makes the room warmer and if you leave the door open, the kitchen warms up. How Much Heat Does A Refrigerator Exhaust Into The Kitchen.
From energyeducation.ca
Heat exchanger Energy Education How Much Heat Does A Refrigerator Exhaust Into The Kitchen Even if your fridge is working correctly, it may really heat up your kitchen. The harder the condenser works to keep the inside. Yes, refrigerators do produce heat as a byproduct of their operation. This equation shows that a refrigerator must exhaust more heat to the room than it removes from the inside. (b) what is the refrigerator’s coefficient of. How Much Heat Does A Refrigerator Exhaust Into The Kitchen.
From www.numerade.com
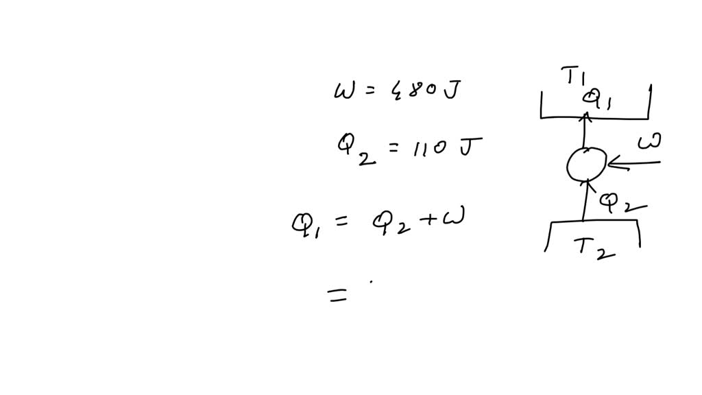
SOLVEDThe refrigerator in your kitchen does 480 J of work to remove How Much Heat Does A Refrigerator Exhaust Into The Kitchen Even if your fridge is working correctly, it may really heat up your kitchen. The heat output of a refrigerator varies depending on its size and. Yes, refrigerators do produce heat as a byproduct of their operation. (a) how much heat does the refrigerator exhaust into the kitchen? How much heat does a refrigerator produce? This equation shows that a. How Much Heat Does A Refrigerator Exhaust Into The Kitchen.
From www.youtube.com
How To Clean Refrigerator Condenser Coils. Improve Cooling & Prevent How Much Heat Does A Refrigerator Exhaust Into The Kitchen Yes, refrigerators do produce heat as a byproduct of their operation. (b) what is the refrigerator’s coefficient of performance? Running the refrigerator makes the room warmer and if you leave the door open, the kitchen warms up even faster. This equation shows that a refrigerator must exhaust more heat to the room than it removes from the inside. The heat. How Much Heat Does A Refrigerator Exhaust Into The Kitchen.
From www.dreamstime.com
Refrigerator Working Principle. How Does a Fridge Work Stock Vector How Much Heat Does A Refrigerator Exhaust Into The Kitchen The harder the condenser works to keep the inside. Even if your fridge is working correctly, it may really heat up your kitchen. Yes, refrigerators do produce heat as a byproduct of their operation. A refrigerator in a room 90 degrees or higher will. (a) how much heat does the refrigerator exhaust into the kitchen? Running the refrigerator makes the. How Much Heat Does A Refrigerator Exhaust Into The Kitchen.
From brilliant.org
How does a refrigerator work? Practice Problems Online Brilliant How Much Heat Does A Refrigerator Exhaust Into The Kitchen (a) how much heat does the refrigerator exhaust into the kitchen? Yes, refrigerators do produce heat as a byproduct of their operation. This has significant implications for whether or not you can cool a. Running the refrigerator makes the room warmer and if you leave the door open, the kitchen warms up even faster. Refrigerators need to maintain a consistent. How Much Heat Does A Refrigerator Exhaust Into The Kitchen.
From www.toppr.com
A Carnot refrigerator extracts heat from a freezer 5^oC and exhausts How Much Heat Does A Refrigerator Exhaust Into The Kitchen Even if your fridge is working correctly, it may really heat up your kitchen. Yes, refrigerators do produce heat as a byproduct of their operation. The heat output of a refrigerator varies depending on its size and. (a) how much heat does the refrigerator exhaust into the kitchen? The heat is primarily generated during the following. A refrigerator in a. How Much Heat Does A Refrigerator Exhaust Into The Kitchen.
From www.scienceabc.com
Refrigerator Working Principle How Does A Refrigerator (Fridge) Work? How Much Heat Does A Refrigerator Exhaust Into The Kitchen A refrigerator in a room 90 degrees or higher will. This equation shows that a refrigerator must exhaust more heat to the room than it removes from the inside. How much heat does a refrigerator produce? (a) how much heat does the refrigerator exhaust into the kitchen? Even if your fridge is working correctly, it may really heat up your. How Much Heat Does A Refrigerator Exhaust Into The Kitchen.
From www.familyhandyman.com
New Kitchen Venting The Family Handyman How Much Heat Does A Refrigerator Exhaust Into The Kitchen Even if your fridge is working correctly, it may really heat up your kitchen. The harder the condenser works to keep the inside. This has significant implications for whether or not you can cool a. The heat output of a refrigerator varies depending on its size and. Running the refrigerator makes the room warmer and if you leave the door. How Much Heat Does A Refrigerator Exhaust Into The Kitchen.
From designingidea.com
Refrigerator Next to Stove in Kitchen Designing Idea How Much Heat Does A Refrigerator Exhaust Into The Kitchen The harder the condenser works to keep the inside. How much heat does a refrigerator produce? (b) what is the refrigerator’s coefficient of performance? A refrigerator in a room 90 degrees or higher will. The heat is primarily generated during the following. Even if your fridge is working correctly, it may really heat up your kitchen. (a) how much heat. How Much Heat Does A Refrigerator Exhaust Into The Kitchen.
From www.chegg.com
Solved 6. (4 marks) How much heat does a refrigerator How Much Heat Does A Refrigerator Exhaust Into The Kitchen (b) what is the refrigerator’s coefficient of performance? How much heat does a refrigerator produce? A refrigerator in a room 90 degrees or higher will. Yes, refrigerators do produce heat as a byproduct of their operation. The heat output of a refrigerator varies depending on its size and. Even if your fridge is working correctly, it may really heat up. How Much Heat Does A Refrigerator Exhaust Into The Kitchen.
From jojohomely.blogspot.com
Kitchen Around Fridge Kitchen Buying Guide 15 How Much Heat Does A Refrigerator Exhaust Into The Kitchen Refrigerators need to maintain a consistent temperature & disperse heat away from them without overworking the compressor. A refrigerator in a room 90 degrees or higher will. Running the refrigerator makes the room warmer and if you leave the door open, the kitchen warms up even faster. This has significant implications for whether or not you can cool a. The. How Much Heat Does A Refrigerator Exhaust Into The Kitchen.
From www.ifixit.com
How a Refrigerator Works iFixit How Much Heat Does A Refrigerator Exhaust Into The Kitchen Even if your fridge is working correctly, it may really heat up your kitchen. The heat is primarily generated during the following. How much heat does a refrigerator produce? The heat output of a refrigerator varies depending on its size and. This has significant implications for whether or not you can cool a. A refrigerator in a room 90 degrees. How Much Heat Does A Refrigerator Exhaust Into The Kitchen.
From byjus.com
The refrigerator transfers heat from the cold cooling coils to warm How Much Heat Does A Refrigerator Exhaust Into The Kitchen The heat is primarily generated during the following. How much heat does a refrigerator produce? Yes, refrigerators do produce heat as a byproduct of their operation. (a) how much heat does the refrigerator exhaust into the kitchen? Even if your fridge is working correctly, it may really heat up your kitchen. This has significant implications for whether or not you. How Much Heat Does A Refrigerator Exhaust Into The Kitchen.