Electric Potential Energy In Joules . The si unit of energy is the joule, named for james joule, the english brewer turned physicist who determined that heat and electricity were. When a conservative force does negative work, the. The energy of the electron in. Calculate electric potential and potential difference from potential energy and electric field; Define electric potential, voltage, and potential difference; Electric potential energy is a scalar quantity and possesses only magnitude and no direction. A typical electron gun accelerates electrons using a potential difference between two metal plates. We use the letter u to denote electric potential energy, which has units of joules (j). It is measured in terms of joules and. 9 rows in short, an electric potential is the electric potential energy per unit charge. We use the letter u to denote electric potential energy, which has units of joules (j). When a conservative force does negative work, the system gains potential energy.
from studylib.net
The si unit of energy is the joule, named for james joule, the english brewer turned physicist who determined that heat and electricity were. A typical electron gun accelerates electrons using a potential difference between two metal plates. Electric potential energy is a scalar quantity and possesses only magnitude and no direction. Calculate electric potential and potential difference from potential energy and electric field; When a conservative force does negative work, the system gains potential energy. Define electric potential, voltage, and potential difference; When a conservative force does negative work, the. We use the letter u to denote electric potential energy, which has units of joules (j). 9 rows in short, an electric potential is the electric potential energy per unit charge. It is measured in terms of joules and.
ELECTRIC POTENTIALENERGY (U) and the ELECTRIC
Electric Potential Energy In Joules The energy of the electron in. Define electric potential, voltage, and potential difference; 9 rows in short, an electric potential is the electric potential energy per unit charge. We use the letter u to denote electric potential energy, which has units of joules (j). The energy of the electron in. Electric potential energy is a scalar quantity and possesses only magnitude and no direction. A typical electron gun accelerates electrons using a potential difference between two metal plates. It is measured in terms of joules and. The si unit of energy is the joule, named for james joule, the english brewer turned physicist who determined that heat and electricity were. When a conservative force does negative work, the. When a conservative force does negative work, the system gains potential energy. We use the letter u to denote electric potential energy, which has units of joules (j). Calculate electric potential and potential difference from potential energy and electric field;
From www.slideserve.com
PPT Electric Fields and Forces PowerPoint Presentation, free download Electric Potential Energy In Joules Define electric potential, voltage, and potential difference; When a conservative force does negative work, the. A typical electron gun accelerates electrons using a potential difference between two metal plates. Electric potential energy is a scalar quantity and possesses only magnitude and no direction. When a conservative force does negative work, the system gains potential energy. It is measured in terms. Electric Potential Energy In Joules.
From www.chegg.com
Solved 5. (10 points) Find the electric potential energy (in Electric Potential Energy In Joules A typical electron gun accelerates electrons using a potential difference between two metal plates. When a conservative force does negative work, the. We use the letter u to denote electric potential energy, which has units of joules (j). 9 rows in short, an electric potential is the electric potential energy per unit charge. The si unit of energy is the. Electric Potential Energy In Joules.
From www.slideserve.com
PPT Electric Potential Energy PowerPoint Presentation, free download Electric Potential Energy In Joules Electric potential energy is a scalar quantity and possesses only magnitude and no direction. When a conservative force does negative work, the. We use the letter u to denote electric potential energy, which has units of joules (j). Define electric potential, voltage, and potential difference; We use the letter u to denote electric potential energy, which has units of joules. Electric Potential Energy In Joules.
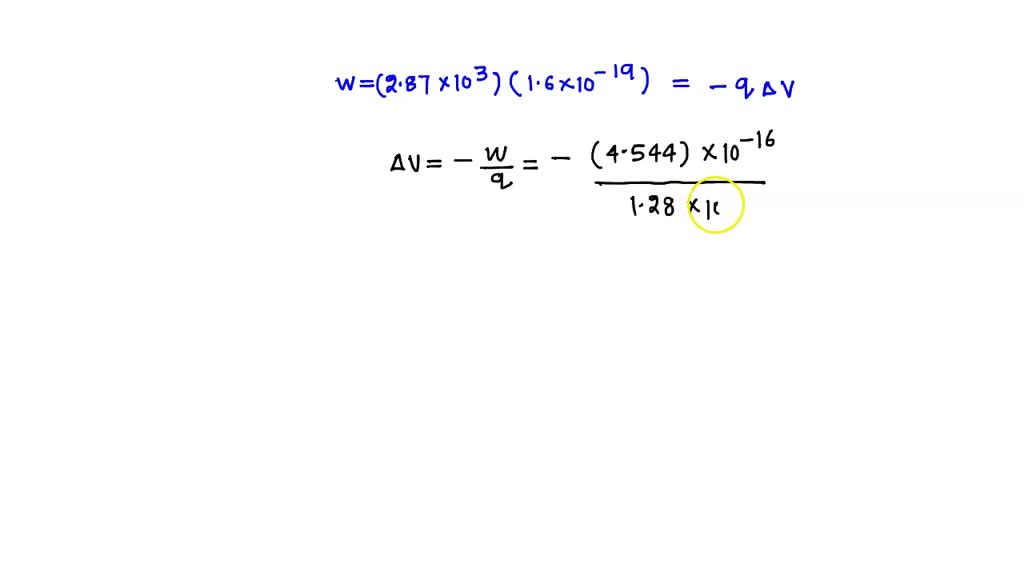
From www.numerade.com
SOLVED An electric field does 2.87 × 10^3 eV of work on an oxygen Electric Potential Energy In Joules We use the letter u to denote electric potential energy, which has units of joules (j). We use the letter u to denote electric potential energy, which has units of joules (j). The energy of the electron in. When a conservative force does negative work, the. When a conservative force does negative work, the system gains potential energy. Electric potential. Electric Potential Energy In Joules.
From slideplayer.com
Example E Compare the electric field at point X in cases A and B ppt Electric Potential Energy In Joules When a conservative force does negative work, the system gains potential energy. The si unit of energy is the joule, named for james joule, the english brewer turned physicist who determined that heat and electricity were. The energy of the electron in. 9 rows in short, an electric potential is the electric potential energy per unit charge. Electric potential energy. Electric Potential Energy In Joules.
From www.slideserve.com
PPT MIT Class Electric Potential PowerPoint Presentation, free Electric Potential Energy In Joules We use the letter u to denote electric potential energy, which has units of joules (j). 9 rows in short, an electric potential is the electric potential energy per unit charge. When a conservative force does negative work, the system gains potential energy. A typical electron gun accelerates electrons using a potential difference between two metal plates. When a conservative. Electric Potential Energy In Joules.
From slideplayer.com
Electric Circuits To insert this slide into your presentation ppt Electric Potential Energy In Joules Define electric potential, voltage, and potential difference; When a conservative force does negative work, the system gains potential energy. The energy of the electron in. It is measured in terms of joules and. The si unit of energy is the joule, named for james joule, the english brewer turned physicist who determined that heat and electricity were. 9 rows in. Electric Potential Energy In Joules.
From www.slideserve.com
PPT Electric Potential Energy PowerPoint Presentation ID5572038 Electric Potential Energy In Joules When a conservative force does negative work, the. A typical electron gun accelerates electrons using a potential difference between two metal plates. Calculate electric potential and potential difference from potential energy and electric field; When a conservative force does negative work, the system gains potential energy. Define electric potential, voltage, and potential difference; The energy of the electron in. The. Electric Potential Energy In Joules.
From www.toppr.com
Electric Potential and Potential Energy Due to Point Charges(23)A Electric Potential Energy In Joules It is measured in terms of joules and. Electric potential energy is a scalar quantity and possesses only magnitude and no direction. Calculate electric potential and potential difference from potential energy and electric field; We use the letter u to denote electric potential energy, which has units of joules (j). The si unit of energy is the joule, named for. Electric Potential Energy In Joules.
From www.youtube.com
12.4.1 Electric Potential joules per coulomb YouTube Electric Potential Energy In Joules We use the letter u to denote electric potential energy, which has units of joules (j). When a conservative force does negative work, the system gains potential energy. A typical electron gun accelerates electrons using a potential difference between two metal plates. The si unit of energy is the joule, named for james joule, the english brewer turned physicist who. Electric Potential Energy In Joules.
From slideplayer.com
Electrical Potential. ppt download Electric Potential Energy In Joules The si unit of energy is the joule, named for james joule, the english brewer turned physicist who determined that heat and electricity were. A typical electron gun accelerates electrons using a potential difference between two metal plates. Electric potential energy is a scalar quantity and possesses only magnitude and no direction. It is measured in terms of joules and.. Electric Potential Energy In Joules.
From joirykaeq.blob.core.windows.net
What Type Of Energy Is Found On The Sun at Glenna Randall blog Electric Potential Energy In Joules The energy of the electron in. The si unit of energy is the joule, named for james joule, the english brewer turned physicist who determined that heat and electricity were. When a conservative force does negative work, the. Define electric potential, voltage, and potential difference; 9 rows in short, an electric potential is the electric potential energy per unit charge.. Electric Potential Energy In Joules.
From www.numerade.com
SOLVEDAn electric field does 1.50 ×10^3 eV of work on a carbon nucleus Electric Potential Energy In Joules Define electric potential, voltage, and potential difference; The energy of the electron in. We use the letter u to denote electric potential energy, which has units of joules (j). It is measured in terms of joules and. When a conservative force does negative work, the system gains potential energy. Calculate electric potential and potential difference from potential energy and electric. Electric Potential Energy In Joules.
From www.wikihow.it
5 Modi per Calcolare i Joule wikiHow Electric Potential Energy In Joules Electric potential energy is a scalar quantity and possesses only magnitude and no direction. The si unit of energy is the joule, named for james joule, the english brewer turned physicist who determined that heat and electricity were. When a conservative force does negative work, the. When a conservative force does negative work, the system gains potential energy. We use. Electric Potential Energy In Joules.
From studylib.net
Electric Potential Difference Electric Potential Energy In Joules It is measured in terms of joules and. Define electric potential, voltage, and potential difference; When a conservative force does negative work, the system gains potential energy. A typical electron gun accelerates electrons using a potential difference between two metal plates. Calculate electric potential and potential difference from potential energy and electric field; The si unit of energy is the. Electric Potential Energy In Joules.
From www.youtube.com
Electric Potential Energy YouTube Electric Potential Energy In Joules The si unit of energy is the joule, named for james joule, the english brewer turned physicist who determined that heat and electricity were. Electric potential energy is a scalar quantity and possesses only magnitude and no direction. When a conservative force does negative work, the. A typical electron gun accelerates electrons using a potential difference between two metal plates.. Electric Potential Energy In Joules.
From studylib.net
ELECTRIC POTENTIALENERGY (U) and the ELECTRIC Electric Potential Energy In Joules When a conservative force does negative work, the system gains potential energy. Calculate electric potential and potential difference from potential energy and electric field; It is measured in terms of joules and. Electric potential energy is a scalar quantity and possesses only magnitude and no direction. We use the letter u to denote electric potential energy, which has units of. Electric Potential Energy In Joules.
From www.numerade.com
SOLVED Q3) 3pts What is the electric potential energy of the group of Electric Potential Energy In Joules It is measured in terms of joules and. We use the letter u to denote electric potential energy, which has units of joules (j). When a conservative force does negative work, the system gains potential energy. Calculate electric potential and potential difference from potential energy and electric field; The energy of the electron in. We use the letter u to. Electric Potential Energy In Joules.
From slideplayer.com
Electric Potential difference ppt download Electric Potential Energy In Joules The si unit of energy is the joule, named for james joule, the english brewer turned physicist who determined that heat and electricity were. Calculate electric potential and potential difference from potential energy and electric field; It is measured in terms of joules and. Electric potential energy is a scalar quantity and possesses only magnitude and no direction. We use. Electric Potential Energy In Joules.
From www.numerade.com
SOLVED 3. Three charges as shown in the picture aCalculate the Electric Potential Energy In Joules Calculate electric potential and potential difference from potential energy and electric field; When a conservative force does negative work, the system gains potential energy. 9 rows in short, an electric potential is the electric potential energy per unit charge. It is measured in terms of joules and. Define electric potential, voltage, and potential difference; The energy of the electron in.. Electric Potential Energy In Joules.
From www.youtube.com
Electric Potential Electric Potential Energy General Physics 2 Electric Potential Energy In Joules We use the letter u to denote electric potential energy, which has units of joules (j). When a conservative force does negative work, the. It is measured in terms of joules and. A typical electron gun accelerates electrons using a potential difference between two metal plates. The si unit of energy is the joule, named for james joule, the english. Electric Potential Energy In Joules.
From www.slideserve.com
PPT Electric Potential PowerPoint Presentation, free download ID Electric Potential Energy In Joules The si unit of energy is the joule, named for james joule, the english brewer turned physicist who determined that heat and electricity were. A typical electron gun accelerates electrons using a potential difference between two metal plates. It is measured in terms of joules and. 9 rows in short, an electric potential is the electric potential energy per unit. Electric Potential Energy In Joules.
From slideplayer.com
Electrical Energy and Potential ppt download Electric Potential Energy In Joules A typical electron gun accelerates electrons using a potential difference between two metal plates. The energy of the electron in. We use the letter u to denote electric potential energy, which has units of joules (j). Calculate electric potential and potential difference from potential energy and electric field; The si unit of energy is the joule, named for james joule,. Electric Potential Energy In Joules.
From www.studocu.com
Formula IN Electric Potential Energy FORMULA IN ELECTRIC POTENTIAL Electric Potential Energy In Joules The si unit of energy is the joule, named for james joule, the english brewer turned physicist who determined that heat and electricity were. Define electric potential, voltage, and potential difference; Electric potential energy is a scalar quantity and possesses only magnitude and no direction. 9 rows in short, an electric potential is the electric potential energy per unit charge.. Electric Potential Energy In Joules.
From www.slideserve.com
PPT Electrical Energy and Electric Potential PowerPoint Presentation Electric Potential Energy In Joules The si unit of energy is the joule, named for james joule, the english brewer turned physicist who determined that heat and electricity were. When a conservative force does negative work, the. The energy of the electron in. We use the letter u to denote electric potential energy, which has units of joules (j). It is measured in terms of. Electric Potential Energy In Joules.
From studylib.net
Ch 17 Electric Potential Electric Potential Energy In Joules When a conservative force does negative work, the. We use the letter u to denote electric potential energy, which has units of joules (j). Define electric potential, voltage, and potential difference; It is measured in terms of joules and. We use the letter u to denote electric potential energy, which has units of joules (j). A typical electron gun accelerates. Electric Potential Energy In Joules.
From slideplayer.com
Aim How do we explain electric potential difference (or Voltage Electric Potential Energy In Joules A typical electron gun accelerates electrons using a potential difference between two metal plates. Define electric potential, voltage, and potential difference; When a conservative force does negative work, the. Electric potential energy is a scalar quantity and possesses only magnitude and no direction. The si unit of energy is the joule, named for james joule, the english brewer turned physicist. Electric Potential Energy In Joules.
From slideplayer.com
Physics 102 Lecture 3 Electric Potential Energy & Electric Potential Electric Potential Energy In Joules Define electric potential, voltage, and potential difference; A typical electron gun accelerates electrons using a potential difference between two metal plates. We use the letter u to denote electric potential energy, which has units of joules (j). Calculate electric potential and potential difference from potential energy and electric field; The energy of the electron in. When a conservative force does. Electric Potential Energy In Joules.
From studylib.net
Electric power and Joule heating Electric Potential Energy In Joules 9 rows in short, an electric potential is the electric potential energy per unit charge. The si unit of energy is the joule, named for james joule, the english brewer turned physicist who determined that heat and electricity were. Electric potential energy is a scalar quantity and possesses only magnitude and no direction. We use the letter u to denote. Electric Potential Energy In Joules.
From www.youtube.com
Electrical Energy and Joules law, Physics Lecture Sabaq.pk YouTube Electric Potential Energy In Joules We use the letter u to denote electric potential energy, which has units of joules (j). A typical electron gun accelerates electrons using a potential difference between two metal plates. The si unit of energy is the joule, named for james joule, the english brewer turned physicist who determined that heat and electricity were. When a conservative force does negative. Electric Potential Energy In Joules.
From slideplayer.com
Electric Potential. ppt download Electric Potential Energy In Joules Calculate electric potential and potential difference from potential energy and electric field; Electric potential energy is a scalar quantity and possesses only magnitude and no direction. We use the letter u to denote electric potential energy, which has units of joules (j). Define electric potential, voltage, and potential difference; The si unit of energy is the joule, named for james. Electric Potential Energy In Joules.
From ecurrencythailand.com
What Is The Electrostatic Potential Energy Between An Electron And A Electric Potential Energy In Joules We use the letter u to denote electric potential energy, which has units of joules (j). We use the letter u to denote electric potential energy, which has units of joules (j). When a conservative force does negative work, the system gains potential energy. A typical electron gun accelerates electrons using a potential difference between two metal plates. It is. Electric Potential Energy In Joules.
From www.slideserve.com
PPT Physics 2113 Lecture 12 PowerPoint Presentation, free download Electric Potential Energy In Joules It is measured in terms of joules and. Calculate electric potential and potential difference from potential energy and electric field; Define electric potential, voltage, and potential difference; The energy of the electron in. Electric potential energy is a scalar quantity and possesses only magnitude and no direction. A typical electron gun accelerates electrons using a potential difference between two metal. Electric Potential Energy In Joules.
From www.youtube.com
E&M Course 44 Electric Potential Energy of a System of Point Charges Electric Potential Energy In Joules A typical electron gun accelerates electrons using a potential difference between two metal plates. Define electric potential, voltage, and potential difference; Calculate electric potential and potential difference from potential energy and electric field; When a conservative force does negative work, the system gains potential energy. 9 rows in short, an electric potential is the electric potential energy per unit charge.. Electric Potential Energy In Joules.
From www.thesciencehive.co.uk
Energy and Voltage in Circuits — the science hive Electric Potential Energy In Joules A typical electron gun accelerates electrons using a potential difference between two metal plates. The energy of the electron in. We use the letter u to denote electric potential energy, which has units of joules (j). The si unit of energy is the joule, named for james joule, the english brewer turned physicist who determined that heat and electricity were.. Electric Potential Energy In Joules.