Q=Ne What Is Q . In general, positive charge comes from having more protons than electrons; Where q is charge, n is integer or number of electron transferred and e is an elementary. The total charge of electrons present in an atom is the number of electrons multiplied by the charge of an electron. According to this definition, the formula for charge can be written as, q = ne, where q is a charge, e is charge on one electron, and n is the number of electrons. Negative charge comes from having more electrons than. Q = ne (quantization of charge). The law of conservation of charge. According to this definition, the. The two very basic natures of electric. Q is the symbol for electric charge. Mathematically it is represented as q = i.t. The total charge of electrons present in an atom is the number of electrons multiplied by the charge of an electron. The matter is always positively charged, negatively charged,.
from www.youtube.com
Q is the symbol for electric charge. Q = ne (quantization of charge). Mathematically it is represented as q = i.t. The law of conservation of charge. According to this definition, the formula for charge can be written as, q = ne, where q is a charge, e is charge on one electron, and n is the number of electrons. The matter is always positively charged, negatively charged,. The total charge of electrons present in an atom is the number of electrons multiplied by the charge of an electron. The total charge of electrons present in an atom is the number of electrons multiplied by the charge of an electron. In general, positive charge comes from having more protons than electrons; Negative charge comes from having more electrons than.
Explanation of Q=ne. 😲😮 YouTube
Q=Ne What Is Q According to this definition, the. The total charge of electrons present in an atom is the number of electrons multiplied by the charge of an electron. The law of conservation of charge. Q = ne (quantization of charge). According to this definition, the. In general, positive charge comes from having more protons than electrons; The matter is always positively charged, negatively charged,. Negative charge comes from having more electrons than. Q is the symbol for electric charge. The total charge of electrons present in an atom is the number of electrons multiplied by the charge of an electron. Mathematically it is represented as q = i.t. Where q is charge, n is integer or number of electron transferred and e is an elementary. The two very basic natures of electric. According to this definition, the formula for charge can be written as, q = ne, where q is a charge, e is charge on one electron, and n is the number of electrons.
From www.vecteezy.com
QNE letter logo design on white background. QNE creative circle letter Q=Ne What Is Q The matter is always positively charged, negatively charged,. Q = ne (quantization of charge). Where q is charge, n is integer or number of electron transferred and e is an elementary. The total charge of electrons present in an atom is the number of electrons multiplied by the charge of an electron. According to this definition, the. Mathematically it is. Q=Ne What Is Q.
From eodev.com
Matematiksel terim olarak; N=? Z=? Q=? Q=Ne What Is Q The total charge of electrons present in an atom is the number of electrons multiplied by the charge of an electron. The law of conservation of charge. Q is the symbol for electric charge. In general, positive charge comes from having more protons than electrons; Mathematically it is represented as q = i.t. Q = ne (quantization of charge). The. Q=Ne What Is Q.
From www.turing.com
A Comprehensive Guide to Neural Networks in Deep Qlearning Q=Ne What Is Q Q is the symbol for electric charge. Q = ne (quantization of charge). The two very basic natures of electric. Negative charge comes from having more electrons than. Mathematically it is represented as q = i.t. The matter is always positively charged, negatively charged,. The total charge of electrons present in an atom is the number of electrons multiplied by. Q=Ne What Is Q.
From www.youtube.com
If the equation `x^(2) 3x + b = 0` and `x^(3) 4x^(2) + qx = 0 Q=Ne What Is Q Mathematically it is represented as q = i.t. Negative charge comes from having more electrons than. The total charge of electrons present in an atom is the number of electrons multiplied by the charge of an electron. Q is the symbol for electric charge. According to this definition, the formula for charge can be written as, q = ne, where. Q=Ne What Is Q.
From www.youtube.com
Explanation of Q=ne. 😲😮 YouTube Q=Ne What Is Q The two very basic natures of electric. The matter is always positively charged, negatively charged,. Negative charge comes from having more electrons than. Q is the symbol for electric charge. The law of conservation of charge. According to this definition, the. Q = ne (quantization of charge). Where q is charge, n is integer or number of electron transferred and. Q=Ne What Is Q.
From www.chegg.com
Solved Q6 If electric charge is quantized (that is, exists Q=Ne What Is Q The total charge of electrons present in an atom is the number of electrons multiplied by the charge of an electron. Mathematically it is represented as q = i.t. The two very basic natures of electric. According to this definition, the formula for charge can be written as, q = ne, where q is a charge, e is charge on. Q=Ne What Is Q.
From qne.com.my
Just 9 Cents QNE Cloud Accounting Sign Up QNE Software No. 1 Q=Ne What Is Q The law of conservation of charge. Negative charge comes from having more electrons than. The two very basic natures of electric. The total charge of electrons present in an atom is the number of electrons multiplied by the charge of an electron. Q = ne (quantization of charge). The total charge of electrons present in an atom is the number. Q=Ne What Is Q.
From brainly.in
Q=ne Q=1C ,then find n Brainly.in Q=Ne What Is Q The law of conservation of charge. Negative charge comes from having more electrons than. According to this definition, the. According to this definition, the formula for charge can be written as, q = ne, where q is a charge, e is charge on one electron, and n is the number of electrons. In general, positive charge comes from having more. Q=Ne What Is Q.
From www.youtube.com
Difference Between QNH, QFE and QFF YouTube Q=Ne What Is Q Q is the symbol for electric charge. The total charge of electrons present in an atom is the number of electrons multiplied by the charge of an electron. The total charge of electrons present in an atom is the number of electrons multiplied by the charge of an electron. The two very basic natures of electric. Mathematically it is represented. Q=Ne What Is Q.
From www.tes.com
Total Charge = Number x Electric Charge (Q=Ne) Poster suitable for Q=Ne What Is Q The two very basic natures of electric. According to this definition, the. The matter is always positively charged, negatively charged,. Mathematically it is represented as q = i.t. The total charge of electrons present in an atom is the number of electrons multiplied by the charge of an electron. The total charge of electrons present in an atom is the. Q=Ne What Is Q.
From www.youtube.com
Numericals Quantization of Charge Q=ne ,Electric potentialV=W/Q Q=Ne What Is Q Mathematically it is represented as q = i.t. Where q is charge, n is integer or number of electron transferred and e is an elementary. The matter is always positively charged, negatively charged,. Q = ne (quantization of charge). In general, positive charge comes from having more protons than electrons; The law of conservation of charge. Q is the symbol. Q=Ne What Is Q.
From www.doubtnut.com
Express 0.2bar(35) in the form p/q where p and q are integers and q ne Q=Ne What Is Q The matter is always positively charged, negatively charged,. According to this definition, the formula for charge can be written as, q = ne, where q is a charge, e is charge on one electron, and n is the number of electrons. Mathematically it is represented as q = i.t. The total charge of electrons present in an atom is the. Q=Ne What Is Q.
From www.paramotorclub.org
QNH, QFE, QNE What does it all mean, explanation. Navigation www Q=Ne What Is Q The total charge of electrons present in an atom is the number of electrons multiplied by the charge of an electron. According to this definition, the. The total charge of electrons present in an atom is the number of electrons multiplied by the charge of an electron. According to this definition, the formula for charge can be written as, q. Q=Ne What Is Q.
From www.youtube.com
Altimetry Explained QNH QNE QFE QFF QDM QDR ALL EXPLAINED YouTube Q=Ne What Is Q The matter is always positively charged, negatively charged,. Q = ne (quantization of charge). The law of conservation of charge. Q is the symbol for electric charge. Negative charge comes from having more electrons than. The total charge of electrons present in an atom is the number of electrons multiplied by the charge of an electron. Mathematically it is represented. Q=Ne What Is Q.
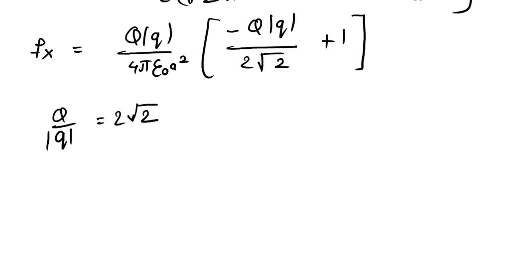
From www.numerade.com
SOLVED In Fig. 2125, four particles form a square. The charges are q1 Q=Ne What Is Q In general, positive charge comes from having more protons than electrons; The matter is always positively charged, negatively charged,. Where q is charge, n is integer or number of electron transferred and e is an elementary. Negative charge comes from having more electrons than. The two very basic natures of electric. The total charge of electrons present in an atom. Q=Ne What Is Q.
From brainly.in
calculate the number of electrons when the charge is equivalent to 3C Q=Ne What Is Q According to this definition, the formula for charge can be written as, q = ne, where q is a charge, e is charge on one electron, and n is the number of electrons. Q = ne (quantization of charge). The total charge of electrons present in an atom is the number of electrons multiplied by the charge of an electron.. Q=Ne What Is Q.
From www.youtube.com
q=ne 3U physics YouTube Q=Ne What Is Q The total charge of electrons present in an atom is the number of electrons multiplied by the charge of an electron. The matter is always positively charged, negatively charged,. According to this definition, the. According to this definition, the formula for charge can be written as, q = ne, where q is a charge, e is charge on one electron,. Q=Ne What Is Q.
From www.youtube.com
Charge q= ne YouTube Q=Ne What Is Q In general, positive charge comes from having more protons than electrons; The law of conservation of charge. Q is the symbol for electric charge. According to this definition, the. Where q is charge, n is integer or number of electron transferred and e is an elementary. The matter is always positively charged, negatively charged,. The two very basic natures of. Q=Ne What Is Q.
From www.youtube.com
Electric Charges & Fields 16 Numerical based on Q= ne by S. Khan Q=Ne What Is Q According to this definition, the. The total charge of electrons present in an atom is the number of electrons multiplied by the charge of an electron. In general, positive charge comes from having more protons than electrons; Q is the symbol for electric charge. The two very basic natures of electric. Mathematically it is represented as q = i.t. Where. Q=Ne What Is Q.
From www.meritnation.com
a charge Q is divided into two charges q and q the value of Q such that Q=Ne What Is Q Q = ne (quantization of charge). Mathematically it is represented as q = i.t. The total charge of electrons present in an atom is the number of electrons multiplied by the charge of an electron. Where q is charge, n is integer or number of electron transferred and e is an elementary. Negative charge comes from having more electrons than.. Q=Ne What Is Q.
From communities.win
What is Q? The Great Awakening Where We Go Qne, We Go All! Q=Ne What Is Q Mathematically it is represented as q = i.t. According to this definition, the. Where q is charge, n is integer or number of electron transferred and e is an elementary. The two very basic natures of electric. The law of conservation of charge. Negative charge comes from having more electrons than. Q is the symbol for electric charge. The matter. Q=Ne What Is Q.
From slideplayer.com
Electrostatics. ppt download Q=Ne What Is Q The total charge of electrons present in an atom is the number of electrons multiplied by the charge of an electron. The two very basic natures of electric. Q = ne (quantization of charge). The matter is always positively charged, negatively charged,. The total charge of electrons present in an atom is the number of electrons multiplied by the charge. Q=Ne What Is Q.
From slideplayer.com
Electric charge Symbol q It’s known since ancient time that if amber is Q=Ne What Is Q The total charge of electrons present in an atom is the number of electrons multiplied by the charge of an electron. In general, positive charge comes from having more protons than electrons; The total charge of electrons present in an atom is the number of electrons multiplied by the charge of an electron. Mathematically it is represented as q =. Q=Ne What Is Q.
From ispitna.blogspot.com
Q Formula Electricity Ispitna Q=Ne What Is Q The total charge of electrons present in an atom is the number of electrons multiplied by the charge of an electron. Where q is charge, n is integer or number of electron transferred and e is an elementary. In general, positive charge comes from having more protons than electrons; According to this definition, the formula for charge can be written. Q=Ne What Is Q.
From www.studypool.com
SOLUTION Q codes in Aviation Studypool Q=Ne What Is Q According to this definition, the. Q is the symbol for electric charge. In general, positive charge comes from having more protons than electrons; The total charge of electrons present in an atom is the number of electrons multiplied by the charge of an electron. Negative charge comes from having more electrons than. The law of conservation of charge. Q =. Q=Ne What Is Q.
From www.toppr.com
If the roots of the quadratic equation p(q r)x^2 + q(r p)x + r(p Q=Ne What Is Q Q = ne (quantization of charge). The total charge of electrons present in an atom is the number of electrons multiplied by the charge of an electron. The law of conservation of charge. The matter is always positively charged, negatively charged,. Q is the symbol for electric charge. Negative charge comes from having more electrons than. The total charge of. Q=Ne What Is Q.
From www.youtube.com
Q = ne YouTube Q=Ne What Is Q According to this definition, the. The total charge of electrons present in an atom is the number of electrons multiplied by the charge of an electron. Where q is charge, n is integer or number of electron transferred and e is an elementary. According to this definition, the formula for charge can be written as, q = ne, where q. Q=Ne What Is Q.
From eodev.com
Fizikte q ne anlama gelir Q=Ne What Is Q Where q is charge, n is integer or number of electron transferred and e is an elementary. In general, positive charge comes from having more protons than electrons; Q is the symbol for electric charge. According to this definition, the formula for charge can be written as, q = ne, where q is a charge, e is charge on one. Q=Ne What Is Q.
From www.youtube.com
Reaction Quotient Q Lecture and Example (Pt. 7) YouTube Q=Ne What Is Q According to this definition, the formula for charge can be written as, q = ne, where q is a charge, e is charge on one electron, and n is the number of electrons. The law of conservation of charge. Mathematically it is represented as q = i.t. The total charge of electrons present in an atom is the number of. Q=Ne What Is Q.
From animalia-life.club
Charge Formula Q=Ne What Is Q Q = ne (quantization of charge). The two very basic natures of electric. According to this definition, the formula for charge can be written as, q = ne, where q is a charge, e is charge on one electron, and n is the number of electrons. Mathematically it is represented as q = i.t. The total charge of electrons present. Q=Ne What Is Q.
From askfilo.com
Formula used. q=±ne Units used. q and e are in coulomb, n is a number Sta.. Q=Ne What Is Q According to this definition, the formula for charge can be written as, q = ne, where q is a charge, e is charge on one electron, and n is the number of electrons. The law of conservation of charge. Where q is charge, n is integer or number of electron transferred and e is an elementary. The two very basic. Q=Ne What Is Q.
From www.askpilot.info
What is QNH, QFE and QNE? اسأل الطيار ask pilot Q=Ne What Is Q The matter is always positively charged, negatively charged,. The total charge of electrons present in an atom is the number of electrons multiplied by the charge of an electron. The law of conservation of charge. In general, positive charge comes from having more protons than electrons; According to this definition, the. The total charge of electrons present in an atom. Q=Ne What Is Q.
From byjus.com
can n be negetive in the quantization of charge (q=ne) ? if n is Q=Ne What Is Q The total charge of electrons present in an atom is the number of electrons multiplied by the charge of an electron. Q is the symbol for electric charge. Q = ne (quantization of charge). The total charge of electrons present in an atom is the number of electrons multiplied by the charge of an electron. The two very basic natures. Q=Ne What Is Q.
From www.chegg.com
Solved In this week's material, we were introduced to the Q=Ne What Is Q In general, positive charge comes from having more protons than electrons; Negative charge comes from having more electrons than. The law of conservation of charge. According to this definition, the. Where q is charge, n is integer or number of electron transferred and e is an elementary. The total charge of electrons present in an atom is the number of. Q=Ne What Is Q.
From www.xuefeiji.org
QNH、 QNE、 QFE三种高度分别都是什么意思 Q=Ne What Is Q Negative charge comes from having more electrons than. According to this definition, the formula for charge can be written as, q = ne, where q is a charge, e is charge on one electron, and n is the number of electrons. Q is the symbol for electric charge. In general, positive charge comes from having more protons than electrons; Where. Q=Ne What Is Q.