How To Prove Root P Is Irrational . 668 views 9 months ago prime numbers. A proof that the square root of two is irrational. This videos shows how to. the number $\sqrt {3}$ is irrational ,it cannot be expressed as a ratio of integers a and b. We will assume the negation (or opposite) of the original. 2 prove that if $n$ is a positive. if p and q are the positive prime number, then prove that √ p + √ q is an irrational number. to prove this theorem, we will use the method of proof by contradiction. To prove that this statement is true, let us. If $a,b \in \mathbb n$, then $a^{1/b}$ is an integer or an irrational number?
from brainly.in
the number $\sqrt {3}$ is irrational ,it cannot be expressed as a ratio of integers a and b. 668 views 9 months ago prime numbers. 2 prove that if $n$ is a positive. This videos shows how to. to prove this theorem, we will use the method of proof by contradiction. if p and q are the positive prime number, then prove that √ p + √ q is an irrational number. If $a,b \in \mathbb n$, then $a^{1/b}$ is an integer or an irrational number? We will assume the negation (or opposite) of the original. To prove that this statement is true, let us. A proof that the square root of two is irrational.
Prove that root p +root q is an irrational where p,q are primes
How To Prove Root P Is Irrational This videos shows how to. 2 prove that if $n$ is a positive. We will assume the negation (or opposite) of the original. This videos shows how to. If $a,b \in \mathbb n$, then $a^{1/b}$ is an integer or an irrational number? to prove this theorem, we will use the method of proof by contradiction. 668 views 9 months ago prime numbers. A proof that the square root of two is irrational. the number $\sqrt {3}$ is irrational ,it cannot be expressed as a ratio of integers a and b. To prove that this statement is true, let us. if p and q are the positive prime number, then prove that √ p + √ q is an irrational number.
From edu2know.com
Prove the Square Root of 5 is Irrational" Unlocking the Mysteries of How To Prove Root P Is Irrational 2 prove that if $n$ is a positive. To prove that this statement is true, let us. A proof that the square root of two is irrational. 668 views 9 months ago prime numbers. to prove this theorem, we will use the method of proof by contradiction. If $a,b \in \mathbb n$, then $a^{1/b}$ is an integer or an. How To Prove Root P Is Irrational.
From byjus.com
23. Explain how to prove root 3 as irrational. How To Prove Root P Is Irrational If $a,b \in \mathbb n$, then $a^{1/b}$ is an integer or an irrational number? This videos shows how to. 2 prove that if $n$ is a positive. We will assume the negation (or opposite) of the original. 668 views 9 months ago prime numbers. to prove this theorem, we will use the method of proof by contradiction. the. How To Prove Root P Is Irrational.
From byjus.com
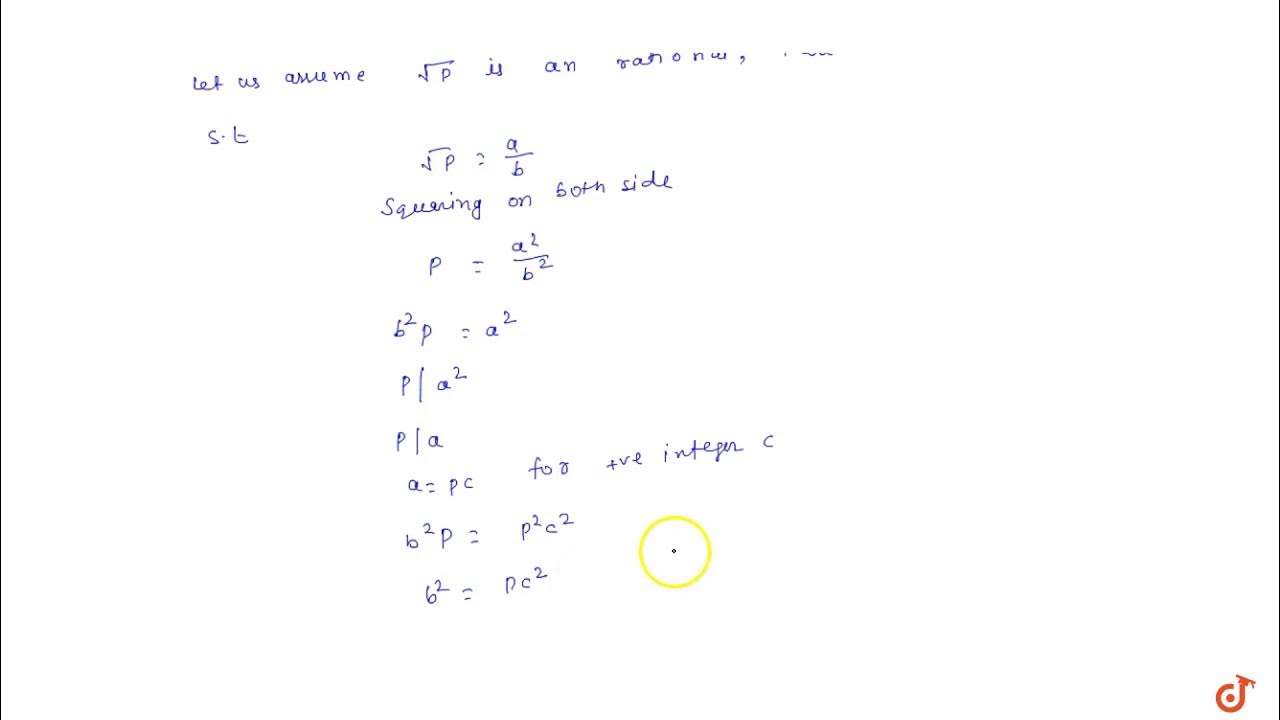
If p is a prime number then prove that squareroot of p is irrational How To Prove Root P Is Irrational if p and q are the positive prime number, then prove that √ p + √ q is an irrational number. 668 views 9 months ago prime numbers. 2 prove that if $n$ is a positive. A proof that the square root of two is irrational. We will assume the negation (or opposite) of the original. This videos shows. How To Prove Root P Is Irrational.
From www.youtube.com
How to Prove that Square Root of p is Irrational for any Prime p by How To Prove Root P Is Irrational 668 views 9 months ago prime numbers. 2 prove that if $n$ is a positive. to prove this theorem, we will use the method of proof by contradiction. To prove that this statement is true, let us. If $a,b \in \mathbb n$, then $a^{1/b}$ is an integer or an irrational number? if p and q are the positive. How To Prove Root P Is Irrational.
From brainly.in
prove that root p is an irrational number if p²=13 Brainly.in How To Prove Root P Is Irrational We will assume the negation (or opposite) of the original. if p and q are the positive prime number, then prove that √ p + √ q is an irrational number. A proof that the square root of two is irrational. To prove that this statement is true, let us. 2 prove that if $n$ is a positive. 668. How To Prove Root P Is Irrational.
From www.youtube.com
How to prove root 2 is irrational number YouTube How To Prove Root P Is Irrational This videos shows how to. A proof that the square root of two is irrational. if p and q are the positive prime number, then prove that √ p + √ q is an irrational number. If $a,b \in \mathbb n$, then $a^{1/b}$ is an integer or an irrational number? 2 prove that if $n$ is a positive. . How To Prove Root P Is Irrational.
From www.youtube.com
How to prove that root(2) is an irrational number? YouTube How To Prove Root P Is Irrational A proof that the square root of two is irrational. If $a,b \in \mathbb n$, then $a^{1/b}$ is an integer or an irrational number? To prove that this statement is true, let us. This videos shows how to. 2 prove that if $n$ is a positive. the number $\sqrt {3}$ is irrational ,it cannot be expressed as a ratio. How To Prove Root P Is Irrational.
From brainly.in
Prove that root p +root q is an irrational where p,q are primes How To Prove Root P Is Irrational to prove this theorem, we will use the method of proof by contradiction. This videos shows how to. 2 prove that if $n$ is a positive. To prove that this statement is true, let us. if p and q are the positive prime number, then prove that √ p + √ q is an irrational number. the. How To Prove Root P Is Irrational.
From www.youtube.com
Prove root 3 is irrational Prove that root 3 is irrational class 10 How To Prove Root P Is Irrational if p and q are the positive prime number, then prove that √ p + √ q is an irrational number. 668 views 9 months ago prime numbers. If $a,b \in \mathbb n$, then $a^{1/b}$ is an integer or an irrational number? To prove that this statement is true, let us. A proof that the square root of two. How To Prove Root P Is Irrational.
From www.youtube.com
Prove that for any prime positive integer p,√p is an irrational number How To Prove Root P Is Irrational 2 prove that if $n$ is a positive. If $a,b \in \mathbb n$, then $a^{1/b}$ is an integer or an irrational number? to prove this theorem, we will use the method of proof by contradiction. if p and q are the positive prime number, then prove that √ p + √ q is an irrational number. We will. How To Prove Root P Is Irrational.
From www.chilimath.com
Proof The Square Root of a Prime Number is Irrational. ChiliMath How To Prove Root P Is Irrational the number $\sqrt {3}$ is irrational ,it cannot be expressed as a ratio of integers a and b. 668 views 9 months ago prime numbers. We will assume the negation (or opposite) of the original. This videos shows how to. To prove that this statement is true, let us. to prove this theorem, we will use the method. How To Prove Root P Is Irrational.
From www.teachoo.com
Prove that root 2 is irrational Teachoo [with Video] Examples How To Prove Root P Is Irrational the number $\sqrt {3}$ is irrational ,it cannot be expressed as a ratio of integers a and b. 668 views 9 months ago prime numbers. 2 prove that if $n$ is a positive. This videos shows how to. to prove this theorem, we will use the method of proof by contradiction. If $a,b \in \mathbb n$, then $a^{1/b}$. How To Prove Root P Is Irrational.
From brainly.in
prove that under root P + under root q irrational number Brainly.in How To Prove Root P Is Irrational We will assume the negation (or opposite) of the original. This videos shows how to. if p and q are the positive prime number, then prove that √ p + √ q is an irrational number. 668 views 9 months ago prime numbers. the number $\sqrt {3}$ is irrational ,it cannot be expressed as a ratio of integers. How To Prove Root P Is Irrational.
From testbook.com
Steps to Prove that Root 2 is irrational by using two methods How To Prove Root P Is Irrational the number $\sqrt {3}$ is irrational ,it cannot be expressed as a ratio of integers a and b. 668 views 9 months ago prime numbers. To prove that this statement is true, let us. if p and q are the positive prime number, then prove that √ p + √ q is an irrational number. 2 prove that. How To Prove Root P Is Irrational.
From www.youtube.com
How to prove root 3 is irrational number? YouTube How To Prove Root P Is Irrational 668 views 9 months ago prime numbers. to prove this theorem, we will use the method of proof by contradiction. if p and q are the positive prime number, then prove that √ p + √ q is an irrational number. This videos shows how to. 2 prove that if $n$ is a positive. If $a,b \in \mathbb. How To Prove Root P Is Irrational.
From brainly.in
prove that root p + rootq is irrational, where p,q are primes Brainly.in How To Prove Root P Is Irrational A proof that the square root of two is irrational. If $a,b \in \mathbb n$, then $a^{1/b}$ is an integer or an irrational number? to prove this theorem, we will use the method of proof by contradiction. if p and q are the positive prime number, then prove that √ p + √ q is an irrational number.. How To Prove Root P Is Irrational.
From www.youtube.com
"Prove that for any prime positive integer `p ,sqrt(p)`is an irrational How To Prove Root P Is Irrational 668 views 9 months ago prime numbers. This videos shows how to. We will assume the negation (or opposite) of the original. if p and q are the positive prime number, then prove that √ p + √ q is an irrational number. A proof that the square root of two is irrational. to prove this theorem, we. How To Prove Root P Is Irrational.
From testbook.com
Steps to Prove that Root 5 is irrational by using two methods How To Prove Root P Is Irrational If $a,b \in \mathbb n$, then $a^{1/b}$ is an integer or an irrational number? to prove this theorem, we will use the method of proof by contradiction. To prove that this statement is true, let us. 2 prove that if $n$ is a positive. A proof that the square root of two is irrational. 668 views 9 months ago. How To Prove Root P Is Irrational.
From www.youtube.com
Prove that root p + root q is irrational number √p + √q is irrational How To Prove Root P Is Irrational A proof that the square root of two is irrational. 668 views 9 months ago prime numbers. If $a,b \in \mathbb n$, then $a^{1/b}$ is an integer or an irrational number? We will assume the negation (or opposite) of the original. to prove this theorem, we will use the method of proof by contradiction. if p and q. How To Prove Root P Is Irrational.
From www.teachoo.com
Prove that root 2 is irrational Teachoo [with Video] Examples How To Prove Root P Is Irrational 668 views 9 months ago prime numbers. If $a,b \in \mathbb n$, then $a^{1/b}$ is an integer or an irrational number? 2 prove that if $n$ is a positive. the number $\sqrt {3}$ is irrational ,it cannot be expressed as a ratio of integers a and b. To prove that this statement is true, let us. if p. How To Prove Root P Is Irrational.
From www.youtube.com
Prove that root p + root q is an irrational number cbse class 10 How To Prove Root P Is Irrational To prove that this statement is true, let us. 668 views 9 months ago prime numbers. If $a,b \in \mathbb n$, then $a^{1/b}$ is an integer or an irrational number? if p and q are the positive prime number, then prove that √ p + √ q is an irrational number. the number $\sqrt {3}$ is irrational ,it. How To Prove Root P Is Irrational.
From www.teachoo.com
Example 10 Show that 5 root 3 is irrational Chapter 1 How To Prove Root P Is Irrational if p and q are the positive prime number, then prove that √ p + √ q is an irrational number. the number $\sqrt {3}$ is irrational ,it cannot be expressed as a ratio of integers a and b. to prove this theorem, we will use the method of proof by contradiction. If $a,b \in \mathbb n$,. How To Prove Root P Is Irrational.
From www.youtube.com
Prove that `sqrtp+sqrtq` is an irrational, where `p and q` are primes How To Prove Root P Is Irrational If $a,b \in \mathbb n$, then $a^{1/b}$ is an integer or an irrational number? if p and q are the positive prime number, then prove that √ p + √ q is an irrational number. the number $\sqrt {3}$ is irrational ,it cannot be expressed as a ratio of integers a and b. 668 views 9 months ago. How To Prove Root P Is Irrational.
From www.teachoo.com
Prove that root 2 is irrational Teachoo [with Video] Examples How To Prove Root P Is Irrational 668 views 9 months ago prime numbers. the number $\sqrt {3}$ is irrational ,it cannot be expressed as a ratio of integers a and b. This videos shows how to. 2 prove that if $n$ is a positive. We will assume the negation (or opposite) of the original. If $a,b \in \mathbb n$, then $a^{1/b}$ is an integer or. How To Prove Root P Is Irrational.
From www.teachoo.com
Example 9 Prove that root 3 is irrational Chapter 1 Examples How To Prove Root P Is Irrational This videos shows how to. 2 prove that if $n$ is a positive. the number $\sqrt {3}$ is irrational ,it cannot be expressed as a ratio of integers a and b. To prove that this statement is true, let us. A proof that the square root of two is irrational. to prove this theorem, we will use the. How To Prove Root P Is Irrational.
From brainly.in
If p and q are prime positive number integers prove that root p + root How To Prove Root P Is Irrational A proof that the square root of two is irrational. 668 views 9 months ago prime numbers. To prove that this statement is true, let us. 2 prove that if $n$ is a positive. If $a,b \in \mathbb n$, then $a^{1/b}$ is an integer or an irrational number? if p and q are the positive prime number, then prove. How To Prove Root P Is Irrational.
From www.youtube.com
Prove that √2 (Root 2) is an Irrational Number (Rational and Irrational How To Prove Root P Is Irrational to prove this theorem, we will use the method of proof by contradiction. 2 prove that if $n$ is a positive. This videos shows how to. To prove that this statement is true, let us. If $a,b \in \mathbb n$, then $a^{1/b}$ is an integer or an irrational number? 668 views 9 months ago prime numbers. A proof that. How To Prove Root P Is Irrational.
From www.edu2know.com
Square Root of 2 is Irrational Unlocking the Mystery with a How To Prove Root P Is Irrational This videos shows how to. if p and q are the positive prime number, then prove that √ p + √ q is an irrational number. We will assume the negation (or opposite) of the original. 668 views 9 months ago prime numbers. If $a,b \in \mathbb n$, then $a^{1/b}$ is an integer or an irrational number? A proof. How To Prove Root P Is Irrational.
From www.youtube.com
Prove that root 5 is irrationalChapter1Exercise 1.3Class10thMaths How To Prove Root P Is Irrational the number $\sqrt {3}$ is irrational ,it cannot be expressed as a ratio of integers a and b. This videos shows how to. to prove this theorem, we will use the method of proof by contradiction. 668 views 9 months ago prime numbers. To prove that this statement is true, let us. If $a,b \in \mathbb n$, then. How To Prove Root P Is Irrational.
From www.youtube.com
Prove that root2+root3 is irrationalReal numbersClass10 YouTube How To Prove Root P Is Irrational if p and q are the positive prime number, then prove that √ p + √ q is an irrational number. A proof that the square root of two is irrational. To prove that this statement is true, let us. We will assume the negation (or opposite) of the original. the number $\sqrt {3}$ is irrational ,it cannot. How To Prove Root P Is Irrational.
From www.youtube.com
Prove that root 5 is irrational/ class 10 chapter1 math/Real number How To Prove Root P Is Irrational We will assume the negation (or opposite) of the original. To prove that this statement is true, let us. the number $\sqrt {3}$ is irrational ,it cannot be expressed as a ratio of integers a and b. This videos shows how to. 668 views 9 months ago prime numbers. A proof that the square root of two is irrational.. How To Prove Root P Is Irrational.
From www.youtube.com
Root 2 is an irrational Number YouTube How To Prove Root P Is Irrational the number $\sqrt {3}$ is irrational ,it cannot be expressed as a ratio of integers a and b. A proof that the square root of two is irrational. if p and q are the positive prime number, then prove that √ p + √ q is an irrational number. to prove this theorem, we will use the. How To Prove Root P Is Irrational.
From www.youtube.com
If p,q are prime positive integers, prove that √p+ √q is an irrational How To Prove Root P Is Irrational This videos shows how to. To prove that this statement is true, let us. A proof that the square root of two is irrational. If $a,b \in \mathbb n$, then $a^{1/b}$ is an integer or an irrational number? the number $\sqrt {3}$ is irrational ,it cannot be expressed as a ratio of integers a and b. to prove. How To Prove Root P Is Irrational.
From byjus.com
3 Prove that root5+root7 is irrational How To Prove Root P Is Irrational the number $\sqrt {3}$ is irrational ,it cannot be expressed as a ratio of integers a and b. if p and q are the positive prime number, then prove that √ p + √ q is an irrational number. 668 views 9 months ago prime numbers. A proof that the square root of two is irrational. 2 prove. How To Prove Root P Is Irrational.
From testbook.com
Steps to Prove that Root 7 is irrational by using two methods How To Prove Root P Is Irrational If $a,b \in \mathbb n$, then $a^{1/b}$ is an integer or an irrational number? We will assume the negation (or opposite) of the original. if p and q are the positive prime number, then prove that √ p + √ q is an irrational number. 2 prove that if $n$ is a positive. 668 views 9 months ago prime. How To Prove Root P Is Irrational.