What Is Value Of K In Coulomb S Law . The formula for coulomb’s law is f = k * (q1 * q2) / d², where f is the force, q1 and q2 are the charges,. Suppose, q1 = 1, q2 = 1, and r = 1, then, f = k⋅1⋅1 1 = k f = k ⋅ 1 ⋅ 1 1 = k. the constant in coulomb’s law is known as coulomb’s constant, which is denoted by k. Therefore, coulomb’s constant is defined as the electrostatic force experienced by two unit charges when a unit distance separates them. coulomb’s law formula: The force between two charged objects is directly proportional to the magnitude of each charge and inversely. It is f = k | q1q2 | r2, where q1 and q2 are two point charges. in si units, the constant k has the value k = 8.99 × 10 9 n ⋅ m 2 /c 2. coulomb’s law is summarized by the equation \[f=k\frac{q_{1}q_{2}}{r^{2}}\] where f is the force, q 1 and q 2 are the charges, and r is the distance between the. The direction of the force is along the line joining the centers of. coulomb’s law gives the magnitude of the force between point charges.
from byjus.com
The direction of the force is along the line joining the centers of. coulomb’s law is summarized by the equation \[f=k\frac{q_{1}q_{2}}{r^{2}}\] where f is the force, q 1 and q 2 are the charges, and r is the distance between the. coulomb’s law gives the magnitude of the force between point charges. The force between two charged objects is directly proportional to the magnitude of each charge and inversely. the constant in coulomb’s law is known as coulomb’s constant, which is denoted by k. Therefore, coulomb’s constant is defined as the electrostatic force experienced by two unit charges when a unit distance separates them. in si units, the constant k has the value k = 8.99 × 10 9 n ⋅ m 2 /c 2. The formula for coulomb’s law is f = k * (q1 * q2) / d², where f is the force, q1 and q2 are the charges,. It is f = k | q1q2 | r2, where q1 and q2 are two point charges. Suppose, q1 = 1, q2 = 1, and r = 1, then, f = k⋅1⋅1 1 = k f = k ⋅ 1 ⋅ 1 1 = k.
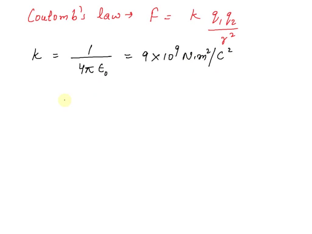
when we use the value of k as 1/4πE0 in coulomb's law
What Is Value Of K In Coulomb S Law coulomb’s law gives the magnitude of the force between point charges. Therefore, coulomb’s constant is defined as the electrostatic force experienced by two unit charges when a unit distance separates them. coulomb’s law gives the magnitude of the force between point charges. The force between two charged objects is directly proportional to the magnitude of each charge and inversely. coulomb’s law is summarized by the equation \[f=k\frac{q_{1}q_{2}}{r^{2}}\] where f is the force, q 1 and q 2 are the charges, and r is the distance between the. The formula for coulomb’s law is f = k * (q1 * q2) / d², where f is the force, q1 and q2 are the charges,. the constant in coulomb’s law is known as coulomb’s constant, which is denoted by k. The direction of the force is along the line joining the centers of. It is f = k | q1q2 | r2, where q1 and q2 are two point charges. in si units, the constant k has the value k = 8.99 × 10 9 n ⋅ m 2 /c 2. Suppose, q1 = 1, q2 = 1, and r = 1, then, f = k⋅1⋅1 1 = k f = k ⋅ 1 ⋅ 1 1 = k. coulomb’s law formula:
From feevalue.com
what is value of k in coulomb's law Coulomb law between force distance What Is Value Of K In Coulomb S Law The force between two charged objects is directly proportional to the magnitude of each charge and inversely. It is f = k | q1q2 | r2, where q1 and q2 are two point charges. in si units, the constant k has the value k = 8.99 × 10 9 n ⋅ m 2 /c 2. The formula for coulomb’s. What Is Value Of K In Coulomb S Law.
From byjus.com
when we use the value of k as 1/4πE0 in coulomb's law What Is Value Of K In Coulomb S Law The force between two charged objects is directly proportional to the magnitude of each charge and inversely. It is f = k | q1q2 | r2, where q1 and q2 are two point charges. coulomb’s law is summarized by the equation \[f=k\frac{q_{1}q_{2}}{r^{2}}\] where f is the force, q 1 and q 2 are the charges, and r is the. What Is Value Of K In Coulomb S Law.
From quizzschoolhernandez.z19.web.core.windows.net
Coulomb's Law Examples And Solutions What Is Value Of K In Coulomb S Law coulomb’s law gives the magnitude of the force between point charges. Suppose, q1 = 1, q2 = 1, and r = 1, then, f = k⋅1⋅1 1 = k f = k ⋅ 1 ⋅ 1 1 = k. coulomb’s law is summarized by the equation \[f=k\frac{q_{1}q_{2}}{r^{2}}\] where f is the force, q 1 and q 2 are. What Is Value Of K In Coulomb S Law.
From www.ck12.org
Coulomb's Law CK12 Foundation What Is Value Of K In Coulomb S Law coulomb’s law is summarized by the equation \[f=k\frac{q_{1}q_{2}}{r^{2}}\] where f is the force, q 1 and q 2 are the charges, and r is the distance between the. Suppose, q1 = 1, q2 = 1, and r = 1, then, f = k⋅1⋅1 1 = k f = k ⋅ 1 ⋅ 1 1 = k. The force between. What Is Value Of K In Coulomb S Law.
From slidetodoc.com
18 5 Coulombs Law 18 5 Coulombs Law What Is Value Of K In Coulomb S Law The formula for coulomb’s law is f = k * (q1 * q2) / d², where f is the force, q1 and q2 are the charges,. coulomb’s law is summarized by the equation \[f=k\frac{q_{1}q_{2}}{r^{2}}\] where f is the force, q 1 and q 2 are the charges, and r is the distance between the. Therefore, coulomb’s constant is defined. What Is Value Of K In Coulomb S Law.
From feevalue.com
what is the value of k in coulomb's law Coulomb's law What Is Value Of K In Coulomb S Law Therefore, coulomb’s constant is defined as the electrostatic force experienced by two unit charges when a unit distance separates them. It is f = k | q1q2 | r2, where q1 and q2 are two point charges. Suppose, q1 = 1, q2 = 1, and r = 1, then, f = k⋅1⋅1 1 = k f = k ⋅ 1. What Is Value Of K In Coulomb S Law.
From www.atlearner.com
What is Coulomb's Law? Atlearner Learn Science & Technology What Is Value Of K In Coulomb S Law Therefore, coulomb’s constant is defined as the electrostatic force experienced by two unit charges when a unit distance separates them. The force between two charged objects is directly proportional to the magnitude of each charge and inversely. in si units, the constant k has the value k = 8.99 × 10 9 n ⋅ m 2 /c 2. . What Is Value Of K In Coulomb S Law.
From www.meritnation.com
Deduce the dimensional formula for the proportionality constant k in What Is Value Of K In Coulomb S Law The force between two charged objects is directly proportional to the magnitude of each charge and inversely. Therefore, coulomb’s constant is defined as the electrostatic force experienced by two unit charges when a unit distance separates them. Suppose, q1 = 1, q2 = 1, and r = 1, then, f = k⋅1⋅1 1 = k f = k ⋅ 1. What Is Value Of K In Coulomb S Law.
From www.ck12.org
Coulomb's Law CK12 Foundation What Is Value Of K In Coulomb S Law in si units, the constant k has the value k = 8.99 × 10 9 n ⋅ m 2 /c 2. coulomb’s law formula: coulomb’s law is summarized by the equation \[f=k\frac{q_{1}q_{2}}{r^{2}}\] where f is the force, q 1 and q 2 are the charges, and r is the distance between the. It is f = k. What Is Value Of K In Coulomb S Law.
From www.youtube.com
Why in Coulomb's law K = 1/4πεo Physical significance of Coulomb's What Is Value Of K In Coulomb S Law It is f = k | q1q2 | r2, where q1 and q2 are two point charges. The force between two charged objects is directly proportional to the magnitude of each charge and inversely. Suppose, q1 = 1, q2 = 1, and r = 1, then, f = k⋅1⋅1 1 = k f = k ⋅ 1 ⋅ 1 1. What Is Value Of K In Coulomb S Law.
From infinitylearn.com
Coulomb's Law Formula, Vector Form and Example What Is Value Of K In Coulomb S Law coulomb’s law gives the magnitude of the force between point charges. Suppose, q1 = 1, q2 = 1, and r = 1, then, f = k⋅1⋅1 1 = k f = k ⋅ 1 ⋅ 1 1 = k. The formula for coulomb’s law is f = k * (q1 * q2) / d², where f is the force,. What Is Value Of K In Coulomb S Law.
From willowwoodlessons.weebly.com
Lesson 4 COULOMB'S LAW WillowWood Lessons What Is Value Of K In Coulomb S Law The formula for coulomb’s law is f = k * (q1 * q2) / d², where f is the force, q1 and q2 are the charges,. The direction of the force is along the line joining the centers of. in si units, the constant k has the value k = 8.99 × 10 9 n ⋅ m 2 /c. What Is Value Of K In Coulomb S Law.
From www.sciencefacts.net
Coulomb’s Law Definition, Theory, and Equation What Is Value Of K In Coulomb S Law Therefore, coulomb’s constant is defined as the electrostatic force experienced by two unit charges when a unit distance separates them. coulomb’s law is summarized by the equation \[f=k\frac{q_{1}q_{2}}{r^{2}}\] where f is the force, q 1 and q 2 are the charges, and r is the distance between the. in si units, the constant k has the value k. What Is Value Of K In Coulomb S Law.
From kunduz.com
[ANSWERED] The value of k the electrical constant in Coulomb s Law O 1 What Is Value Of K In Coulomb S Law coulomb’s law formula: Therefore, coulomb’s constant is defined as the electrostatic force experienced by two unit charges when a unit distance separates them. coulomb’s law gives the magnitude of the force between point charges. the constant in coulomb’s law is known as coulomb’s constant, which is denoted by k. coulomb’s law is summarized by the equation. What Is Value Of K In Coulomb S Law.
From energyeducation.ca
Coulomb's law Energy Education What Is Value Of K In Coulomb S Law coulomb’s law is summarized by the equation \[f=k\frac{q_{1}q_{2}}{r^{2}}\] where f is the force, q 1 and q 2 are the charges, and r is the distance between the. It is f = k | q1q2 | r2, where q1 and q2 are two point charges. Suppose, q1 = 1, q2 = 1, and r = 1, then, f =. What Is Value Of K In Coulomb S Law.
From www.electricity-magnetism.org
Coulomb Constant Formula & Value What Is Value Of K In Coulomb S Law Suppose, q1 = 1, q2 = 1, and r = 1, then, f = k⋅1⋅1 1 = k f = k ⋅ 1 ⋅ 1 1 = k. The force between two charged objects is directly proportional to the magnitude of each charge and inversely. Therefore, coulomb’s constant is defined as the electrostatic force experienced by two unit charges when. What Is Value Of K In Coulomb S Law.
From howtomechatronics.com
Coulomb’s Law How To Mechatronics What Is Value Of K In Coulomb S Law The formula for coulomb’s law is f = k * (q1 * q2) / d², where f is the force, q1 and q2 are the charges,. coulomb’s law gives the magnitude of the force between point charges. The direction of the force is along the line joining the centers of. The force between two charged objects is directly proportional. What Is Value Of K In Coulomb S Law.
From diagramwallscymbidium.z21.web.core.windows.net
Electric Charge Field Formula What Is Value Of K In Coulomb S Law The force between two charged objects is directly proportional to the magnitude of each charge and inversely. Therefore, coulomb’s constant is defined as the electrostatic force experienced by two unit charges when a unit distance separates them. coulomb’s law is summarized by the equation \[f=k\frac{q_{1}q_{2}}{r^{2}}\] where f is the force, q 1 and q 2 are the charges, and. What Is Value Of K In Coulomb S Law.
From feevalue.com
what is the value of k in coulomb's law Coulomb's law What Is Value Of K In Coulomb S Law Suppose, q1 = 1, q2 = 1, and r = 1, then, f = k⋅1⋅1 1 = k f = k ⋅ 1 ⋅ 1 1 = k. coulomb’s law formula: The direction of the force is along the line joining the centers of. the constant in coulomb’s law is known as coulomb’s constant, which is denoted by. What Is Value Of K In Coulomb S Law.
From learnbin.net
Coulomb's Law With Examples Learnbin What Is Value Of K In Coulomb S Law coulomb’s law is summarized by the equation \[f=k\frac{q_{1}q_{2}}{r^{2}}\] where f is the force, q 1 and q 2 are the charges, and r is the distance between the. coulomb’s law formula: in si units, the constant k has the value k = 8.99 × 10 9 n ⋅ m 2 /c 2. Suppose, q1 = 1, q2. What Is Value Of K In Coulomb S Law.
From www.numerade.com
SOLVED "2 The value of k in coulomb's law depends upon medium between What Is Value Of K In Coulomb S Law The direction of the force is along the line joining the centers of. in si units, the constant k has the value k = 8.99 × 10 9 n ⋅ m 2 /c 2. the constant in coulomb’s law is known as coulomb’s constant, which is denoted by k. The formula for coulomb’s law is f = k. What Is Value Of K In Coulomb S Law.
From feevalue.com
what is value of k in coulomb's law Coulomb law between force distance What Is Value Of K In Coulomb S Law coulomb’s law formula: The direction of the force is along the line joining the centers of. coulomb’s law gives the magnitude of the force between point charges. Therefore, coulomb’s constant is defined as the electrostatic force experienced by two unit charges when a unit distance separates them. The force between two charged objects is directly proportional to the. What Is Value Of K In Coulomb S Law.
From www.slideserve.com
PPT Physics 2102 PowerPoint Presentation, free download ID3191561 What Is Value Of K In Coulomb S Law in si units, the constant k has the value k = 8.99 × 10 9 n ⋅ m 2 /c 2. the constant in coulomb’s law is known as coulomb’s constant, which is denoted by k. coulomb’s law gives the magnitude of the force between point charges. It is f = k | q1q2 | r2, where. What Is Value Of K In Coulomb S Law.
From www.slideserve.com
PPT Applications of Coulomb’s Law PowerPoint Presentation, free What Is Value Of K In Coulomb S Law The direction of the force is along the line joining the centers of. The formula for coulomb’s law is f = k * (q1 * q2) / d², where f is the force, q1 and q2 are the charges,. coulomb’s law is summarized by the equation \[f=k\frac{q_{1}q_{2}}{r^{2}}\] where f is the force, q 1 and q 2 are the. What Is Value Of K In Coulomb S Law.
From www.numerade.com
SOLVED In coulomb's law, on what factors does the value of What Is Value Of K In Coulomb S Law coulomb’s law gives the magnitude of the force between point charges. The force between two charged objects is directly proportional to the magnitude of each charge and inversely. the constant in coulomb’s law is known as coulomb’s constant, which is denoted by k. in si units, the constant k has the value k = 8.99 × 10. What Is Value Of K In Coulomb S Law.
From mungfali.com
Coulomb's Law Diagram What Is Value Of K In Coulomb S Law in si units, the constant k has the value k = 8.99 × 10 9 n ⋅ m 2 /c 2. It is f = k | q1q2 | r2, where q1 and q2 are two point charges. Suppose, q1 = 1, q2 = 1, and r = 1, then, f = k⋅1⋅1 1 = k f = k. What Is Value Of K In Coulomb S Law.
From eduinput.com
What is Coulomb's Law? A Detailed Introduction What Is Value Of K In Coulomb S Law coulomb’s law is summarized by the equation \[f=k\frac{q_{1}q_{2}}{r^{2}}\] where f is the force, q 1 and q 2 are the charges, and r is the distance between the. The force between two charged objects is directly proportional to the magnitude of each charge and inversely. The formula for coulomb’s law is f = k * (q1 * q2) /. What Is Value Of K In Coulomb S Law.
From www.slideserve.com
PPT MIT Class Particle Interactions Coulomb’s Law PowerPoint What Is Value Of K In Coulomb S Law coulomb’s law gives the magnitude of the force between point charges. The force between two charged objects is directly proportional to the magnitude of each charge and inversely. The direction of the force is along the line joining the centers of. Suppose, q1 = 1, q2 = 1, and r = 1, then, f = k⋅1⋅1 1 = k. What Is Value Of K In Coulomb S Law.
From www.youtube.com
Coulomb's Law Net Electric Force & Point Charges YouTube What Is Value Of K In Coulomb S Law The direction of the force is along the line joining the centers of. The force between two charged objects is directly proportional to the magnitude of each charge and inversely. in si units, the constant k has the value k = 8.99 × 10 9 n ⋅ m 2 /c 2. coulomb’s law formula: coulomb’s law is. What Is Value Of K In Coulomb S Law.
From www.natureof3laws.co.in
Coulomb's Law, Definition, Statement, Key Features, And Vector Form What Is Value Of K In Coulomb S Law Therefore, coulomb’s constant is defined as the electrostatic force experienced by two unit charges when a unit distance separates them. in si units, the constant k has the value k = 8.99 × 10 9 n ⋅ m 2 /c 2. The direction of the force is along the line joining the centers of. The formula for coulomb’s law. What Is Value Of K In Coulomb S Law.
From www.vrogue.co
Coulombs Law Diagram vrogue.co What Is Value Of K In Coulomb S Law coulomb’s law gives the magnitude of the force between point charges. The direction of the force is along the line joining the centers of. coulomb’s law is summarized by the equation \[f=k\frac{q_{1}q_{2}}{r^{2}}\] where f is the force, q 1 and q 2 are the charges, and r is the distance between the. The force between two charged objects. What Is Value Of K In Coulomb S Law.
From www.worksheetsplanet.com
Coulomb's Law Formula + Definition What Is Value Of K In Coulomb S Law coulomb’s law is summarized by the equation \[f=k\frac{q_{1}q_{2}}{r^{2}}\] where f is the force, q 1 and q 2 are the charges, and r is the distance between the. The direction of the force is along the line joining the centers of. Therefore, coulomb’s constant is defined as the electrostatic force experienced by two unit charges when a unit distance. What Is Value Of K In Coulomb S Law.
From www.adda247.com
Coulomb's Law Definition, Formula, Vector Form What Is Value Of K In Coulomb S Law the constant in coulomb’s law is known as coulomb’s constant, which is denoted by k. coulomb’s law gives the magnitude of the force between point charges. Suppose, q1 = 1, q2 = 1, and r = 1, then, f = k⋅1⋅1 1 = k f = k ⋅ 1 ⋅ 1 1 = k. Therefore, coulomb’s constant is. What Is Value Of K In Coulomb S Law.
From www.gkseries.com
Value of k in coulomb's law depends upon What Is Value Of K In Coulomb S Law The formula for coulomb’s law is f = k * (q1 * q2) / d², where f is the force, q1 and q2 are the charges,. Suppose, q1 = 1, q2 = 1, and r = 1, then, f = k⋅1⋅1 1 = k f = k ⋅ 1 ⋅ 1 1 = k. The force between two charged objects. What Is Value Of K In Coulomb S Law.
From eduinput.com
What is Coulomb's Law? A Detailed Introduction What Is Value Of K In Coulomb S Law The force between two charged objects is directly proportional to the magnitude of each charge and inversely. Suppose, q1 = 1, q2 = 1, and r = 1, then, f = k⋅1⋅1 1 = k f = k ⋅ 1 ⋅ 1 1 = k. The formula for coulomb’s law is f = k * (q1 * q2) / d²,. What Is Value Of K In Coulomb S Law.