Water When It Is Heated Making The Density . Ice is about 0 °c and the water in the cup is about 20 °c. Use the water density calculator, which takes temperature, salinity, and pressure into account, to answer the question. In fact, its volume is a little over 9% greater (or density ca. Oceans are heated by the (blank), therefore the surface of. Definitions, online calculator and figures and tables with water properties like density, specific weight and thermal expansion coefficient of liquid water at temperatures ranging 0 to. When the water is heated, it expands, increasing in volume. 9% lower) than in the liquid state. Use what you know about the density of water at different temperatures to explain why this happened. If you have heard before, the maximum density of water is at 4 degrees celsius. Water expands when it freezes making it less dense than the water from which it freezes. When the same amount of water is heated or cooled, its density changes. Density of ice (blank) than the density of liquid water, therefore ice floats on water. If you cooled water to ice from that point, you would have expanded that amount of water by over 9. Will it float or sink?
from www.engineeringtoolbox.com
9% lower) than in the liquid state. When the water is heated, it expands, increasing in volume. If you cooled water to ice from that point, you would have expanded that amount of water by over 9. Use the water density calculator, which takes temperature, salinity, and pressure into account, to answer the question. In fact, its volume is a little over 9% greater (or density ca. Ice is about 0 °c and the water in the cup is about 20 °c. Use what you know about the density of water at different temperatures to explain why this happened. Density of ice (blank) than the density of liquid water, therefore ice floats on water. When the same amount of water is heated or cooled, its density changes. Will it float or sink?
Water Density and Specific Weight
Water When It Is Heated Making The Density Oceans are heated by the (blank), therefore the surface of. 9% lower) than in the liquid state. Will it float or sink? Water expands when it freezes making it less dense than the water from which it freezes. If you cooled water to ice from that point, you would have expanded that amount of water by over 9. In fact, its volume is a little over 9% greater (or density ca. If you have heard before, the maximum density of water is at 4 degrees celsius. When the water is heated, it expands, increasing in volume. When the same amount of water is heated or cooled, its density changes. Density of ice (blank) than the density of liquid water, therefore ice floats on water. Oceans are heated by the (blank), therefore the surface of. Use what you know about the density of water at different temperatures to explain why this happened. Definitions, online calculator and figures and tables with water properties like density, specific weight and thermal expansion coefficient of liquid water at temperatures ranging 0 to. Ice is about 0 °c and the water in the cup is about 20 °c. Use the water density calculator, which takes temperature, salinity, and pressure into account, to answer the question.
From student-tutor.com
Understanding the Density of Water StudentTutor Education Blog Water When It Is Heated Making The Density In fact, its volume is a little over 9% greater (or density ca. 9% lower) than in the liquid state. Use what you know about the density of water at different temperatures to explain why this happened. Definitions, online calculator and figures and tables with water properties like density, specific weight and thermal expansion coefficient of liquid water at temperatures. Water When It Is Heated Making The Density.
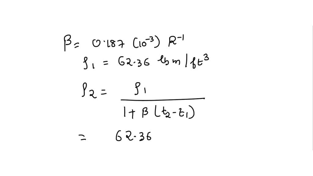
From www.numerade.com
SOLVED Use the coefficient of volume expansion to estimate the density Water When It Is Heated Making The Density In fact, its volume is a little over 9% greater (or density ca. Definitions, online calculator and figures and tables with water properties like density, specific weight and thermal expansion coefficient of liquid water at temperatures ranging 0 to. Oceans are heated by the (blank), therefore the surface of. Use what you know about the density of water at different. Water When It Is Heated Making The Density.
From www.tessshebaylo.com
Equation For Density Of Water As A Function Temperature Tessshebaylo Water When It Is Heated Making The Density Use the water density calculator, which takes temperature, salinity, and pressure into account, to answer the question. If you have heard before, the maximum density of water is at 4 degrees celsius. If you cooled water to ice from that point, you would have expanded that amount of water by over 9. Use what you know about the density of. Water When It Is Heated Making The Density.
From chem.libretexts.org
2 The Density of Liquids and Solids (Experiment) Chemistry LibreTexts Water When It Is Heated Making The Density Oceans are heated by the (blank), therefore the surface of. Ice is about 0 °c and the water in the cup is about 20 °c. Water expands when it freezes making it less dense than the water from which it freezes. Definitions, online calculator and figures and tables with water properties like density, specific weight and thermal expansion coefficient of. Water When It Is Heated Making The Density.
From www.sciencephoto.com
Convection current in heated water, illustration Stock Image C050 Water When It Is Heated Making The Density Ice is about 0 °c and the water in the cup is about 20 °c. Use what you know about the density of water at different temperatures to explain why this happened. If you cooled water to ice from that point, you would have expanded that amount of water by over 9. In fact, its volume is a little over. Water When It Is Heated Making The Density.
From www.numerade.com
SOLVEDDensity and Temperature Starting at 0^∘ C, how will the density Water When It Is Heated Making The Density Ice is about 0 °c and the water in the cup is about 20 °c. 9% lower) than in the liquid state. Will it float or sink? Density of ice (blank) than the density of liquid water, therefore ice floats on water. Oceans are heated by the (blank), therefore the surface of. Use what you know about the density of. Water When It Is Heated Making The Density.
From www.dreamstime.com
Density of Matter with Gas, Liquid and Solid Particle States Outline Water When It Is Heated Making The Density Ice is about 0 °c and the water in the cup is about 20 °c. If you have heard before, the maximum density of water is at 4 degrees celsius. Oceans are heated by the (blank), therefore the surface of. Density of ice (blank) than the density of liquid water, therefore ice floats on water. Water expands when it freezes. Water When It Is Heated Making The Density.
From www.geeksforgeeks.org
What is the Density of Water? Formula, Factors, Examples & FAQs Water When It Is Heated Making The Density Density of ice (blank) than the density of liquid water, therefore ice floats on water. 9% lower) than in the liquid state. Use what you know about the density of water at different temperatures to explain why this happened. If you have heard before, the maximum density of water is at 4 degrees celsius. Oceans are heated by the (blank),. Water When It Is Heated Making The Density.
From www.numerade.com
SOLVED A 50.0 mL sample of water is heated to its boiling point. How Water When It Is Heated Making The Density Oceans are heated by the (blank), therefore the surface of. If you cooled water to ice from that point, you would have expanded that amount of water by over 9. Density of ice (blank) than the density of liquid water, therefore ice floats on water. Use the water density calculator, which takes temperature, salinity, and pressure into account, to answer. Water When It Is Heated Making The Density.
From materialfullbesoming.z13.web.core.windows.net
How To Determine Density Of A Liquid Water When It Is Heated Making The Density 9% lower) than in the liquid state. Definitions, online calculator and figures and tables with water properties like density, specific weight and thermal expansion coefficient of liquid water at temperatures ranging 0 to. Use the water density calculator, which takes temperature, salinity, and pressure into account, to answer the question. Water expands when it freezes making it less dense than. Water When It Is Heated Making The Density.
From www.slideserve.com
PPT Heat vs Temperature PowerPoint Presentation, free download ID Water When It Is Heated Making The Density Ice is about 0 °c and the water in the cup is about 20 °c. Will it float or sink? If you cooled water to ice from that point, you would have expanded that amount of water by over 9. Oceans are heated by the (blank), therefore the surface of. Density of ice (blank) than the density of liquid water,. Water When It Is Heated Making The Density.
From www.pinterest.com
The arrangement of water molecules in solid ice, liquid water and water Water When It Is Heated Making The Density Density of ice (blank) than the density of liquid water, therefore ice floats on water. If you have heard before, the maximum density of water is at 4 degrees celsius. Water expands when it freezes making it less dense than the water from which it freezes. When the water is heated, it expands, increasing in volume. Use what you know. Water When It Is Heated Making The Density.
From www.geeksforgeeks.org
What is the Density of Water? Formula, Factors, Examples & FAQs Water When It Is Heated Making The Density If you cooled water to ice from that point, you would have expanded that amount of water by over 9. In fact, its volume is a little over 9% greater (or density ca. Definitions, online calculator and figures and tables with water properties like density, specific weight and thermal expansion coefficient of liquid water at temperatures ranging 0 to. Density. Water When It Is Heated Making The Density.
From www.tessshebaylo.com
Equation For Density Of Water With Temperature Tessshebaylo Water When It Is Heated Making The Density Oceans are heated by the (blank), therefore the surface of. When the same amount of water is heated or cooled, its density changes. Density of ice (blank) than the density of liquid water, therefore ice floats on water. When the water is heated, it expands, increasing in volume. In fact, its volume is a little over 9% greater (or density. Water When It Is Heated Making The Density.
From studyrocket.co.uk
Density GCSE Physics Science) AQA Revision Study Rocket Water When It Is Heated Making The Density Ice is about 0 °c and the water in the cup is about 20 °c. Density of ice (blank) than the density of liquid water, therefore ice floats on water. If you have heard before, the maximum density of water is at 4 degrees celsius. Use what you know about the density of water at different temperatures to explain why. Water When It Is Heated Making The Density.
From www.youtube.com
Liquid Density Experiment Easily Conduct this Experiment at Home Water When It Is Heated Making The Density Density of ice (blank) than the density of liquid water, therefore ice floats on water. Definitions, online calculator and figures and tables with water properties like density, specific weight and thermal expansion coefficient of liquid water at temperatures ranging 0 to. When the water is heated, it expands, increasing in volume. When the same amount of water is heated or. Water When It Is Heated Making The Density.
From quizzmediakathy.z21.web.core.windows.net
Measuring The Density Of A Liquid Water When It Is Heated Making The Density Ice is about 0 °c and the water in the cup is about 20 °c. If you have heard before, the maximum density of water is at 4 degrees celsius. Water expands when it freezes making it less dense than the water from which it freezes. When the same amount of water is heated or cooled, its density changes. Definitions,. Water When It Is Heated Making The Density.
From www.pinterest.com
Hot And Cold Water Science Experiment. Instructions for a fun Water When It Is Heated Making The Density If you have heard before, the maximum density of water is at 4 degrees celsius. Definitions, online calculator and figures and tables with water properties like density, specific weight and thermal expansion coefficient of liquid water at temperatures ranging 0 to. Water expands when it freezes making it less dense than the water from which it freezes. Use the water. Water When It Is Heated Making The Density.
From www.slideserve.com
PPT Properties of Water PowerPoint Presentation, free download ID Water When It Is Heated Making The Density When the same amount of water is heated or cooled, its density changes. Ice is about 0 °c and the water in the cup is about 20 °c. Density of ice (blank) than the density of liquid water, therefore ice floats on water. Water expands when it freezes making it less dense than the water from which it freezes. Use. Water When It Is Heated Making The Density.
From www.learnz.org.nz
The Water Cycle LEARNZ Water When It Is Heated Making The Density Definitions, online calculator and figures and tables with water properties like density, specific weight and thermal expansion coefficient of liquid water at temperatures ranging 0 to. Oceans are heated by the (blank), therefore the surface of. In fact, its volume is a little over 9% greater (or density ca. When the water is heated, it expands, increasing in volume. Use. Water When It Is Heated Making The Density.
From ar.inspiredpencil.com
Density Examples Of Water Water When It Is Heated Making The Density Will it float or sink? Use what you know about the density of water at different temperatures to explain why this happened. When the water is heated, it expands, increasing in volume. When the same amount of water is heated or cooled, its density changes. Definitions, online calculator and figures and tables with water properties like density, specific weight and. Water When It Is Heated Making The Density.
From wisc.pb.unizin.org
Measurements, Units, Conversions, Density (M1Q1) UWMadison Chemistry Water When It Is Heated Making The Density When the same amount of water is heated or cooled, its density changes. 9% lower) than in the liquid state. In fact, its volume is a little over 9% greater (or density ca. If you have heard before, the maximum density of water is at 4 degrees celsius. Use the water density calculator, which takes temperature, salinity, and pressure into. Water When It Is Heated Making The Density.
From www.numerade.com
SOLVED A 75.0 mL sample of water is heated to its boiling point. How Water When It Is Heated Making The Density Oceans are heated by the (blank), therefore the surface of. When the same amount of water is heated or cooled, its density changes. Water expands when it freezes making it less dense than the water from which it freezes. Definitions, online calculator and figures and tables with water properties like density, specific weight and thermal expansion coefficient of liquid water. Water When It Is Heated Making The Density.
From www.expii.com
Unique Densities (Water) — Properties & Examples Expii Water When It Is Heated Making The Density Definitions, online calculator and figures and tables with water properties like density, specific weight and thermal expansion coefficient of liquid water at temperatures ranging 0 to. Water expands when it freezes making it less dense than the water from which it freezes. Use the water density calculator, which takes temperature, salinity, and pressure into account, to answer the question. Ice. Water When It Is Heated Making The Density.
From courses.lumenlearning.com
Water Properties Chemistry Water When It Is Heated Making The Density 9% lower) than in the liquid state. When the same amount of water is heated or cooled, its density changes. Will it float or sink? Use the water density calculator, which takes temperature, salinity, and pressure into account, to answer the question. When the water is heated, it expands, increasing in volume. Oceans are heated by the (blank), therefore the. Water When It Is Heated Making The Density.
From www.wikihow.com
How to Find the Density of Water 10 Steps (with Pictures) Water When It Is Heated Making The Density Ice is about 0 °c and the water in the cup is about 20 °c. Use the water density calculator, which takes temperature, salinity, and pressure into account, to answer the question. Use what you know about the density of water at different temperatures to explain why this happened. If you have heard before, the maximum density of water is. Water When It Is Heated Making The Density.
From www.tessshebaylo.com
Equation For Density Of Water Vs Temperature Tessshebaylo Water When It Is Heated Making The Density Ice is about 0 °c and the water in the cup is about 20 °c. Definitions, online calculator and figures and tables with water properties like density, specific weight and thermal expansion coefficient of liquid water at temperatures ranging 0 to. Use what you know about the density of water at different temperatures to explain why this happened. 9% lower). Water When It Is Heated Making The Density.
From www.engineeringtoolbox.com
Water Density and Specific Weight Water When It Is Heated Making The Density If you cooled water to ice from that point, you would have expanded that amount of water by over 9. Will it float or sink? Density of ice (blank) than the density of liquid water, therefore ice floats on water. Oceans are heated by the (blank), therefore the surface of. When the water is heated, it expands, increasing in volume.. Water When It Is Heated Making The Density.
From paradise5thscience.weebly.com
Density Mrs. Mauk's 5th Grade Science Class Water When It Is Heated Making The Density Use what you know about the density of water at different temperatures to explain why this happened. 9% lower) than in the liquid state. Definitions, online calculator and figures and tables with water properties like density, specific weight and thermal expansion coefficient of liquid water at temperatures ranging 0 to. If you have heard before, the maximum density of water. Water When It Is Heated Making The Density.
From www.slideserve.com
PPT Ch12. Temperature and Heat Common Temperature Scales PowerPoint Water When It Is Heated Making The Density Oceans are heated by the (blank), therefore the surface of. Density of ice (blank) than the density of liquid water, therefore ice floats on water. Will it float or sink? When the same amount of water is heated or cooled, its density changes. If you cooled water to ice from that point, you would have expanded that amount of water. Water When It Is Heated Making The Density.
From slideplayer.com
Key Plumbing Principles ppt download Water When It Is Heated Making The Density Definitions, online calculator and figures and tables with water properties like density, specific weight and thermal expansion coefficient of liquid water at temperatures ranging 0 to. Use the water density calculator, which takes temperature, salinity, and pressure into account, to answer the question. Ice is about 0 °c and the water in the cup is about 20 °c. Water expands. Water When It Is Heated Making The Density.
From www.geeksforgeeks.org
Density of Water Factors, Temperature Scales, Examples, FAQs Water When It Is Heated Making The Density Oceans are heated by the (blank), therefore the surface of. In fact, its volume is a little over 9% greater (or density ca. When the water is heated, it expands, increasing in volume. If you cooled water to ice from that point, you would have expanded that amount of water by over 9. Use what you know about the density. Water When It Is Heated Making The Density.
From iusbchemistry.blogspot.com
IU South Bend Chemistry and Biochemistry PPT Water When It Is Heated Making The Density Ice is about 0 °c and the water in the cup is about 20 °c. If you have heard before, the maximum density of water is at 4 degrees celsius. Oceans are heated by the (blank), therefore the surface of. Water expands when it freezes making it less dense than the water from which it freezes. In fact, its volume. Water When It Is Heated Making The Density.
From www.slideserve.com
PPT Unit 4 The Hydrosphere PowerPoint Presentation ID2833261 Water When It Is Heated Making The Density Use what you know about the density of water at different temperatures to explain why this happened. 9% lower) than in the liquid state. Water expands when it freezes making it less dense than the water from which it freezes. Ice is about 0 °c and the water in the cup is about 20 °c. Oceans are heated by the. Water When It Is Heated Making The Density.
From www.slideserve.com
PPT Density PowerPoint Presentation, free download ID3419408 Water When It Is Heated Making The Density When the same amount of water is heated or cooled, its density changes. If you cooled water to ice from that point, you would have expanded that amount of water by over 9. 9% lower) than in the liquid state. Will it float or sink? Definitions, online calculator and figures and tables with water properties like density, specific weight and. Water When It Is Heated Making The Density.