How Much Water Does A Average Shower Use Per Minute . How long you shower and the flow rate of your showerhead affect your water use. How much water does a shower use? According to the environmental protection agency (epa), the average showerhead releases about 2.5 gallons of water per minute. This can vary a little depending on the power rating (kw), as well as the features. Assuming that the average u.s. The amount of water used per minute during a shower can vary widely depending on several. Shower has flow rate of 2.1 gallons per minute (7.9 liters per minute), and a shower lasts an average of 8.2 minutes, it uses 17.2 gallons (65 liters) of. By knowing how many gallons of water your shower uses, you can make informed decisions about your water usage and help to. The amount of water an electric shower uses is between 3 and 10 litres per minute.
from www.rvandplaya.com
According to the environmental protection agency (epa), the average showerhead releases about 2.5 gallons of water per minute. How much water does a shower use? This can vary a little depending on the power rating (kw), as well as the features. Shower has flow rate of 2.1 gallons per minute (7.9 liters per minute), and a shower lasts an average of 8.2 minutes, it uses 17.2 gallons (65 liters) of. The amount of water used per minute during a shower can vary widely depending on several. Assuming that the average u.s. By knowing how many gallons of water your shower uses, you can make informed decisions about your water usage and help to. How long you shower and the flow rate of your showerhead affect your water use. The amount of water an electric shower uses is between 3 and 10 litres per minute.
How Much Water Do You Use In A Shower? [RV Shower Cost]
How Much Water Does A Average Shower Use Per Minute Assuming that the average u.s. How much water does a shower use? According to the environmental protection agency (epa), the average showerhead releases about 2.5 gallons of water per minute. The amount of water an electric shower uses is between 3 and 10 litres per minute. Shower has flow rate of 2.1 gallons per minute (7.9 liters per minute), and a shower lasts an average of 8.2 minutes, it uses 17.2 gallons (65 liters) of. Assuming that the average u.s. The amount of water used per minute during a shower can vary widely depending on several. This can vary a little depending on the power rating (kw), as well as the features. By knowing how many gallons of water your shower uses, you can make informed decisions about your water usage and help to. How long you shower and the flow rate of your showerhead affect your water use.
From giotpobqa.blob.core.windows.net
How Much Water Does The Average Person Use When Taking A Shower at How Much Water Does A Average Shower Use Per Minute Shower has flow rate of 2.1 gallons per minute (7.9 liters per minute), and a shower lasts an average of 8.2 minutes, it uses 17.2 gallons (65 liters) of. How much water does a shower use? This can vary a little depending on the power rating (kw), as well as the features. How long you shower and the flow rate. How Much Water Does A Average Shower Use Per Minute.
From blog.constellation.com
How Much Water Does a Shower Use? Constellation How Much Water Does A Average Shower Use Per Minute Assuming that the average u.s. The amount of water an electric shower uses is between 3 and 10 litres per minute. By knowing how many gallons of water your shower uses, you can make informed decisions about your water usage and help to. Shower has flow rate of 2.1 gallons per minute (7.9 liters per minute), and a shower lasts. How Much Water Does A Average Shower Use Per Minute.
From www.learnz.org.nz
Water Use LEARNZ How Much Water Does A Average Shower Use Per Minute This can vary a little depending on the power rating (kw), as well as the features. The amount of water used per minute during a shower can vary widely depending on several. How much water does a shower use? According to the environmental protection agency (epa), the average showerhead releases about 2.5 gallons of water per minute. Shower has flow. How Much Water Does A Average Shower Use Per Minute.
From exyrnwttq.blob.core.windows.net
How Much Water Is Used In A 5 Minute Shower Gallons at Karen Woodall blog How Much Water Does A Average Shower Use Per Minute Shower has flow rate of 2.1 gallons per minute (7.9 liters per minute), and a shower lasts an average of 8.2 minutes, it uses 17.2 gallons (65 liters) of. By knowing how many gallons of water your shower uses, you can make informed decisions about your water usage and help to. According to the environmental protection agency (epa), the average. How Much Water Does A Average Shower Use Per Minute.
From giotpobqa.blob.core.windows.net
How Much Water Does The Average Person Use When Taking A Shower at How Much Water Does A Average Shower Use Per Minute Shower has flow rate of 2.1 gallons per minute (7.9 liters per minute), and a shower lasts an average of 8.2 minutes, it uses 17.2 gallons (65 liters) of. How much water does a shower use? The amount of water an electric shower uses is between 3 and 10 litres per minute. According to the environmental protection agency (epa), the. How Much Water Does A Average Shower Use Per Minute.
From poweroptimal.com
2021 update What does a shower cost in South Africa? PowerOptimal How Much Water Does A Average Shower Use Per Minute Shower has flow rate of 2.1 gallons per minute (7.9 liters per minute), and a shower lasts an average of 8.2 minutes, it uses 17.2 gallons (65 liters) of. The amount of water an electric shower uses is between 3 and 10 litres per minute. Assuming that the average u.s. According to the environmental protection agency (epa), the average showerhead. How Much Water Does A Average Shower Use Per Minute.
From www.rvandplaya.com
How Much Water Do You Use In A Shower? [RV Shower Cost] How Much Water Does A Average Shower Use Per Minute This can vary a little depending on the power rating (kw), as well as the features. How long you shower and the flow rate of your showerhead affect your water use. The amount of water used per minute during a shower can vary widely depending on several. The amount of water an electric shower uses is between 3 and 10. How Much Water Does A Average Shower Use Per Minute.
From mymagescentral.blogspot.com
Average Water Usage Per Person Per Day Litres MymagesCentral How Much Water Does A Average Shower Use Per Minute By knowing how many gallons of water your shower uses, you can make informed decisions about your water usage and help to. Assuming that the average u.s. How much water does a shower use? This can vary a little depending on the power rating (kw), as well as the features. The amount of water an electric shower uses is between. How Much Water Does A Average Shower Use Per Minute.
From giotpobqa.blob.core.windows.net
How Much Water Does The Average Person Use When Taking A Shower at How Much Water Does A Average Shower Use Per Minute How long you shower and the flow rate of your showerhead affect your water use. The amount of water an electric shower uses is between 3 and 10 litres per minute. How much water does a shower use? Assuming that the average u.s. By knowing how many gallons of water your shower uses, you can make informed decisions about your. How Much Water Does A Average Shower Use Per Minute.
From blog.constellation.com
How Much Water Does a Shower Use? Constellation How Much Water Does A Average Shower Use Per Minute How much water does a shower use? Shower has flow rate of 2.1 gallons per minute (7.9 liters per minute), and a shower lasts an average of 8.2 minutes, it uses 17.2 gallons (65 liters) of. The amount of water an electric shower uses is between 3 and 10 litres per minute. By knowing how many gallons of water your. How Much Water Does A Average Shower Use Per Minute.
From fyobhefgt.blob.core.windows.net
How Much Water On Average Does A Shower Use at Gregory Greenlaw blog How Much Water Does A Average Shower Use Per Minute How much water does a shower use? How long you shower and the flow rate of your showerhead affect your water use. The amount of water used per minute during a shower can vary widely depending on several. Shower has flow rate of 2.1 gallons per minute (7.9 liters per minute), and a shower lasts an average of 8.2 minutes,. How Much Water Does A Average Shower Use Per Minute.
From www.homeadvisor.com
How Much Does a Tankless Water Heater Installation Cost? How Much Water Does A Average Shower Use Per Minute The amount of water an electric shower uses is between 3 and 10 litres per minute. Shower has flow rate of 2.1 gallons per minute (7.9 liters per minute), and a shower lasts an average of 8.2 minutes, it uses 17.2 gallons (65 liters) of. The amount of water used per minute during a shower can vary widely depending on. How Much Water Does A Average Shower Use Per Minute.
From poweroptimal.com
What does a shower cost in South Africa? PowerOptimal the Future of How Much Water Does A Average Shower Use Per Minute How long you shower and the flow rate of your showerhead affect your water use. This can vary a little depending on the power rating (kw), as well as the features. The amount of water used per minute during a shower can vary widely depending on several. The amount of water an electric shower uses is between 3 and 10. How Much Water Does A Average Shower Use Per Minute.
From www.water.org.uk
Vast majority of Brits have no idea how much water they use each day How Much Water Does A Average Shower Use Per Minute How long you shower and the flow rate of your showerhead affect your water use. By knowing how many gallons of water your shower uses, you can make informed decisions about your water usage and help to. The amount of water an electric shower uses is between 3 and 10 litres per minute. How much water does a shower use?. How Much Water Does A Average Shower Use Per Minute.
From optimalhomeinspections.com
Lowflow shower heads keep us green How Much Water Does A Average Shower Use Per Minute By knowing how many gallons of water your shower uses, you can make informed decisions about your water usage and help to. Shower has flow rate of 2.1 gallons per minute (7.9 liters per minute), and a shower lasts an average of 8.2 minutes, it uses 17.2 gallons (65 liters) of. This can vary a little depending on the power. How Much Water Does A Average Shower Use Per Minute.
From exyrnwttq.blob.core.windows.net
How Much Water Is Used In A 5 Minute Shower Gallons at Karen Woodall blog How Much Water Does A Average Shower Use Per Minute The amount of water used per minute during a shower can vary widely depending on several. Shower has flow rate of 2.1 gallons per minute (7.9 liters per minute), and a shower lasts an average of 8.2 minutes, it uses 17.2 gallons (65 liters) of. By knowing how many gallons of water your shower uses, you can make informed decisions. How Much Water Does A Average Shower Use Per Minute.
From poweroptimal.com
What does a shower cost in South Africa? PowerOptimal the Future of How Much Water Does A Average Shower Use Per Minute How much water does a shower use? By knowing how many gallons of water your shower uses, you can make informed decisions about your water usage and help to. Shower has flow rate of 2.1 gallons per minute (7.9 liters per minute), and a shower lasts an average of 8.2 minutes, it uses 17.2 gallons (65 liters) of. How long. How Much Water Does A Average Shower Use Per Minute.
From blog.bathselect.com
The Perfect Shower Head Water Flow BathSelect Blog How Much Water Does A Average Shower Use Per Minute By knowing how many gallons of water your shower uses, you can make informed decisions about your water usage and help to. How long you shower and the flow rate of your showerhead affect your water use. The amount of water used per minute during a shower can vary widely depending on several. Assuming that the average u.s. Shower has. How Much Water Does A Average Shower Use Per Minute.
From giotpobqa.blob.core.windows.net
How Much Water Does The Average Person Use When Taking A Shower at How Much Water Does A Average Shower Use Per Minute How long you shower and the flow rate of your showerhead affect your water use. How much water does a shower use? This can vary a little depending on the power rating (kw), as well as the features. The amount of water an electric shower uses is between 3 and 10 litres per minute. Assuming that the average u.s. According. How Much Water Does A Average Shower Use Per Minute.
From www.numerade.com
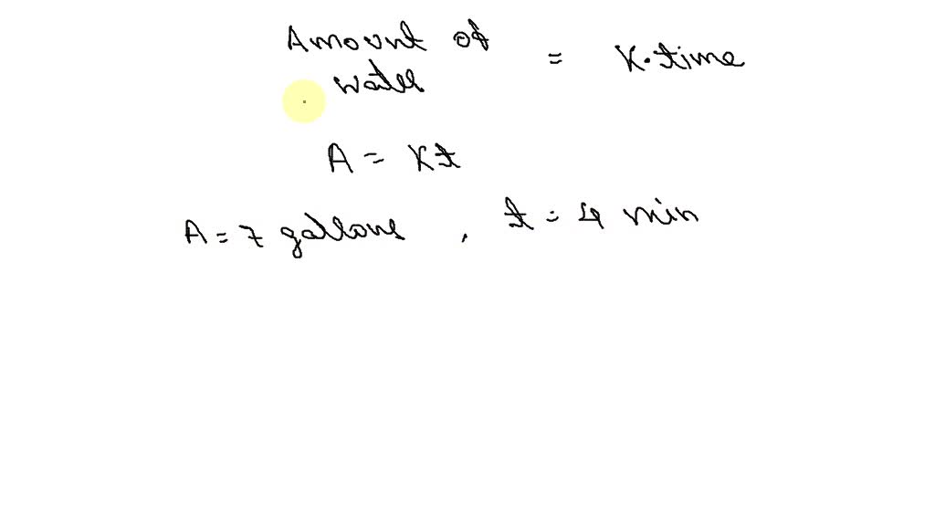
SOLVEDA typical showerhead uses 5 gal of water per minute. A water How Much Water Does A Average Shower Use Per Minute Assuming that the average u.s. This can vary a little depending on the power rating (kw), as well as the features. Shower has flow rate of 2.1 gallons per minute (7.9 liters per minute), and a shower lasts an average of 8.2 minutes, it uses 17.2 gallons (65 liters) of. The amount of water an electric shower uses is between. How Much Water Does A Average Shower Use Per Minute.
From betterthanseptic.blogspot.com
KlearTalk by Better Than Septic HOW MUCH WATER DO I USE WHEN I... How Much Water Does A Average Shower Use Per Minute This can vary a little depending on the power rating (kw), as well as the features. The amount of water used per minute during a shower can vary widely depending on several. Assuming that the average u.s. The amount of water an electric shower uses is between 3 and 10 litres per minute. How much water does a shower use?. How Much Water Does A Average Shower Use Per Minute.
From regarselk.blogspot.com
How Much Water Does A 20 Minute Shower Use How Much Water Does A Average Shower Use Per Minute How long you shower and the flow rate of your showerhead affect your water use. The amount of water an electric shower uses is between 3 and 10 litres per minute. Assuming that the average u.s. By knowing how many gallons of water your shower uses, you can make informed decisions about your water usage and help to. This can. How Much Water Does A Average Shower Use Per Minute.
From giotpobqa.blob.core.windows.net
How Much Water Does The Average Person Use When Taking A Shower at How Much Water Does A Average Shower Use Per Minute How long you shower and the flow rate of your showerhead affect your water use. The amount of water used per minute during a shower can vary widely depending on several. This can vary a little depending on the power rating (kw), as well as the features. Shower has flow rate of 2.1 gallons per minute (7.9 liters per minute),. How Much Water Does A Average Shower Use Per Minute.
From believe.earth
How to save water Believe Earth How Much Water Does A Average Shower Use Per Minute How much water does a shower use? How long you shower and the flow rate of your showerhead affect your water use. By knowing how many gallons of water your shower uses, you can make informed decisions about your water usage and help to. The amount of water used per minute during a shower can vary widely depending on several.. How Much Water Does A Average Shower Use Per Minute.
From www.chandleraz.gov
Average Daily Water Use City of Chandler How Much Water Does A Average Shower Use Per Minute How much water does a shower use? According to the environmental protection agency (epa), the average showerhead releases about 2.5 gallons of water per minute. This can vary a little depending on the power rating (kw), as well as the features. Shower has flow rate of 2.1 gallons per minute (7.9 liters per minute), and a shower lasts an average. How Much Water Does A Average Shower Use Per Minute.
From perfectbathroom.co.uk
How Much Water Does a Shower Use? Perfect Bathroom How Much Water Does A Average Shower Use Per Minute The amount of water an electric shower uses is between 3 and 10 litres per minute. How much water does a shower use? Shower has flow rate of 2.1 gallons per minute (7.9 liters per minute), and a shower lasts an average of 8.2 minutes, it uses 17.2 gallons (65 liters) of. According to the environmental protection agency (epa), the. How Much Water Does A Average Shower Use Per Minute.
From bathtubquery.com
How Much Water Does A 10 Minute Shower Use? Understanding Your Shower's How Much Water Does A Average Shower Use Per Minute By knowing how many gallons of water your shower uses, you can make informed decisions about your water usage and help to. Assuming that the average u.s. The amount of water an electric shower uses is between 3 and 10 litres per minute. How much water does a shower use? According to the environmental protection agency (epa), the average showerhead. How Much Water Does A Average Shower Use Per Minute.
From www.chegg.com
Solved (20 points) An average shower uses about 2.5 gallons How Much Water Does A Average Shower Use Per Minute How much water does a shower use? According to the environmental protection agency (epa), the average showerhead releases about 2.5 gallons of water per minute. How long you shower and the flow rate of your showerhead affect your water use. Shower has flow rate of 2.1 gallons per minute (7.9 liters per minute), and a shower lasts an average of. How Much Water Does A Average Shower Use Per Minute.
From exyrnwttq.blob.core.windows.net
How Much Water Is Used In A 5 Minute Shower Gallons at Karen Woodall blog How Much Water Does A Average Shower Use Per Minute Shower has flow rate of 2.1 gallons per minute (7.9 liters per minute), and a shower lasts an average of 8.2 minutes, it uses 17.2 gallons (65 liters) of. According to the environmental protection agency (epa), the average showerhead releases about 2.5 gallons of water per minute. By knowing how many gallons of water your shower uses, you can make. How Much Water Does A Average Shower Use Per Minute.
From gioaewmud.blob.core.windows.net
Does Taking A Shower Or Bath Use More Water at Kevin Nelms blog How Much Water Does A Average Shower Use Per Minute The amount of water an electric shower uses is between 3 and 10 litres per minute. This can vary a little depending on the power rating (kw), as well as the features. How long you shower and the flow rate of your showerhead affect your water use. How much water does a shower use? According to the environmental protection agency. How Much Water Does A Average Shower Use Per Minute.
From fyobhefgt.blob.core.windows.net
How Much Water On Average Does A Shower Use at Gregory Greenlaw blog How Much Water Does A Average Shower Use Per Minute How much water does a shower use? The amount of water an electric shower uses is between 3 and 10 litres per minute. According to the environmental protection agency (epa), the average showerhead releases about 2.5 gallons of water per minute. This can vary a little depending on the power rating (kw), as well as the features. How long you. How Much Water Does A Average Shower Use Per Minute.
From giofgxkwb.blob.core.windows.net
How Many Gallons Of Water Does A Rv Shower Use at Jonathan Wyse blog How Much Water Does A Average Shower Use Per Minute Shower has flow rate of 2.1 gallons per minute (7.9 liters per minute), and a shower lasts an average of 8.2 minutes, it uses 17.2 gallons (65 liters) of. The amount of water used per minute during a shower can vary widely depending on several. The amount of water an electric shower uses is between 3 and 10 litres per. How Much Water Does A Average Shower Use Per Minute.
From exyrnwttq.blob.core.windows.net
How Much Water Is Used In A 5 Minute Shower Gallons at Karen Woodall blog How Much Water Does A Average Shower Use Per Minute Assuming that the average u.s. The amount of water an electric shower uses is between 3 and 10 litres per minute. This can vary a little depending on the power rating (kw), as well as the features. How much water does a shower use? How long you shower and the flow rate of your showerhead affect your water use. The. How Much Water Does A Average Shower Use Per Minute.
From exyrnwttq.blob.core.windows.net
How Much Water Is Used In A 5 Minute Shower Gallons at Karen Woodall blog How Much Water Does A Average Shower Use Per Minute The amount of water an electric shower uses is between 3 and 10 litres per minute. By knowing how many gallons of water your shower uses, you can make informed decisions about your water usage and help to. The amount of water used per minute during a shower can vary widely depending on several. Shower has flow rate of 2.1. How Much Water Does A Average Shower Use Per Minute.
From greencoast.org
How Much Water Does a Dishwasher Use? Green Coast How Much Water Does A Average Shower Use Per Minute The amount of water used per minute during a shower can vary widely depending on several. By knowing how many gallons of water your shower uses, you can make informed decisions about your water usage and help to. How much water does a shower use? Shower has flow rate of 2.1 gallons per minute (7.9 liters per minute), and a. How Much Water Does A Average Shower Use Per Minute.