Electrical Control For Machines 7Th Edition . Published as by kenneth b. By diane lobsiger (author) 4.6 26 ratings. Reflecting the latest trends and practices from industry,. Reflecting the latest trends and. find 9780357671160 electrical control for machines 7th edition by diane lobsiger at over 30 bookstores. See all formats and editions. hardcopy textbook for lobsiger's electrical control for machines. electrical control for machines.
from www.scribd.com
Reflecting the latest trends and. See all formats and editions. electrical control for machines. Published as by kenneth b. Reflecting the latest trends and practices from industry,. find 9780357671160 electrical control for machines 7th edition by diane lobsiger at over 30 bookstores. By diane lobsiger (author) 4.6 26 ratings. hardcopy textbook for lobsiger's electrical control for machines.
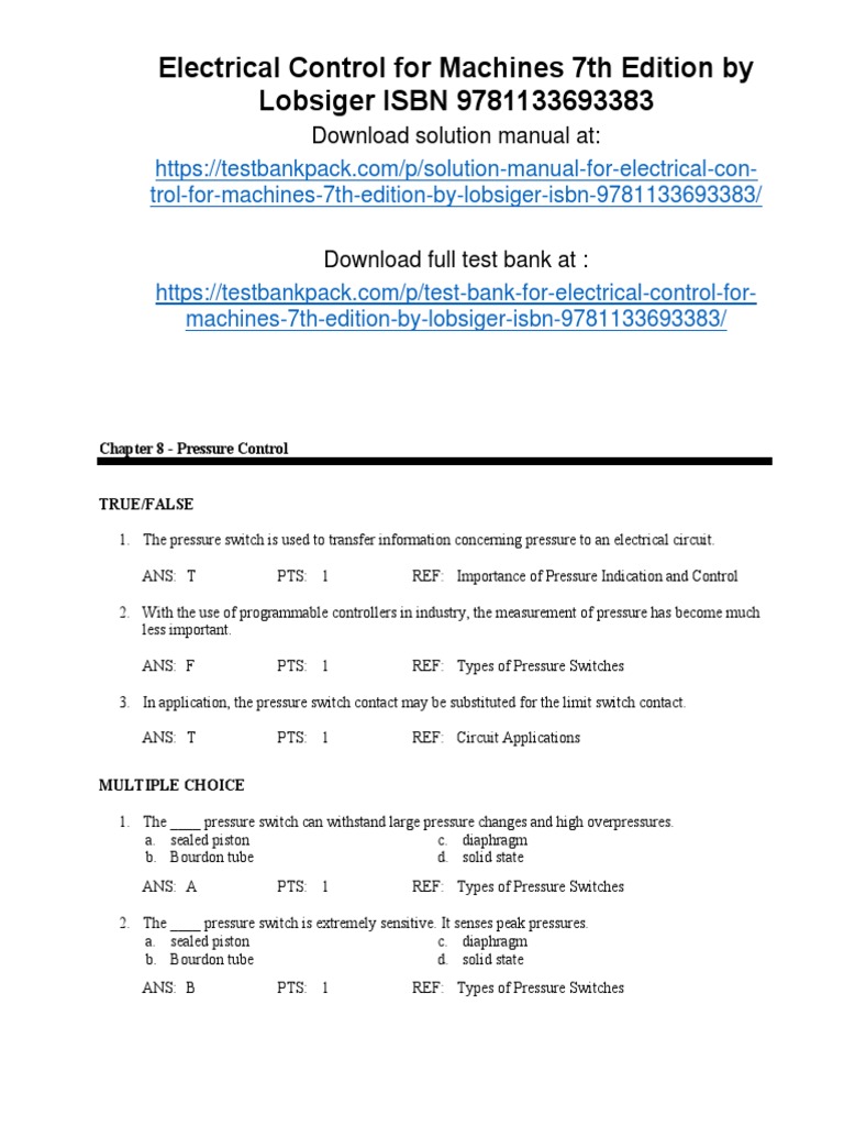
Electrical Control For Machines 7th Edition Lobsiger Test Bank 1 PDF
Electrical Control For Machines 7Th Edition Reflecting the latest trends and practices from industry,. By diane lobsiger (author) 4.6 26 ratings. Reflecting the latest trends and. Published as by kenneth b. electrical control for machines. find 9780357671160 electrical control for machines 7th edition by diane lobsiger at over 30 bookstores. See all formats and editions. hardcopy textbook for lobsiger's electrical control for machines. Reflecting the latest trends and practices from industry,.
From www.athomeprep.com
Delmar's Standard Textbook of Electricity 7th Edition HomePrep Trades Electrical Control For Machines 7Th Edition Published as by kenneth b. Reflecting the latest trends and practices from industry,. find 9780357671160 electrical control for machines 7th edition by diane lobsiger at over 30 bookstores. By diane lobsiger (author) 4.6 26 ratings. See all formats and editions. Reflecting the latest trends and. electrical control for machines. hardcopy textbook for lobsiger's electrical control for machines. Electrical Control For Machines 7Th Edition.
From www.amazon.com
Electrical Control for Machines Labratory Manual K.B. Rexford Electrical Control For Machines 7Th Edition See all formats and editions. electrical control for machines. By diane lobsiger (author) 4.6 26 ratings. hardcopy textbook for lobsiger's electrical control for machines. Published as by kenneth b. find 9780357671160 electrical control for machines 7th edition by diane lobsiger at over 30 bookstores. Reflecting the latest trends and. Reflecting the latest trends and practices from industry,. Electrical Control For Machines 7Th Edition.
From sanet.st
The Electrical Engineering Handbook Systems, Controls, Embedded Electrical Control For Machines 7Th Edition electrical control for machines. Reflecting the latest trends and. By diane lobsiger (author) 4.6 26 ratings. See all formats and editions. Reflecting the latest trends and practices from industry,. Published as by kenneth b. find 9780357671160 electrical control for machines 7th edition by diane lobsiger at over 30 bookstores. hardcopy textbook for lobsiger's electrical control for machines. Electrical Control For Machines 7Th Edition.
From www.amazon.com
Electrical Control of Fluid Power Electric and Electronic Control of Electrical Control For Machines 7Th Edition find 9780357671160 electrical control for machines 7th edition by diane lobsiger at over 30 bookstores. hardcopy textbook for lobsiger's electrical control for machines. By diane lobsiger (author) 4.6 26 ratings. Reflecting the latest trends and practices from industry,. See all formats and editions. Published as by kenneth b. Reflecting the latest trends and. electrical control for machines. Electrical Control For Machines 7Th Edition.
From www.youtube.com
Introduction to UL 508A Industrial Electrical Control Panels with PLC Electrical Control For Machines 7Th Edition Reflecting the latest trends and. find 9780357671160 electrical control for machines 7th edition by diane lobsiger at over 30 bookstores. electrical control for machines. By diane lobsiger (author) 4.6 26 ratings. hardcopy textbook for lobsiger's electrical control for machines. Reflecting the latest trends and practices from industry,. Published as by kenneth b. See all formats and editions. Electrical Control For Machines 7Th Edition.
From www.scribd.com
Bible Electrical Control For Machines PDF Electrical Control For Machines 7Th Edition Reflecting the latest trends and practices from industry,. See all formats and editions. By diane lobsiger (author) 4.6 26 ratings. electrical control for machines. find 9780357671160 electrical control for machines 7th edition by diane lobsiger at over 30 bookstores. Published as by kenneth b. Reflecting the latest trends and. hardcopy textbook for lobsiger's electrical control for machines. Electrical Control For Machines 7Th Edition.
From proficientautomation.com
Motion control, Electrical Control panel Proficient Automation & Controls Electrical Control For Machines 7Th Edition hardcopy textbook for lobsiger's electrical control for machines. By diane lobsiger (author) 4.6 26 ratings. See all formats and editions. Published as by kenneth b. Reflecting the latest trends and. Reflecting the latest trends and practices from industry,. find 9780357671160 electrical control for machines 7th edition by diane lobsiger at over 30 bookstores. electrical control for machines. Electrical Control For Machines 7Th Edition.
From www.amazon.com
Electrical control for machines (A Reflection book) Rexford, B Electrical Control For Machines 7Th Edition electrical control for machines. By diane lobsiger (author) 4.6 26 ratings. Reflecting the latest trends and. Published as by kenneth b. See all formats and editions. Reflecting the latest trends and practices from industry,. hardcopy textbook for lobsiger's electrical control for machines. find 9780357671160 electrical control for machines 7th edition by diane lobsiger at over 30 bookstores. Electrical Control For Machines 7Th Edition.
From www.realpars.com
Basics of an Electrical Control Panel (Practical Example) RealPars Electrical Control For Machines 7Th Edition By diane lobsiger (author) 4.6 26 ratings. find 9780357671160 electrical control for machines 7th edition by diane lobsiger at over 30 bookstores. hardcopy textbook for lobsiger's electrical control for machines. Published as by kenneth b. electrical control for machines. Reflecting the latest trends and. Reflecting the latest trends and practices from industry,. See all formats and editions. Electrical Control For Machines 7Th Edition.
From litres.com
Juha Pyrhonen, Design of Rotating Electrical Machines download as pdf Electrical Control For Machines 7Th Edition find 9780357671160 electrical control for machines 7th edition by diane lobsiger at over 30 bookstores. Reflecting the latest trends and practices from industry,. Published as by kenneth b. electrical control for machines. See all formats and editions. hardcopy textbook for lobsiger's electrical control for machines. Reflecting the latest trends and. By diane lobsiger (author) 4.6 26 ratings. Electrical Control For Machines 7Th Edition.
From issuu.com
What are the components of an Electrical Control Panel and Why do you Electrical Control For Machines 7Th Edition electrical control for machines. By diane lobsiger (author) 4.6 26 ratings. Reflecting the latest trends and. Published as by kenneth b. Reflecting the latest trends and practices from industry,. find 9780357671160 electrical control for machines 7th edition by diane lobsiger at over 30 bookstores. See all formats and editions. hardcopy textbook for lobsiger's electrical control for machines. Electrical Control For Machines 7Th Edition.
From www.amazon.com
Electrical Control for Machines Lab Manual B. Rexford Electrical Control For Machines 7Th Edition Reflecting the latest trends and practices from industry,. By diane lobsiger (author) 4.6 26 ratings. hardcopy textbook for lobsiger's electrical control for machines. Published as by kenneth b. find 9780357671160 electrical control for machines 7th edition by diane lobsiger at over 30 bookstores. electrical control for machines. See all formats and editions. Reflecting the latest trends and. Electrical Control For Machines 7Th Edition.
From www.scribd.com
Electrical Control For Machines 7th Edition Lobsiger Test Bank 1 PDF Electrical Control For Machines 7Th Edition electrical control for machines. hardcopy textbook for lobsiger's electrical control for machines. Reflecting the latest trends and. By diane lobsiger (author) 4.6 26 ratings. Published as by kenneth b. See all formats and editions. Reflecting the latest trends and practices from industry,. find 9780357671160 electrical control for machines 7th edition by diane lobsiger at over 30 bookstores. Electrical Control For Machines 7Th Edition.
From engineerrefe.com
Modeling And Control Of Electric Machines Engineering Reference Electrical Control For Machines 7Th Edition find 9780357671160 electrical control for machines 7th edition by diane lobsiger at over 30 bookstores. Reflecting the latest trends and practices from industry,. Reflecting the latest trends and. electrical control for machines. Published as by kenneth b. hardcopy textbook for lobsiger's electrical control for machines. See all formats and editions. By diane lobsiger (author) 4.6 26 ratings. Electrical Control For Machines 7Th Edition.
From www.scribd.com
Solution Manual For Electrical Control For Machines 7th Edition by Electrical Control For Machines 7Th Edition Reflecting the latest trends and practices from industry,. electrical control for machines. See all formats and editions. Published as by kenneth b. find 9780357671160 electrical control for machines 7th edition by diane lobsiger at over 30 bookstores. hardcopy textbook for lobsiger's electrical control for machines. By diane lobsiger (author) 4.6 26 ratings. Reflecting the latest trends and. Electrical Control For Machines 7Th Edition.
From www.precicon.com.sg
ALLINONE Electrical Control Panel Solution Electrical Control For Machines 7Th Edition electrical control for machines. Reflecting the latest trends and practices from industry,. Published as by kenneth b. See all formats and editions. find 9780357671160 electrical control for machines 7th edition by diane lobsiger at over 30 bookstores. By diane lobsiger (author) 4.6 26 ratings. hardcopy textbook for lobsiger's electrical control for machines. Reflecting the latest trends and. Electrical Control For Machines 7Th Edition.
From issuu.com
Electrical Control for Machines 2nd Edition B. Rexford by Electrical Control For Machines 7Th Edition See all formats and editions. Reflecting the latest trends and practices from industry,. electrical control for machines. Reflecting the latest trends and. Published as by kenneth b. hardcopy textbook for lobsiger's electrical control for machines. By diane lobsiger (author) 4.6 26 ratings. find 9780357671160 electrical control for machines 7th edition by diane lobsiger at over 30 bookstores. Electrical Control For Machines 7Th Edition.
From www.stuvia.com
SOLUTIONS MANUAL for Control Systems Engineering 7th Edition by Norman Electrical Control For Machines 7Th Edition electrical control for machines. See all formats and editions. find 9780357671160 electrical control for machines 7th edition by diane lobsiger at over 30 bookstores. Published as by kenneth b. Reflecting the latest trends and. Reflecting the latest trends and practices from industry,. hardcopy textbook for lobsiger's electrical control for machines. By diane lobsiger (author) 4.6 26 ratings. Electrical Control For Machines 7Th Edition.
From downloadusb.com
Solutions Manual for Mechatronics Electronic Control Systems in Electrical Control For Machines 7Th Edition find 9780357671160 electrical control for machines 7th edition by diane lobsiger at over 30 bookstores. hardcopy textbook for lobsiger's electrical control for machines. electrical control for machines. By diane lobsiger (author) 4.6 26 ratings. Reflecting the latest trends and practices from industry,. See all formats and editions. Published as by kenneth b. Reflecting the latest trends and. Electrical Control For Machines 7Th Edition.
From issuu.com
Electrical Control for Machines 2nd Edition B. Rexford by Electrical Control For Machines 7Th Edition By diane lobsiger (author) 4.6 26 ratings. Published as by kenneth b. electrical control for machines. Reflecting the latest trends and practices from industry,. See all formats and editions. Reflecting the latest trends and. hardcopy textbook for lobsiger's electrical control for machines. find 9780357671160 electrical control for machines 7th edition by diane lobsiger at over 30 bookstores. Electrical Control For Machines 7Th Edition.
From www.chegg.com
Solved ELECTRICAL CONTROL FOR MACHINES 7TH EDITION PETER Electrical Control For Machines 7Th Edition Published as by kenneth b. Reflecting the latest trends and practices from industry,. electrical control for machines. Reflecting the latest trends and. hardcopy textbook for lobsiger's electrical control for machines. find 9780357671160 electrical control for machines 7th edition by diane lobsiger at over 30 bookstores. See all formats and editions. By diane lobsiger (author) 4.6 26 ratings. Electrical Control For Machines 7Th Edition.
From issuu.com
Electrical Control for Machines 2nd Edition B. Rexford by Electrical Control For Machines 7Th Edition Published as by kenneth b. See all formats and editions. hardcopy textbook for lobsiger's electrical control for machines. By diane lobsiger (author) 4.6 26 ratings. Reflecting the latest trends and. Reflecting the latest trends and practices from industry,. electrical control for machines. find 9780357671160 electrical control for machines 7th edition by diane lobsiger at over 30 bookstores. Electrical Control For Machines 7Th Edition.
From www.upcitemdb.com
ISBN 9780826912268 Electrical Motor Controls for Integrated Systems Electrical Control For Machines 7Th Edition Reflecting the latest trends and. Reflecting the latest trends and practices from industry,. See all formats and editions. hardcopy textbook for lobsiger's electrical control for machines. Published as by kenneth b. electrical control for machines. By diane lobsiger (author) 4.6 26 ratings. find 9780357671160 electrical control for machines 7th edition by diane lobsiger at over 30 bookstores. Electrical Control For Machines 7Th Edition.
From issuu.com
Test bank for electrical control for machines 7th edition by lobsiger Electrical Control For Machines 7Th Edition See all formats and editions. By diane lobsiger (author) 4.6 26 ratings. Published as by kenneth b. find 9780357671160 electrical control for machines 7th edition by diane lobsiger at over 30 bookstores. hardcopy textbook for lobsiger's electrical control for machines. Reflecting the latest trends and. Reflecting the latest trends and practices from industry,. electrical control for machines. Electrical Control For Machines 7Th Edition.
From free-eeb.blogspot.com
Electrical & Electronic Books Handbook of Electrical Installation Electrical Control For Machines 7Th Edition By diane lobsiger (author) 4.6 26 ratings. electrical control for machines. See all formats and editions. Reflecting the latest trends and practices from industry,. Published as by kenneth b. find 9780357671160 electrical control for machines 7th edition by diane lobsiger at over 30 bookstores. Reflecting the latest trends and. hardcopy textbook for lobsiger's electrical control for machines. Electrical Control For Machines 7Th Edition.
From www.alehydraulic.com
Electrical Controls A.L.E. Hydraulic Machinery Company Electrical Control For Machines 7Th Edition hardcopy textbook for lobsiger's electrical control for machines. By diane lobsiger (author) 4.6 26 ratings. See all formats and editions. Published as by kenneth b. find 9780357671160 electrical control for machines 7th edition by diane lobsiger at over 30 bookstores. Reflecting the latest trends and. Reflecting the latest trends and practices from industry,. electrical control for machines. Electrical Control For Machines 7Th Edition.
From www.scribd.com
Electrical Control For Machines 7th Edition Lobsiger Solutions Manual Electrical Control For Machines 7Th Edition See all formats and editions. By diane lobsiger (author) 4.6 26 ratings. Reflecting the latest trends and practices from industry,. electrical control for machines. Reflecting the latest trends and. Published as by kenneth b. find 9780357671160 electrical control for machines 7th edition by diane lobsiger at over 30 bookstores. hardcopy textbook for lobsiger's electrical control for machines. Electrical Control For Machines 7Th Edition.
From www.youtube.com
Control Of Electrical Machines Lecture 5 YouTube Electrical Control For Machines 7Th Edition electrical control for machines. See all formats and editions. By diane lobsiger (author) 4.6 26 ratings. Reflecting the latest trends and. find 9780357671160 electrical control for machines 7th edition by diane lobsiger at over 30 bookstores. Reflecting the latest trends and practices from industry,. hardcopy textbook for lobsiger's electrical control for machines. Published as by kenneth b. Electrical Control For Machines 7Th Edition.
From menzelus.com
Electrical Controls Design Menzel Machinery USA Electrical Control For Machines 7Th Edition Published as by kenneth b. Reflecting the latest trends and practices from industry,. hardcopy textbook for lobsiger's electrical control for machines. See all formats and editions. By diane lobsiger (author) 4.6 26 ratings. find 9780357671160 electrical control for machines 7th edition by diane lobsiger at over 30 bookstores. electrical control for machines. Reflecting the latest trends and. Electrical Control For Machines 7Th Edition.
From www.amazon.com
Electrical Control for Machines Rexford, B. 9780827348684 Electrical Control For Machines 7Th Edition By diane lobsiger (author) 4.6 26 ratings. Reflecting the latest trends and practices from industry,. electrical control for machines. find 9780357671160 electrical control for machines 7th edition by diane lobsiger at over 30 bookstores. Published as by kenneth b. hardcopy textbook for lobsiger's electrical control for machines. See all formats and editions. Reflecting the latest trends and. Electrical Control For Machines 7Th Edition.
From www.flipkart.com
AUTOMATIC CONTROL SYSTEMS, 7/E 7th Edition Buy AUTOMATIC CONTROL Electrical Control For Machines 7Th Edition electrical control for machines. find 9780357671160 electrical control for machines 7th edition by diane lobsiger at over 30 bookstores. See all formats and editions. hardcopy textbook for lobsiger's electrical control for machines. By diane lobsiger (author) 4.6 26 ratings. Reflecting the latest trends and practices from industry,. Reflecting the latest trends and. Published as by kenneth b. Electrical Control For Machines 7Th Edition.
From www.puraquaproducts.com
ATC 1000 Electrical Control SystemPurAqua Products® Electrical Control For Machines 7Th Edition electrical control for machines. Reflecting the latest trends and practices from industry,. find 9780357671160 electrical control for machines 7th edition by diane lobsiger at over 30 bookstores. hardcopy textbook for lobsiger's electrical control for machines. See all formats and editions. Reflecting the latest trends and. By diane lobsiger (author) 4.6 26 ratings. Published as by kenneth b. Electrical Control For Machines 7Th Edition.
From www.bol.com
Electrical Control for Machines Electrical Control For Machines 7Th Edition Published as by kenneth b. find 9780357671160 electrical control for machines 7th edition by diane lobsiger at over 30 bookstores. By diane lobsiger (author) 4.6 26 ratings. electrical control for machines. See all formats and editions. hardcopy textbook for lobsiger's electrical control for machines. Reflecting the latest trends and. Reflecting the latest trends and practices from industry,. Electrical Control For Machines 7Th Edition.
From www.youtube.com
Control of Electrical Machines Lecture 3 SWITCHES _2 YouTube Electrical Control For Machines 7Th Edition hardcopy textbook for lobsiger's electrical control for machines. Reflecting the latest trends and practices from industry,. Published as by kenneth b. electrical control for machines. Reflecting the latest trends and. By diane lobsiger (author) 4.6 26 ratings. find 9780357671160 electrical control for machines 7th edition by diane lobsiger at over 30 bookstores. See all formats and editions. Electrical Control For Machines 7Th Edition.
From www.bol.com
Electrical Control for Machines 9780766861985 Leo Chartrand Electrical Control For Machines 7Th Edition Reflecting the latest trends and. By diane lobsiger (author) 4.6 26 ratings. See all formats and editions. Published as by kenneth b. electrical control for machines. Reflecting the latest trends and practices from industry,. hardcopy textbook for lobsiger's electrical control for machines. find 9780357671160 electrical control for machines 7th edition by diane lobsiger at over 30 bookstores. Electrical Control For Machines 7Th Edition.