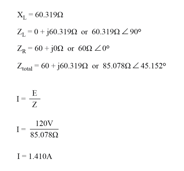
Resistive Vs Reactive Load . Resistive vs reactive load bank: Resistive loads are simple, which tends to reduce their price. They are simple by design. While resistive load banks dissipate only the. As with any reactive circuit, the power. The impedance z of a reactive load comprising resistance r and series reactance x is: The key distinction lies in how each manages load changes. The reactance dissipates no power; Resistive load boxes are made of up resistors that take in the power being output by the amp and release it as heat. Z = r + jx = |z|ðf. A combined resistive/reactive circuit dissipates more power than it returns to the source.
from www.linkedin.com
They are simple by design. While resistive load banks dissipate only the. A combined resistive/reactive circuit dissipates more power than it returns to the source. Resistive loads are simple, which tends to reduce their price. The impedance z of a reactive load comprising resistance r and series reactance x is: The reactance dissipates no power; Z = r + jx = |z|ðf. The key distinction lies in how each manages load changes. Resistive load boxes are made of up resistors that take in the power being output by the amp and release it as heat. Resistive vs reactive load bank:
Comrent Load Bank Solutions on LinkedIn Resistive vs. Reactive
Resistive Vs Reactive Load The impedance z of a reactive load comprising resistance r and series reactance x is: As with any reactive circuit, the power. A combined resistive/reactive circuit dissipates more power than it returns to the source. Resistive loads are simple, which tends to reduce their price. They are simple by design. Resistive load boxes are made of up resistors that take in the power being output by the amp and release it as heat. While resistive load banks dissipate only the. The reactance dissipates no power; Resistive vs reactive load bank: The key distinction lies in how each manages load changes. The impedance z of a reactive load comprising resistance r and series reactance x is: Z = r + jx = |z|ðf.
From www.slideserve.com
PPT CommonSource (Emitter) Amplifiers with Resistive Loads Resistive Vs Reactive Load Z = r + jx = |z|ðf. The key distinction lies in how each manages load changes. Resistive vs reactive load bank: The impedance z of a reactive load comprising resistance r and series reactance x is: The reactance dissipates no power; They are simple by design. Resistive loads are simple, which tends to reduce their price. Resistive load boxes. Resistive Vs Reactive Load.
From www.technocrazed.com
ac circuit with resistive and purely reactive load TechnoCrazed Resistive Vs Reactive Load The impedance z of a reactive load comprising resistance r and series reactance x is: The key distinction lies in how each manages load changes. They are simple by design. Resistive vs reactive load bank: Resistive load boxes are made of up resistors that take in the power being output by the amp and release it as heat. While resistive. Resistive Vs Reactive Load.
From trinitypower.com
Resistive & Reactive Load Bank Rentals Trinity Power Resistive Vs Reactive Load Resistive loads are simple, which tends to reduce their price. As with any reactive circuit, the power. The key distinction lies in how each manages load changes. Resistive vs reactive load bank: A combined resistive/reactive circuit dissipates more power than it returns to the source. Z = r + jx = |z|ðf. While resistive load banks dissipate only the. The. Resistive Vs Reactive Load.
From www.bigrentz.com
Diesel Generator Fuel Consumption Chart BigRentz Resistive Vs Reactive Load Resistive loads are simple, which tends to reduce their price. The reactance dissipates no power; Resistive load boxes are made of up resistors that take in the power being output by the amp and release it as heat. Z = r + jx = |z|ðf. They are simple by design. A combined resistive/reactive circuit dissipates more power than it returns. Resistive Vs Reactive Load.
From www.technocrazed.com
11.1 Power in Resistive and Reactive AC circuits Resistive Vs Reactive Load Resistive vs reactive load bank: The key distinction lies in how each manages load changes. They are simple by design. Resistive load boxes are made of up resistors that take in the power being output by the amp and release it as heat. Resistive loads are simple, which tends to reduce their price. As with any reactive circuit, the power.. Resistive Vs Reactive Load.
From www.trystar.com
Resistive Reactive Load Banks Trystar Resistive Vs Reactive Load Resistive load boxes are made of up resistors that take in the power being output by the amp and release it as heat. The reactance dissipates no power; Resistive loads are simple, which tends to reduce their price. The impedance z of a reactive load comprising resistance r and series reactance x is: Resistive vs reactive load bank: They are. Resistive Vs Reactive Load.
From www.slideserve.com
PPT Resistive Reactive Load Bank Inductive Load Bank PowerPoint Resistive Vs Reactive Load Z = r + jx = |z|ðf. Resistive vs reactive load bank: As with any reactive circuit, the power. A combined resistive/reactive circuit dissipates more power than it returns to the source. While resistive load banks dissipate only the. Resistive load boxes are made of up resistors that take in the power being output by the amp and release it. Resistive Vs Reactive Load.
From www.linkedin.com
Comrent Load Bank Solutions on LinkedIn Resistive vs. Reactive Resistive Vs Reactive Load Resistive loads are simple, which tends to reduce their price. While resistive load banks dissipate only the. The reactance dissipates no power; Z = r + jx = |z|ðf. Resistive vs reactive load bank: Resistive load boxes are made of up resistors that take in the power being output by the amp and release it as heat. A combined resistive/reactive. Resistive Vs Reactive Load.
From www.cnloadbank.com
China Customized 125kVA/415V Resistive Reactive Load Bank Suppliers Resistive Vs Reactive Load The reactance dissipates no power; As with any reactive circuit, the power. They are simple by design. The impedance z of a reactive load comprising resistance r and series reactance x is: Resistive vs reactive load bank: Resistive load boxes are made of up resistors that take in the power being output by the amp and release it as heat.. Resistive Vs Reactive Load.
From crestchic-usa.com
Resistive or reactive load banks? Crestchic USA leading manufacturer Resistive Vs Reactive Load While resistive load banks dissipate only the. The impedance z of a reactive load comprising resistance r and series reactance x is: The reactance dissipates no power; As with any reactive circuit, the power. A combined resistive/reactive circuit dissipates more power than it returns to the source. The key distinction lies in how each manages load changes. Z = r. Resistive Vs Reactive Load.
From cfghnsfdg2.blogspot.com
Reactive Load Bank cfghnsfdg2 Resistive Vs Reactive Load They are simple by design. The impedance z of a reactive load comprising resistance r and series reactance x is: As with any reactive circuit, the power. Resistive load boxes are made of up resistors that take in the power being output by the amp and release it as heat. Resistive vs reactive load bank: Z = r + jx. Resistive Vs Reactive Load.
From avtronpower.com
Load Bank Elements What's the Difference? Avtron Power Solutions Resistive Vs Reactive Load The impedance z of a reactive load comprising resistance r and series reactance x is: A combined resistive/reactive circuit dissipates more power than it returns to the source. As with any reactive circuit, the power. Z = r + jx = |z|ðf. The reactance dissipates no power; Resistive loads are simple, which tends to reduce their price. They are simple. Resistive Vs Reactive Load.
From www.gfepowerproducts.com
Resistive and Reactive Load Bank Testing Resistive Vs Reactive Load They are simple by design. Resistive vs reactive load bank: Resistive load boxes are made of up resistors that take in the power being output by the amp and release it as heat. Z = r + jx = |z|ðf. The reactance dissipates no power; While resistive load banks dissipate only the. A combined resistive/reactive circuit dissipates more power than. Resistive Vs Reactive Load.
From aublogster.wordpress.com
The Differences Between a Reactive And Resistive Load Bank PRO BLOGGER Resistive Vs Reactive Load The impedance z of a reactive load comprising resistance r and series reactance x is: Resistive load boxes are made of up resistors that take in the power being output by the amp and release it as heat. A combined resistive/reactive circuit dissipates more power than it returns to the source. Z = r + jx = |z|ðf. Resistive vs. Resistive Vs Reactive Load.
From diypowers.en.made-in-china.com
Static / Inductive / Resistive / Capacitive / Reactive Load or Both and Resistive Vs Reactive Load They are simple by design. The reactance dissipates no power; Resistive loads are simple, which tends to reduce their price. Resistive vs reactive load bank: As with any reactive circuit, the power. The key distinction lies in how each manages load changes. The impedance z of a reactive load comprising resistance r and series reactance x is: Z = r. Resistive Vs Reactive Load.
From aublogster.wordpress.com
The Differences Between a Reactive And Resistive Load Bank PRO BLOGGER Resistive Vs Reactive Load A combined resistive/reactive circuit dissipates more power than it returns to the source. Resistive load boxes are made of up resistors that take in the power being output by the amp and release it as heat. The reactance dissipates no power; Z = r + jx = |z|ðf. Resistive loads are simple, which tends to reduce their price. As with. Resistive Vs Reactive Load.
From sikes-elec.de
AC ResistiveInductive Load Bank 2*1388kva,for testing various Resistive Vs Reactive Load Resistive load boxes are made of up resistors that take in the power being output by the amp and release it as heat. The key distinction lies in how each manages load changes. The impedance z of a reactive load comprising resistance r and series reactance x is: Resistive vs reactive load bank: A combined resistive/reactive circuit dissipates more power. Resistive Vs Reactive Load.
From www.tescaglobal.com
Single and Three Phase Resistive Load Resistive Vs Reactive Load The impedance z of a reactive load comprising resistance r and series reactance x is: As with any reactive circuit, the power. They are simple by design. Resistive load boxes are made of up resistors that take in the power being output by the amp and release it as heat. A combined resistive/reactive circuit dissipates more power than it returns. Resistive Vs Reactive Load.
From www.airport-suppliers.com
SPECIAL REACTIVE DEKAL DIGITAL LOAD BANK 400Hz AC Airport Suppliers Resistive Vs Reactive Load A combined resistive/reactive circuit dissipates more power than it returns to the source. While resistive load banks dissipate only the. The reactance dissipates no power; The impedance z of a reactive load comprising resistance r and series reactance x is: As with any reactive circuit, the power. The key distinction lies in how each manages load changes. Resistive vs reactive. Resistive Vs Reactive Load.
From studylib.net
Resistive vs Reactive Resistive Vs Reactive Load While resistive load banks dissipate only the. The reactance dissipates no power; A combined resistive/reactive circuit dissipates more power than it returns to the source. They are simple by design. Z = r + jx = |z|ðf. The impedance z of a reactive load comprising resistance r and series reactance x is: Resistive loads are simple, which tends to reduce. Resistive Vs Reactive Load.
From www.chegg.com
Solved Consider the following circuit consisting of a Resistive Vs Reactive Load Z = r + jx = |z|ðf. The reactance dissipates no power; A combined resistive/reactive circuit dissipates more power than it returns to the source. Resistive loads are simple, which tends to reduce their price. The impedance z of a reactive load comprising resistance r and series reactance x is: Resistive load boxes are made of up resistors that take. Resistive Vs Reactive Load.
From kxload.en.made-in-china.com
AC Load Bank 1500kVA Resistive and Reactive Load Banks for Generator Resistive Vs Reactive Load While resistive load banks dissipate only the. As with any reactive circuit, the power. Resistive load boxes are made of up resistors that take in the power being output by the amp and release it as heat. A combined resistive/reactive circuit dissipates more power than it returns to the source. The reactance dissipates no power; They are simple by design.. Resistive Vs Reactive Load.
From www.youtube.com
Types of Electrical Load in Hindi Resistive Load Inductive Load Resistive Vs Reactive Load The reactance dissipates no power; The impedance z of a reactive load comprising resistance r and series reactance x is: As with any reactive circuit, the power. A combined resistive/reactive circuit dissipates more power than it returns to the source. Resistive loads are simple, which tends to reduce their price. Z = r + jx = |z|ðf. Resistive vs reactive. Resistive Vs Reactive Load.
From www.youtube.com
Explanation of a Resistive Load YouTube Resistive Vs Reactive Load Z = r + jx = |z|ðf. The impedance z of a reactive load comprising resistance r and series reactance x is: A combined resistive/reactive circuit dissipates more power than it returns to the source. They are simple by design. Resistive loads are simple, which tends to reduce their price. While resistive load banks dissipate only the. The key distinction. Resistive Vs Reactive Load.
From www.vcmsolutions.ca
Understanding Resistive vs Reactive Load Banks A Complete Guide VCM Resistive Vs Reactive Load The impedance z of a reactive load comprising resistance r and series reactance x is: The reactance dissipates no power; Resistive load boxes are made of up resistors that take in the power being output by the amp and release it as heat. As with any reactive circuit, the power. Resistive loads are simple, which tends to reduce their price.. Resistive Vs Reactive Load.
From www.vcmsolutions.ca
Understanding Resistive vs Reactive Load Banks A Complete Guide VCM Resistive Vs Reactive Load The impedance z of a reactive load comprising resistance r and series reactance x is: A combined resistive/reactive circuit dissipates more power than it returns to the source. The reactance dissipates no power; They are simple by design. As with any reactive circuit, the power. The key distinction lies in how each manages load changes. Resistive load boxes are made. Resistive Vs Reactive Load.
From www.trystar.com
Resistive Reactive Load Banks Trystar Resistive Vs Reactive Load The key distinction lies in how each manages load changes. Resistive vs reactive load bank: Z = r + jx = |z|ðf. The reactance dissipates no power; As with any reactive circuit, the power. A combined resistive/reactive circuit dissipates more power than it returns to the source. Resistive loads are simple, which tends to reduce their price. The impedance z. Resistive Vs Reactive Load.
From www.youtube.com
Amp Loadboxes Reactive VS. Resistive Explained YouTube Resistive Vs Reactive Load The impedance z of a reactive load comprising resistance r and series reactance x is: As with any reactive circuit, the power. The key distinction lies in how each manages load changes. The reactance dissipates no power; They are simple by design. Resistive load boxes are made of up resistors that take in the power being output by the amp. Resistive Vs Reactive Load.
From kxload.en.made-in-china.com
Resistive and Reactive Load Bank 3000kVA Load Banks for Generator Power Resistive Vs Reactive Load Z = r + jx = |z|ðf. The reactance dissipates no power; Resistive vs reactive load bank: Resistive loads are simple, which tends to reduce their price. They are simple by design. While resistive load banks dissipate only the. The impedance z of a reactive load comprising resistance r and series reactance x is: The key distinction lies in how. Resistive Vs Reactive Load.
From reverb.com
RedSeven Amp Central Reactive/Resistive Load Box Reverb Resistive Vs Reactive Load Resistive vs reactive load bank: The reactance dissipates no power; They are simple by design. The key distinction lies in how each manages load changes. Z = r + jx = |z|ðf. Resistive loads are simple, which tends to reduce their price. As with any reactive circuit, the power. While resistive load banks dissipate only the. The impedance z of. Resistive Vs Reactive Load.
From www.slideserve.com
PPT Power System Fundamentals PowerPoint Presentation, free download Resistive Vs Reactive Load As with any reactive circuit, the power. The impedance z of a reactive load comprising resistance r and series reactance x is: They are simple by design. Resistive loads are simple, which tends to reduce their price. A combined resistive/reactive circuit dissipates more power than it returns to the source. The key distinction lies in how each manages load changes.. Resistive Vs Reactive Load.
From www.cnloadbank.com
China Customized 125kVA/415V Resistive Reactive Load Bank Suppliers Resistive Vs Reactive Load Resistive vs reactive load bank: Z = r + jx = |z|ðf. A combined resistive/reactive circuit dissipates more power than it returns to the source. Resistive load boxes are made of up resistors that take in the power being output by the amp and release it as heat. Resistive loads are simple, which tends to reduce their price. As with. Resistive Vs Reactive Load.
From kxload.en.made-in-china.com
Load Bank Manufacturer 2500kVA Resistive and Reactive Load Bank for Resistive Vs Reactive Load The impedance z of a reactive load comprising resistance r and series reactance x is: While resistive load banks dissipate only the. As with any reactive circuit, the power. Resistive loads are simple, which tends to reduce their price. Resistive load boxes are made of up resistors that take in the power being output by the amp and release it. Resistive Vs Reactive Load.
From www.slideshare.net
Resistive vs Reactive Reasons to Choose Reactive Load Bank Testing Resistive Vs Reactive Load Resistive vs reactive load bank: Z = r + jx = |z|ðf. While resistive load banks dissipate only the. Resistive loads are simple, which tends to reduce their price. A combined resistive/reactive circuit dissipates more power than it returns to the source. The impedance z of a reactive load comprising resistance r and series reactance x is: The reactance dissipates. Resistive Vs Reactive Load.
From dokumen.tips
(PPTX) Resistive vs Reactive Reasons to Choose Reactive Load Bank Resistive Vs Reactive Load The reactance dissipates no power; The key distinction lies in how each manages load changes. Z = r + jx = |z|ðf. The impedance z of a reactive load comprising resistance r and series reactance x is: Resistive load boxes are made of up resistors that take in the power being output by the amp and release it as heat.. Resistive Vs Reactive Load.