Differential K Form . Note that this set is also a vector space. Suppose w 2wm(u) is a. In this section we study how we can. The support supp(w) u of a differential form is the smallest closed subset such that w vanishes onu\supp(w).
from www.youtube.com
In this section we study how we can. Suppose w 2wm(u) is a. Note that this set is also a vector space. The support supp(w) u of a differential form is the smallest closed subset such that w vanishes onu\supp(w).
Intro to differential forms (part 1) YouTube
Differential K Form The support supp(w) u of a differential form is the smallest closed subset such that w vanishes onu\supp(w). The support supp(w) u of a differential form is the smallest closed subset such that w vanishes onu\supp(w). Note that this set is also a vector space. In this section we study how we can. Suppose w 2wm(u) is a.
From dokumen.tips
(PDF) 6 Differential forms math.toronto.edu · Differential forms 6.1 Differential K Form Suppose w 2wm(u) is a. In this section we study how we can. The support supp(w) u of a differential form is the smallest closed subset such that w vanishes onu\supp(w). Note that this set is also a vector space. Differential K Form.
From www.youtube.com
System of Differential Equations with Complex Eigenvalues YouTube Differential K Form In this section we study how we can. The support supp(w) u of a differential form is the smallest closed subset such that w vanishes onu\supp(w). Suppose w 2wm(u) is a. Note that this set is also a vector space. Differential K Form.
From www.numerade.com
SOLVED Generalize part (b) of Theorem 2 to a wedge product Φ∧Ψ∧Θ of a Differential K Form Suppose w 2wm(u) is a. The support supp(w) u of a differential form is the smallest closed subset such that w vanishes onu\supp(w). Note that this set is also a vector space. In this section we study how we can. Differential K Form.
From brickisland.net
Supplemental VectorValued Differential Forms CS 15458/858 Differential K Form Suppose w 2wm(u) is a. Note that this set is also a vector space. The support supp(w) u of a differential form is the smallest closed subset such that w vanishes onu\supp(w). In this section we study how we can. Differential K Form.
From dokumen.tips
(PPT) Chapter 4 Differential Forms on R n. Contents 4.1 Differential 1 Differential K Form The support supp(w) u of a differential form is the smallest closed subset such that w vanishes onu\supp(w). In this section we study how we can. Suppose w 2wm(u) is a. Note that this set is also a vector space. Differential K Form.
From medium.com
Differential Equations Notes & Study Guide Jonathan Gan Medium Differential K Form Suppose w 2wm(u) is a. The support supp(w) u of a differential form is the smallest closed subset such that w vanishes onu\supp(w). Note that this set is also a vector space. In this section we study how we can. Differential K Form.
From www.researchgate.net
(PDF) a review of Differential Ktheory and localization formula for η Differential K Form Note that this set is also a vector space. The support supp(w) u of a differential form is the smallest closed subset such that w vanishes onu\supp(w). Suppose w 2wm(u) is a. In this section we study how we can. Differential K Form.
From www.coursehero.com
[Solved] . Show that the differential form in the integral is exact Differential K Form The support supp(w) u of a differential form is the smallest closed subset such that w vanishes onu\supp(w). In this section we study how we can. Note that this set is also a vector space. Suppose w 2wm(u) is a. Differential K Form.
From math.stackexchange.com
Definition of a modular form in terms of differential forms Differential K Form The support supp(w) u of a differential form is the smallest closed subset such that w vanishes onu\supp(w). Suppose w 2wm(u) is a. In this section we study how we can. Note that this set is also a vector space. Differential K Form.
From www.chegg.com
Solved 3. (a) For a ktensor T and an ltensor S on R™ Differential K Form The support supp(w) u of a differential form is the smallest closed subset such that w vanishes onu\supp(w). In this section we study how we can. Suppose w 2wm(u) is a. Note that this set is also a vector space. Differential K Form.
From www.youtube.com
Find value of k so that given differential equation is exact (y^3+kxy Differential K Form Suppose w 2wm(u) is a. Note that this set is also a vector space. The support supp(w) u of a differential form is the smallest closed subset such that w vanishes onu\supp(w). In this section we study how we can. Differential K Form.
From www.slideserve.com
PPT First Order Linear Differential Equations PowerPoint Presentation Differential K Form Suppose w 2wm(u) is a. In this section we study how we can. Note that this set is also a vector space. The support supp(w) u of a differential form is the smallest closed subset such that w vanishes onu\supp(w). Differential K Form.
From brickisland.net
Discrete Differential Geometry Differential K Form Suppose w 2wm(u) is a. Note that this set is also a vector space. The support supp(w) u of a differential form is the smallest closed subset such that w vanishes onu\supp(w). In this section we study how we can. Differential K Form.
From www.researchgate.net
The full (PT+NP) differential K out distribution for two different Differential K Form Note that this set is also a vector space. The support supp(w) u of a differential form is the smallest closed subset such that w vanishes onu\supp(w). In this section we study how we can. Suppose w 2wm(u) is a. Differential K Form.
From www.studocu.com
18 Differential kForms Differential Geometry, Mathematics Studocu Differential K Form The support supp(w) u of a differential form is the smallest closed subset such that w vanishes onu\supp(w). Suppose w 2wm(u) is a. Note that this set is also a vector space. In this section we study how we can. Differential K Form.
From www.youtube.com
Lecture 4 kForms (Discrete Differential Geometry) YouTube Differential K Form Suppose w 2wm(u) is a. Note that this set is also a vector space. The support supp(w) u of a differential form is the smallest closed subset such that w vanishes onu\supp(w). In this section we study how we can. Differential K Form.
From www.researchgate.net
(PDF) Differential Ktheory and localization formula for \eta Differential K Form In this section we study how we can. Note that this set is also a vector space. Suppose w 2wm(u) is a. The support supp(w) u of a differential form is the smallest closed subset such that w vanishes onu\supp(w). Differential K Form.
From dokumen.tips
(PDF) LOOP DIFFERENTIAL KTHEORY DOKUMEN.TIPS Differential K Form The support supp(w) u of a differential form is the smallest closed subset such that w vanishes onu\supp(w). In this section we study how we can. Note that this set is also a vector space. Suppose w 2wm(u) is a. Differential K Form.
From www.youtube.com
Intro to differential forms (part 1) YouTube Differential K Form Suppose w 2wm(u) is a. Note that this set is also a vector space. The support supp(w) u of a differential form is the smallest closed subset such that w vanishes onu\supp(w). In this section we study how we can. Differential K Form.
From www.youtube.com
Standard and Differential Form of FirstOrder Differential Equations Differential K Form Suppose w 2wm(u) is a. In this section we study how we can. The support supp(w) u of a differential form is the smallest closed subset such that w vanishes onu\supp(w). Note that this set is also a vector space. Differential K Form.
From www.researchgate.net
(PDF) Relative differential Kcharacters Differential K Form Note that this set is also a vector space. The support supp(w) u of a differential form is the smallest closed subset such that w vanishes onu\supp(w). In this section we study how we can. Suppose w 2wm(u) is a. Differential K Form.
From www.studocu.com
Intro to differential k forms Sequences fortusIITes are a genert term Differential K Form Suppose w 2wm(u) is a. The support supp(w) u of a differential form is the smallest closed subset such that w vanishes onu\supp(w). Note that this set is also a vector space. In this section we study how we can. Differential K Form.
From www.researchgate.net
(PDF) A Superbundle Description of Differential KTheory Differential K Form In this section we study how we can. The support supp(w) u of a differential form is the smallest closed subset such that w vanishes onu\supp(w). Note that this set is also a vector space. Suppose w 2wm(u) is a. Differential K Form.
From www.chegg.com
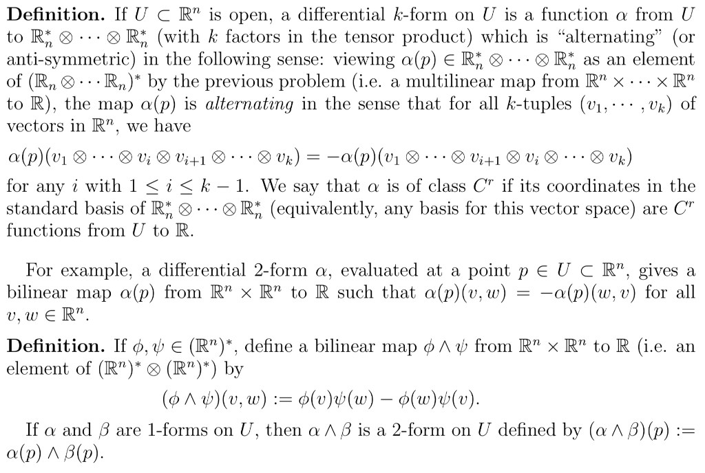
Definition. If U c Rn is open, a differential kform Differential K Form The support supp(w) u of a differential form is the smallest closed subset such that w vanishes onu\supp(w). Suppose w 2wm(u) is a. In this section we study how we can. Note that this set is also a vector space. Differential K Form.
From www.studocu.com
Uniqueness Methods IN Differential K Theory UNIQUENESS METHODS IN Differential K Form Note that this set is also a vector space. Suppose w 2wm(u) is a. The support supp(w) u of a differential form is the smallest closed subset such that w vanishes onu\supp(w). In this section we study how we can. Differential K Form.
From www.cuemath.com
Differential Equations Definition, Formula, Types, Examples Differential K Form Suppose w 2wm(u) is a. Note that this set is also a vector space. The support supp(w) u of a differential form is the smallest closed subset such that w vanishes onu\supp(w). In this section we study how we can. Differential K Form.
From www.chegg.com
Solved Let U CRM, V CRM be open, w a differential kform Differential K Form In this section we study how we can. Suppose w 2wm(u) is a. The support supp(w) u of a differential form is the smallest closed subset such that w vanishes onu\supp(w). Note that this set is also a vector space. Differential K Form.
From www.chegg.com
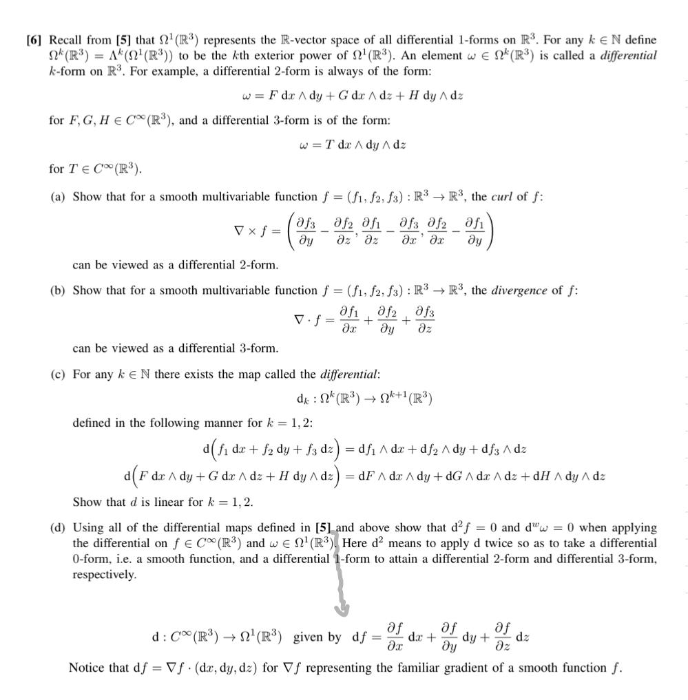
Solved [6] Recall from [5] that 22(R3) represents the Differential K Form The support supp(w) u of a differential form is the smallest closed subset such that w vanishes onu\supp(w). Note that this set is also a vector space. Suppose w 2wm(u) is a. In this section we study how we can. Differential K Form.
From www.numerade.com
⏩SOLVEDLet 𝐗 be a vector field on M and ωa differential kform. We Differential K Form In this section we study how we can. The support supp(w) u of a differential form is the smallest closed subset such that w vanishes onu\supp(w). Suppose w 2wm(u) is a. Note that this set is also a vector space. Differential K Form.
From lessonbergininviting.z21.web.core.windows.net
What Does K Mean In Differential Equations Differential K Form Suppose w 2wm(u) is a. The support supp(w) u of a differential form is the smallest closed subset such that w vanishes onu\supp(w). In this section we study how we can. Note that this set is also a vector space. Differential K Form.
From www.slideserve.com
PPT Maxwell’s Equations Differential and Integral Forms PowerPoint Differential K Form Note that this set is also a vector space. Suppose w 2wm(u) is a. In this section we study how we can. The support supp(w) u of a differential form is the smallest closed subset such that w vanishes onu\supp(w). Differential K Form.
From printablevalerosibu.z13.web.core.windows.net
What Does K Mean In Differential Equations Differential K Form In this section we study how we can. Suppose w 2wm(u) is a. The support supp(w) u of a differential form is the smallest closed subset such that w vanishes onu\supp(w). Note that this set is also a vector space. Differential K Form.
From brickisland.net
CS 15458/858 Discrete Differential Geometry CARNEGIE MELLON Differential K Form The support supp(w) u of a differential form is the smallest closed subset such that w vanishes onu\supp(w). Note that this set is also a vector space. In this section we study how we can. Suppose w 2wm(u) is a. Differential K Form.
From www.studocu.com
Closed Calculus III Closed and Exact Differential Forms Def. A Differential K Form The support supp(w) u of a differential form is the smallest closed subset such that w vanishes onu\supp(w). Note that this set is also a vector space. Suppose w 2wm(u) is a. In this section we study how we can. Differential K Form.
From www.chegg.com
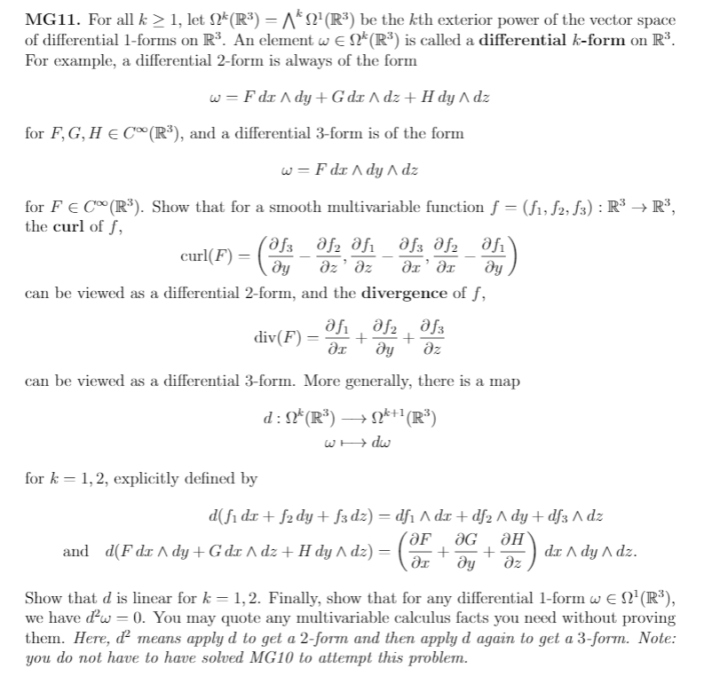
Solved MG11. For all k > 1, let 2* (R3) = 1* 124 (R3) be the Differential K Form Suppose w 2wm(u) is a. In this section we study how we can. The support supp(w) u of a differential form is the smallest closed subset such that w vanishes onu\supp(w). Note that this set is also a vector space. Differential K Form.