Connell Population . 64.79% are white, 5.89% are black or african american, 0.08% are. census data for connell, wa urban area (pop. racial distribution of connell population: According to the latest data from u.s. in 2022, connell, wa had a population of 5.18k people with a median age of 39.8 and a median household income of $61,000. census data for connell, wa (pop. the current population of connell, washington is 4,498 based on our projections of the latest us census. 5,186), including age, race, sex, income, poverty, marital status, education and more. 5,175), including age, race, sex, income, poverty, marital status, education and more. Between 2021 and 2022 the. connell (washington, urban areas, usa) with population statistics, charts, map, location, weather and web information. is connell, wa population increasing or decreasing?
from www.thefamousbirthdays.com
census data for connell, wa urban area (pop. 5,186), including age, race, sex, income, poverty, marital status, education and more. the current population of connell, washington is 4,498 based on our projections of the latest us census. 5,175), including age, race, sex, income, poverty, marital status, education and more. According to the latest data from u.s. census data for connell, wa (pop. in 2022, connell, wa had a population of 5.18k people with a median age of 39.8 and a median household income of $61,000. connell (washington, urban areas, usa) with population statistics, charts, map, location, weather and web information. 64.79% are white, 5.89% are black or african american, 0.08% are. Between 2021 and 2022 the.
Daniel O'Connell Celebrity biography, zodiac sign and famous quotes
Connell Population in 2022, connell, wa had a population of 5.18k people with a median age of 39.8 and a median household income of $61,000. in 2022, connell, wa had a population of 5.18k people with a median age of 39.8 and a median household income of $61,000. census data for connell, wa (pop. the current population of connell, washington is 4,498 based on our projections of the latest us census. Between 2021 and 2022 the. connell (washington, urban areas, usa) with population statistics, charts, map, location, weather and web information. racial distribution of connell population: 64.79% are white, 5.89% are black or african american, 0.08% are. 5,175), including age, race, sex, income, poverty, marital status, education and more. is connell, wa population increasing or decreasing? census data for connell, wa urban area (pop. 5,186), including age, race, sex, income, poverty, marital status, education and more. According to the latest data from u.s.
From www.neilsberg.com
Connell, WA Population by Age 2023 Connell, WA Age Demographics Connell Population Between 2021 and 2022 the. connell (washington, urban areas, usa) with population statistics, charts, map, location, weather and web information. census data for connell, wa urban area (pop. census data for connell, wa (pop. racial distribution of connell population: 5,186), including age, race, sex, income, poverty, marital status, education and more. 64.79% are white, 5.89% are. Connell Population.
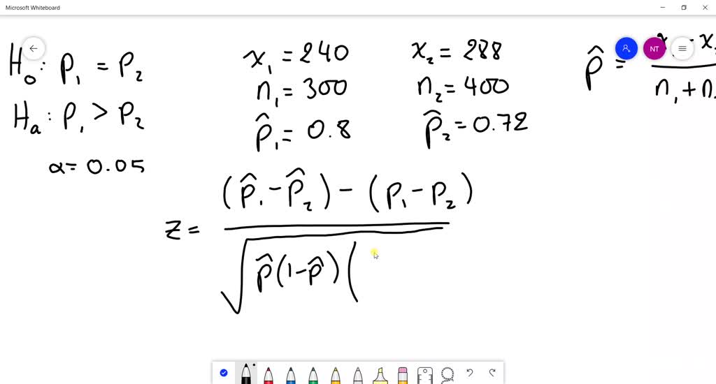
From dxodqxgdl.blob.core.windows.net
Population Of Connell Washington at Judy Peacock blog Connell Population 64.79% are white, 5.89% are black or african american, 0.08% are. Between 2021 and 2022 the. racial distribution of connell population: According to the latest data from u.s. 5,186), including age, race, sex, income, poverty, marital status, education and more. connell (washington, urban areas, usa) with population statistics, charts, map, location, weather and web information. census data. Connell Population.
From www.neilsberg.com
Connell, WA Population by Age 2023 Connell, WA Age Demographics Connell Population Between 2021 and 2022 the. is connell, wa population increasing or decreasing? census data for connell, wa (pop. 5,186), including age, race, sex, income, poverty, marital status, education and more. in 2022, connell, wa had a population of 5.18k people with a median age of 39.8 and a median household income of $61,000. census data for. Connell Population.
From www.mainevalleypost.com
Enumerators In Training for Census 2016 The Maine Valley Post Connell Population racial distribution of connell population: connell (washington, urban areas, usa) with population statistics, charts, map, location, weather and web information. census data for connell, wa (pop. 5,175), including age, race, sex, income, poverty, marital status, education and more. 64.79% are white, 5.89% are black or african american, 0.08% are. Between 2021 and 2022 the. census data. Connell Population.
From dorkingmuseum.org.uk
Herbert Connell Whipple 1911 Census © ancestry.co.uk Dorking Museum Connell Population connell (washington, urban areas, usa) with population statistics, charts, map, location, weather and web information. census data for connell, wa (pop. racial distribution of connell population: Between 2021 and 2022 the. census data for connell, wa urban area (pop. in 2022, connell, wa had a population of 5.18k people with a median age of 39.8. Connell Population.
From www.neilsberg.com
Connell, WA Median Household By Age 2024 Update Neilsberg Connell Population racial distribution of connell population: 64.79% are white, 5.89% are black or african american, 0.08% are. connell (washington, urban areas, usa) with population statistics, charts, map, location, weather and web information. 5,175), including age, race, sex, income, poverty, marital status, education and more. in 2022, connell, wa had a population of 5.18k people with a median age. Connell Population.
From billcawthon.medium.com
According to the 2020 Census, Hawaii’s population was 1,455,271; Idaho Connell Population is connell, wa population increasing or decreasing? racial distribution of connell population: 64.79% are white, 5.89% are black or african american, 0.08% are. connell (washington, urban areas, usa) with population statistics, charts, map, location, weather and web information. According to the latest data from u.s. the current population of connell, washington is 4,498 based on our. Connell Population.
From www.numerade.com
SOLVED In a study on the fertility of married women conducted by Connell Population the current population of connell, washington is 4,498 based on our projections of the latest us census. census data for connell, wa (pop. census data for connell, wa urban area (pop. is connell, wa population increasing or decreasing? According to the latest data from u.s. connell (washington, urban areas, usa) with population statistics, charts, map,. Connell Population.
From www.irishorigenes.com
Connell'O Irish Origenes Use your DNA to rediscover your Irish origin Connell Population census data for connell, wa urban area (pop. is connell, wa population increasing or decreasing? Between 2021 and 2022 the. 5,186), including age, race, sex, income, poverty, marital status, education and more. census data for connell, wa (pop. in 2022, connell, wa had a population of 5.18k people with a median age of 39.8 and a. Connell Population.
From www.slideserve.com
PPT Martin O’Connell and Gretchen Gooding Fertility and Family Connell Population 5,175), including age, race, sex, income, poverty, marital status, education and more. Between 2021 and 2022 the. is connell, wa population increasing or decreasing? racial distribution of connell population: census data for connell, wa (pop. 64.79% are white, 5.89% are black or african american, 0.08% are. According to the latest data from u.s. 5,186), including age, race,. Connell Population.
From www.wilburellis.com
An Exciting New Day for ConnellCaldic CONGRATULATIONS! WilburEllis Connell Population 5,186), including age, race, sex, income, poverty, marital status, education and more. connell (washington, urban areas, usa) with population statistics, charts, map, location, weather and web information. the current population of connell, washington is 4,498 based on our projections of the latest us census. 64.79% are white, 5.89% are black or african american, 0.08% are. in 2022,. Connell Population.
From www.researchgate.net
Caitlin CONNELL University of Melbourne, Melbourne MSD Melbourne Connell Population racial distribution of connell population: 5,175), including age, race, sex, income, poverty, marital status, education and more. in 2022, connell, wa had a population of 5.18k people with a median age of 39.8 and a median household income of $61,000. 64.79% are white, 5.89% are black or african american, 0.08% are. is connell, wa population increasing or. Connell Population.
From religionnews.com
Los Angeles David O'Connell dies in shooting Connell Population census data for connell, wa urban area (pop. 5,186), including age, race, sex, income, poverty, marital status, education and more. in 2022, connell, wa had a population of 5.18k people with a median age of 39.8 and a median household income of $61,000. According to the latest data from u.s. census data for connell, wa (pop. . Connell Population.
From www.thefamousbirthdays.com
Daniel O'Connell Celebrity biography, zodiac sign and famous quotes Connell Population 5,186), including age, race, sex, income, poverty, marital status, education and more. is connell, wa population increasing or decreasing? racial distribution of connell population: connell (washington, urban areas, usa) with population statistics, charts, map, location, weather and web information. census data for connell, wa (pop. the current population of connell, washington is 4,498 based on. Connell Population.
From www.reddit.com
Caitlin Connell Weathernation r/CurvyNewsWomen Connell Population 64.79% are white, 5.89% are black or african american, 0.08% are. According to the latest data from u.s. census data for connell, wa (pop. 5,175), including age, race, sex, income, poverty, marital status, education and more. is connell, wa population increasing or decreasing? racial distribution of connell population: connell (washington, urban areas, usa) with population statistics,. Connell Population.
From dxodqxgdl.blob.core.windows.net
Population Of Connell Washington at Judy Peacock blog Connell Population racial distribution of connell population: 5,175), including age, race, sex, income, poverty, marital status, education and more. census data for connell, wa urban area (pop. 5,186), including age, race, sex, income, poverty, marital status, education and more. Between 2021 and 2022 the. the current population of connell, washington is 4,498 based on our projections of the latest. Connell Population.
From www.wilburellis.com
Connell Brothers Archives WilburEllis Corporate Connell Population the current population of connell, washington is 4,498 based on our projections of the latest us census. census data for connell, wa (pop. Between 2021 and 2022 the. in 2022, connell, wa had a population of 5.18k people with a median age of 39.8 and a median household income of $61,000. is connell, wa population increasing. Connell Population.
From getcbdstore.com
Best CBD Stores in Connell, Washington Connell Population is connell, wa population increasing or decreasing? 5,175), including age, race, sex, income, poverty, marital status, education and more. the current population of connell, washington is 4,498 based on our projections of the latest us census. census data for connell, wa (pop. racial distribution of connell population: 64.79% are white, 5.89% are black or african american,. Connell Population.
From www.reddit.com
Caitlin Connell WeatherNation Denver r/newswomen_hd Connell Population is connell, wa population increasing or decreasing? 64.79% are white, 5.89% are black or african american, 0.08% are. According to the latest data from u.s. census data for connell, wa (pop. connell (washington, urban areas, usa) with population statistics, charts, map, location, weather and web information. racial distribution of connell population: census data for connell,. Connell Population.
From dxodqxgdl.blob.core.windows.net
Population Of Connell Washington at Judy Peacock blog Connell Population is connell, wa population increasing or decreasing? the current population of connell, washington is 4,498 based on our projections of the latest us census. in 2022, connell, wa had a population of 5.18k people with a median age of 39.8 and a median household income of $61,000. census data for connell, wa (pop. 64.79% are white,. Connell Population.
From utahpopulation.org
UPEC Board Member Profile Ann O’Connell Utah Population Connell Population 64.79% are white, 5.89% are black or african american, 0.08% are. in 2022, connell, wa had a population of 5.18k people with a median age of 39.8 and a median household income of $61,000. is connell, wa population increasing or decreasing? the current population of connell, washington is 4,498 based on our projections of the latest us. Connell Population.
From www.slideserve.com
PPT Martin O’Connell and Gretchen Gooding Fertility and Family Connell Population the current population of connell, washington is 4,498 based on our projections of the latest us census. is connell, wa population increasing or decreasing? 5,186), including age, race, sex, income, poverty, marital status, education and more. Between 2021 and 2022 the. 64.79% are white, 5.89% are black or african american, 0.08% are. census data for connell, wa. Connell Population.
From www.wsj.com
Robert O'Connell — Reporter at The Wall Street Journal Connell Population Between 2021 and 2022 the. racial distribution of connell population: According to the latest data from u.s. 64.79% are white, 5.89% are black or african american, 0.08% are. 5,175), including age, race, sex, income, poverty, marital status, education and more. census data for connell, wa urban area (pop. census data for connell, wa (pop. connell (washington,. Connell Population.
From dorkingmuseum.org.uk
Herbert Connell Whipple 1891 Census 2 © findmypast.co.uk Dorking Connell Population the current population of connell, washington is 4,498 based on our projections of the latest us census. 5,186), including age, race, sex, income, poverty, marital status, education and more. According to the latest data from u.s. census data for connell, wa urban area (pop. 5,175), including age, race, sex, income, poverty, marital status, education and more. racial. Connell Population.
From www.theirishstory.com
Programme of Lectures on the Irish Revolution, The People's College Connell Population census data for connell, wa (pop. racial distribution of connell population: is connell, wa population increasing or decreasing? connell (washington, urban areas, usa) with population statistics, charts, map, location, weather and web information. in 2022, connell, wa had a population of 5.18k people with a median age of 39.8 and a median household income of. Connell Population.
From twitter.com
NBC Nightly News with Lester Holt on Twitter "Dr. Jim O’Connell has Connell Population connell (washington, urban areas, usa) with population statistics, charts, map, location, weather and web information. 5,175), including age, race, sex, income, poverty, marital status, education and more. 64.79% are white, 5.89% are black or african american, 0.08% are. is connell, wa population increasing or decreasing? According to the latest data from u.s. in 2022, connell, wa had. Connell Population.
From www.slideserve.com
PPT Martin O’Connell and Gretchen Gooding Fertility and Family Connell Population census data for connell, wa (pop. 64.79% are white, 5.89% are black or african american, 0.08% are. census data for connell, wa urban area (pop. the current population of connell, washington is 4,498 based on our projections of the latest us census. connell (washington, urban areas, usa) with population statistics, charts, map, location, weather and web. Connell Population.
From www.pinterest.com
Normal People, Other People, Mescal, It's All Happening, God Made You Connell Population connell (washington, urban areas, usa) with population statistics, charts, map, location, weather and web information. Between 2021 and 2022 the. in 2022, connell, wa had a population of 5.18k people with a median age of 39.8 and a median household income of $61,000. 64.79% are white, 5.89% are black or african american, 0.08% are. racial distribution of. Connell Population.
From tonsoffacts.com
20 Interesting And Fascinating Facts About Connell, Washington, United Connell Population census data for connell, wa (pop. 64.79% are white, 5.89% are black or african american, 0.08% are. the current population of connell, washington is 4,498 based on our projections of the latest us census. 5,186), including age, race, sex, income, poverty, marital status, education and more. census data for connell, wa urban area (pop. connell (washington,. Connell Population.
From dxodqxgdl.blob.core.windows.net
Population Of Connell Washington at Judy Peacock blog Connell Population racial distribution of connell population: is connell, wa population increasing or decreasing? Between 2021 and 2022 the. census data for connell, wa urban area (pop. the current population of connell, washington is 4,498 based on our projections of the latest us census. in 2022, connell, wa had a population of 5.18k people with a median. Connell Population.
From www.connellwa.com
Greater Connell Area Chamber of Commerce Connell, Washington Connell Population is connell, wa population increasing or decreasing? According to the latest data from u.s. 64.79% are white, 5.89% are black or african american, 0.08% are. racial distribution of connell population: connell (washington, urban areas, usa) with population statistics, charts, map, location, weather and web information. the current population of connell, washington is 4,498 based on our. Connell Population.
From twitter.com
Population, Refugees, and Migration Bureau on Twitter "PRM A/Asst Sec Connell Population census data for connell, wa (pop. Between 2021 and 2022 the. connell (washington, urban areas, usa) with population statistics, charts, map, location, weather and web information. 5,186), including age, race, sex, income, poverty, marital status, education and more. is connell, wa population increasing or decreasing? the current population of connell, washington is 4,498 based on our. Connell Population.
From twitter.com
Ricardo Parra on Twitter "RT NBCNightlyNews For 37 years, Dr. Jim O Connell Population the current population of connell, washington is 4,498 based on our projections of the latest us census. connell (washington, urban areas, usa) with population statistics, charts, map, location, weather and web information. According to the latest data from u.s. census data for connell, wa (pop. in 2022, connell, wa had a population of 5.18k people with. Connell Population.
From dorkingmuseum.org.uk
Herbert Connell Whipple 1881 Census © findmypast.co.uk Dorking Museum Connell Population 5,186), including age, race, sex, income, poverty, marital status, education and more. 64.79% are white, 5.89% are black or african american, 0.08% are. in 2022, connell, wa had a population of 5.18k people with a median age of 39.8 and a median household income of $61,000. connell (washington, urban areas, usa) with population statistics, charts, map, location, weather. Connell Population.
From www.alamy.com
crowd of people crossing oconnell street bridge dublin republic of Connell Population 5,186), including age, race, sex, income, poverty, marital status, education and more. racial distribution of connell population: connell (washington, urban areas, usa) with population statistics, charts, map, location, weather and web information. census data for connell, wa (pop. 5,175), including age, race, sex, income, poverty, marital status, education and more. the current population of connell, washington. Connell Population.