Alabama Statute Of Limitations Discovery Rule . Parties may obtain discovery regarding any matter, not privileged, which is: As a general rule, the statute of limitations on medical malpractice lawsuits is two years from the date of the malpractice. Consult alabama’s statutes of limitations for your type of case to find the applicable time limit. There are times when a person is unable to discover that they have been injured. Under the statute, a cause of action is deemed to accrue, or arise, where the damage is latent “at the time the damage or injury is or in the. The discovery rule pauses the statute of limitations clock until the date the plaintiff discovers (or should have discovered). What is the discovery rule? The “discovery rule” is an exception to the statute of limitations that extends the deadline for filing a case based on the time it. (i) relevant to the subject matter involved in the pending action,. As a result, in some.
from klansucuk.blob.core.windows.net
The “discovery rule” is an exception to the statute of limitations that extends the deadline for filing a case based on the time it. (i) relevant to the subject matter involved in the pending action,. As a general rule, the statute of limitations on medical malpractice lawsuits is two years from the date of the malpractice. As a result, in some. There are times when a person is unable to discover that they have been injured. The discovery rule pauses the statute of limitations clock until the date the plaintiff discovers (or should have discovered). Parties may obtain discovery regarding any matter, not privileged, which is: Under the statute, a cause of action is deemed to accrue, or arise, where the damage is latent “at the time the damage or injury is or in the. What is the discovery rule? Consult alabama’s statutes of limitations for your type of case to find the applicable time limit.
Statute Of Limitations Chart For All States at Tina Bolden blog
Alabama Statute Of Limitations Discovery Rule Consult alabama’s statutes of limitations for your type of case to find the applicable time limit. As a result, in some. Under the statute, a cause of action is deemed to accrue, or arise, where the damage is latent “at the time the damage or injury is or in the. Consult alabama’s statutes of limitations for your type of case to find the applicable time limit. The “discovery rule” is an exception to the statute of limitations that extends the deadline for filing a case based on the time it. As a general rule, the statute of limitations on medical malpractice lawsuits is two years from the date of the malpractice. There are times when a person is unable to discover that they have been injured. What is the discovery rule? Parties may obtain discovery regarding any matter, not privileged, which is: The discovery rule pauses the statute of limitations clock until the date the plaintiff discovers (or should have discovered). (i) relevant to the subject matter involved in the pending action,.
From trulaw.com
Alabama Statute Of Limitations Alabama Statute Of Limitations Discovery Rule The discovery rule pauses the statute of limitations clock until the date the plaintiff discovers (or should have discovered). What is the discovery rule? Under the statute, a cause of action is deemed to accrue, or arise, where the damage is latent “at the time the damage or injury is or in the. As a result, in some. Consult alabama’s. Alabama Statute Of Limitations Discovery Rule.
From klakahlyo.blob.core.windows.net
Statute Of Limitations Alabama Small Claims Court at Braxton blog Alabama Statute Of Limitations Discovery Rule As a result, in some. The “discovery rule” is an exception to the statute of limitations that extends the deadline for filing a case based on the time it. There are times when a person is unable to discover that they have been injured. Consult alabama’s statutes of limitations for your type of case to find the applicable time limit.. Alabama Statute Of Limitations Discovery Rule.
From dxoxddzyn.blob.core.windows.net
Alabama Statute Of Limitations Motor Vehicle Accident at Willie Donald blog Alabama Statute Of Limitations Discovery Rule Under the statute, a cause of action is deemed to accrue, or arise, where the damage is latent “at the time the damage or injury is or in the. (i) relevant to the subject matter involved in the pending action,. The discovery rule pauses the statute of limitations clock until the date the plaintiff discovers (or should have discovered). As. Alabama Statute Of Limitations Discovery Rule.
From slideplayer.com
Statutes of Limitations ppt download Alabama Statute Of Limitations Discovery Rule (i) relevant to the subject matter involved in the pending action,. The “discovery rule” is an exception to the statute of limitations that extends the deadline for filing a case based on the time it. What is the discovery rule? Consult alabama’s statutes of limitations for your type of case to find the applicable time limit. There are times when. Alabama Statute Of Limitations Discovery Rule.
From slideplayer.com
Negligence Defenses. ppt download Alabama Statute Of Limitations Discovery Rule Under the statute, a cause of action is deemed to accrue, or arise, where the damage is latent “at the time the damage or injury is or in the. There are times when a person is unable to discover that they have been injured. The “discovery rule” is an exception to the statute of limitations that extends the deadline for. Alabama Statute Of Limitations Discovery Rule.
From reasonoverlaw.com
Statute of Limitations How the Discovery Rule Affects My Car Accident Case Alabama Statute Of Limitations Discovery Rule Under the statute, a cause of action is deemed to accrue, or arise, where the damage is latent “at the time the damage or injury is or in the. The discovery rule pauses the statute of limitations clock until the date the plaintiff discovers (or should have discovered). As a general rule, the statute of limitations on medical malpractice lawsuits. Alabama Statute Of Limitations Discovery Rule.
From www.pinterest.com
The Statute of Limitations in Alabama Alabama, Personal injury, Person Alabama Statute Of Limitations Discovery Rule The “discovery rule” is an exception to the statute of limitations that extends the deadline for filing a case based on the time it. As a result, in some. The discovery rule pauses the statute of limitations clock until the date the plaintiff discovers (or should have discovered). Parties may obtain discovery regarding any matter, not privileged, which is: What. Alabama Statute Of Limitations Discovery Rule.
From rayneslaw.com
Understanding the Statute of Limitations for Medical Malpractice Alabama Statute Of Limitations Discovery Rule (i) relevant to the subject matter involved in the pending action,. The discovery rule pauses the statute of limitations clock until the date the plaintiff discovers (or should have discovered). Parties may obtain discovery regarding any matter, not privileged, which is: As a general rule, the statute of limitations on medical malpractice lawsuits is two years from the date of. Alabama Statute Of Limitations Discovery Rule.
From www.alabamainjurylawyer.com
Alabama Medical Malpractice Statute Of Limitations Belt, Bruner Alabama Statute Of Limitations Discovery Rule There are times when a person is unable to discover that they have been injured. What is the discovery rule? As a result, in some. Consult alabama’s statutes of limitations for your type of case to find the applicable time limit. As a general rule, the statute of limitations on medical malpractice lawsuits is two years from the date of. Alabama Statute Of Limitations Discovery Rule.
From www.scribd.com
Cta 2D Co 00728 R 2019oct22 VTC PDF Statute Of Limitations Alabama Statute Of Limitations Discovery Rule (i) relevant to the subject matter involved in the pending action,. As a result, in some. The “discovery rule” is an exception to the statute of limitations that extends the deadline for filing a case based on the time it. What is the discovery rule? Under the statute, a cause of action is deemed to accrue, or arise, where the. Alabama Statute Of Limitations Discovery Rule.
From burgerlaw.com
National Statutes of Limitations Burger Law Alabama Statute Of Limitations Discovery Rule There are times when a person is unable to discover that they have been injured. (i) relevant to the subject matter involved in the pending action,. What is the discovery rule? Under the statute, a cause of action is deemed to accrue, or arise, where the damage is latent “at the time the damage or injury is or in the.. Alabama Statute Of Limitations Discovery Rule.
From klakahlyo.blob.core.windows.net
Statute Of Limitations Alabama Small Claims Court at Braxton blog Alabama Statute Of Limitations Discovery Rule The “discovery rule” is an exception to the statute of limitations that extends the deadline for filing a case based on the time it. Under the statute, a cause of action is deemed to accrue, or arise, where the damage is latent “at the time the damage or injury is or in the. (i) relevant to the subject matter involved. Alabama Statute Of Limitations Discovery Rule.
From www.ericwilsonlaw.com
Statute of Limitations on Debt in Alabama Eric Wilson Law Alabama Statute Of Limitations Discovery Rule Consult alabama’s statutes of limitations for your type of case to find the applicable time limit. The “discovery rule” is an exception to the statute of limitations that extends the deadline for filing a case based on the time it. (i) relevant to the subject matter involved in the pending action,. Parties may obtain discovery regarding any matter, not privileged,. Alabama Statute Of Limitations Discovery Rule.
From www.youtube.com
Alabama Legislators Could Extend Child Sexual Assault Statute of Alabama Statute Of Limitations Discovery Rule There are times when a person is unable to discover that they have been injured. As a general rule, the statute of limitations on medical malpractice lawsuits is two years from the date of the malpractice. Under the statute, a cause of action is deemed to accrue, or arise, where the damage is latent “at the time the damage or. Alabama Statute Of Limitations Discovery Rule.
From klakahlyo.blob.core.windows.net
Statute Of Limitations Alabama Small Claims Court at Braxton blog Alabama Statute Of Limitations Discovery Rule (i) relevant to the subject matter involved in the pending action,. The discovery rule pauses the statute of limitations clock until the date the plaintiff discovers (or should have discovered). The “discovery rule” is an exception to the statute of limitations that extends the deadline for filing a case based on the time it. As a general rule, the statute. Alabama Statute Of Limitations Discovery Rule.
From www.youtube.com
What is the Difference between Statutes of Limitation and the Alabama Statute Of Limitations Discovery Rule Consult alabama’s statutes of limitations for your type of case to find the applicable time limit. As a result, in some. The discovery rule pauses the statute of limitations clock until the date the plaintiff discovers (or should have discovered). Under the statute, a cause of action is deemed to accrue, or arise, where the damage is latent “at the. Alabama Statute Of Limitations Discovery Rule.
From ogletree.com
Supreme Court Generally Disapproves of a DiscoveryRule Exception to Alabama Statute Of Limitations Discovery Rule There are times when a person is unable to discover that they have been injured. Under the statute, a cause of action is deemed to accrue, or arise, where the damage is latent “at the time the damage or injury is or in the. What is the discovery rule? As a result, in some. (i) relevant to the subject matter. Alabama Statute Of Limitations Discovery Rule.
From joivgqhiy.blob.core.windows.net
What Does The Statute Of Limitations Not Apply To at Wayne Herman blog Alabama Statute Of Limitations Discovery Rule Parties may obtain discovery regarding any matter, not privileged, which is: As a result, in some. The “discovery rule” is an exception to the statute of limitations that extends the deadline for filing a case based on the time it. There are times when a person is unable to discover that they have been injured. What is the discovery rule?. Alabama Statute Of Limitations Discovery Rule.
From www.schachtelaw.com
Exceptions to the Statute of Limitations The Discovery Rule Law Alabama Statute Of Limitations Discovery Rule As a result, in some. Consult alabama’s statutes of limitations for your type of case to find the applicable time limit. (i) relevant to the subject matter involved in the pending action,. The discovery rule pauses the statute of limitations clock until the date the plaintiff discovers (or should have discovered). There are times when a person is unable to. Alabama Statute Of Limitations Discovery Rule.
From www.scribd.com
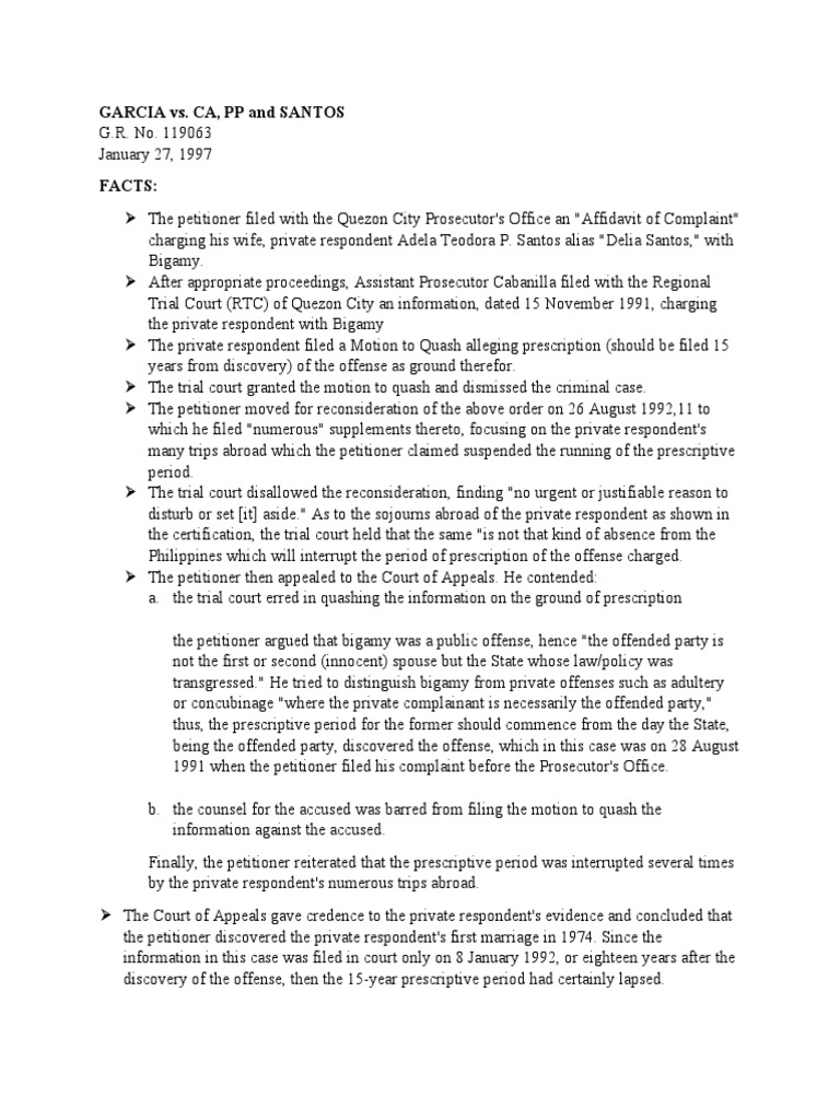
Motion To Quash GARCIA vs. CA PP and SANTOS PDF Statute Of Alabama Statute Of Limitations Discovery Rule As a result, in some. Parties may obtain discovery regarding any matter, not privileged, which is: As a general rule, the statute of limitations on medical malpractice lawsuits is two years from the date of the malpractice. (i) relevant to the subject matter involved in the pending action,. There are times when a person is unable to discover that they. Alabama Statute Of Limitations Discovery Rule.
From www.theadvocatemagazine.com
Unwinding the statuteoflimitations clock Alabama Statute Of Limitations Discovery Rule As a result, in some. As a general rule, the statute of limitations on medical malpractice lawsuits is two years from the date of the malpractice. What is the discovery rule? (i) relevant to the subject matter involved in the pending action,. There are times when a person is unable to discover that they have been injured. Parties may obtain. Alabama Statute Of Limitations Discovery Rule.
From www.youtube.com
What is the statute of limitations on Credit Card debt in Alabama YouTube Alabama Statute Of Limitations Discovery Rule Under the statute, a cause of action is deemed to accrue, or arise, where the damage is latent “at the time the damage or injury is or in the. As a result, in some. What is the discovery rule? (i) relevant to the subject matter involved in the pending action,. The discovery rule pauses the statute of limitations clock until. Alabama Statute Of Limitations Discovery Rule.
From www.enjuris.com
Alabama Civil Statutes of Limitation Laws Alabama Statute Of Limitations Discovery Rule The “discovery rule” is an exception to the statute of limitations that extends the deadline for filing a case based on the time it. There are times when a person is unable to discover that they have been injured. Under the statute, a cause of action is deemed to accrue, or arise, where the damage is latent “at the time. Alabama Statute Of Limitations Discovery Rule.
From martinhelms.com
Statute of Limitations in Alabama Injury Claims Discovery Rule Alabama Statute Of Limitations Discovery Rule What is the discovery rule? (i) relevant to the subject matter involved in the pending action,. Parties may obtain discovery regarding any matter, not privileged, which is: The discovery rule pauses the statute of limitations clock until the date the plaintiff discovers (or should have discovered). The “discovery rule” is an exception to the statute of limitations that extends the. Alabama Statute Of Limitations Discovery Rule.
From klansucuk.blob.core.windows.net
Statute Of Limitations Chart For All States at Tina Bolden blog Alabama Statute Of Limitations Discovery Rule There are times when a person is unable to discover that they have been injured. The discovery rule pauses the statute of limitations clock until the date the plaintiff discovers (or should have discovered). Under the statute, a cause of action is deemed to accrue, or arise, where the damage is latent “at the time the damage or injury is. Alabama Statute Of Limitations Discovery Rule.
From www.slideserve.com
PPT Ch. 7 Defenses & Obstacles to Recovery PowerPoint Presentation Alabama Statute Of Limitations Discovery Rule The discovery rule pauses the statute of limitations clock until the date the plaintiff discovers (or should have discovered). There are times when a person is unable to discover that they have been injured. What is the discovery rule? Under the statute, a cause of action is deemed to accrue, or arise, where the damage is latent “at the time. Alabama Statute Of Limitations Discovery Rule.
From callfob.com
Alabama Wrongful Death Statute of Limitations Fob James Law Firm Alabama Statute Of Limitations Discovery Rule What is the discovery rule? (i) relevant to the subject matter involved in the pending action,. Parties may obtain discovery regarding any matter, not privileged, which is: The discovery rule pauses the statute of limitations clock until the date the plaintiff discovers (or should have discovered). Under the statute, a cause of action is deemed to accrue, or arise, where. Alabama Statute Of Limitations Discovery Rule.
From www.adamjoneslaw.com
Time limit for Filing an Injury Claim in Alabama Statute of Limitations Alabama Statute Of Limitations Discovery Rule Consult alabama’s statutes of limitations for your type of case to find the applicable time limit. (i) relevant to the subject matter involved in the pending action,. As a general rule, the statute of limitations on medical malpractice lawsuits is two years from the date of the malpractice. What is the discovery rule? Under the statute, a cause of action. Alabama Statute Of Limitations Discovery Rule.
From slideplayer.com
Medical Law and Ethics Chapter 6 ppt download Alabama Statute Of Limitations Discovery Rule The “discovery rule” is an exception to the statute of limitations that extends the deadline for filing a case based on the time it. The discovery rule pauses the statute of limitations clock until the date the plaintiff discovers (or should have discovered). As a result, in some. What is the discovery rule? As a general rule, the statute of. Alabama Statute Of Limitations Discovery Rule.
From stokesstemle.com
Alabama Statute of Limitations Stokes Stemle, LLC Alabama Statute Of Limitations Discovery Rule Parties may obtain discovery regarding any matter, not privileged, which is: The discovery rule pauses the statute of limitations clock until the date the plaintiff discovers (or should have discovered). (i) relevant to the subject matter involved in the pending action,. Under the statute, a cause of action is deemed to accrue, or arise, where the damage is latent “at. Alabama Statute Of Limitations Discovery Rule.
From dxoxddzyn.blob.core.windows.net
Alabama Statute Of Limitations Motor Vehicle Accident at Willie Donald blog Alabama Statute Of Limitations Discovery Rule Parties may obtain discovery regarding any matter, not privileged, which is: What is the discovery rule? (i) relevant to the subject matter involved in the pending action,. As a general rule, the statute of limitations on medical malpractice lawsuits is two years from the date of the malpractice. The discovery rule pauses the statute of limitations clock until the date. Alabama Statute Of Limitations Discovery Rule.
From maddinhauser.com
Mortgage Servicers Catch A Break Third Circuit Finds Discovery Rule Alabama Statute Of Limitations Discovery Rule The “discovery rule” is an exception to the statute of limitations that extends the deadline for filing a case based on the time it. Under the statute, a cause of action is deemed to accrue, or arise, where the damage is latent “at the time the damage or injury is or in the. What is the discovery rule? As a. Alabama Statute Of Limitations Discovery Rule.
From klakahlyo.blob.core.windows.net
Statute Of Limitations Alabama Small Claims Court at Braxton blog Alabama Statute Of Limitations Discovery Rule Under the statute, a cause of action is deemed to accrue, or arise, where the damage is latent “at the time the damage or injury is or in the. Consult alabama’s statutes of limitations for your type of case to find the applicable time limit. The “discovery rule” is an exception to the statute of limitations that extends the deadline. Alabama Statute Of Limitations Discovery Rule.
From www.scribd.com
Case Digest PDF Statute Of Limitations Discovery (Law) Alabama Statute Of Limitations Discovery Rule What is the discovery rule? There are times when a person is unable to discover that they have been injured. As a general rule, the statute of limitations on medical malpractice lawsuits is two years from the date of the malpractice. Consult alabama’s statutes of limitations for your type of case to find the applicable time limit. Parties may obtain. Alabama Statute Of Limitations Discovery Rule.
From www.druganddevicelawblog.com
Discovery Rule Rules the Day on Statute of Limitations Motion to Alabama Statute Of Limitations Discovery Rule Consult alabama’s statutes of limitations for your type of case to find the applicable time limit. (i) relevant to the subject matter involved in the pending action,. Parties may obtain discovery regarding any matter, not privileged, which is: As a general rule, the statute of limitations on medical malpractice lawsuits is two years from the date of the malpractice. As. Alabama Statute Of Limitations Discovery Rule.