How To Determine Fillet Radius . The idea of the fillet is that it connects the two. If it's a simple 90 degree radius curve/fillet, those values should be the same and should be equal to the radius. The proper way to make this measurement accurately is with a set of radius gauges. A fillet is indicated on a drawing in the same way as a round, illustrated in figure 2, with a dimension that includes the radius symbol and radius length. The fillet radius can be calculated using the formula: They are a set of know concave and. In the general case, you have two circles, one centered at (x1, y1) with radius r1, and the other centered at (x2, y2) with radius r2, and you want a fillet of radius r. You could also try finding the center. The fillet radius is calculated using the following formula: Learn more about fillets and rounds in.
from www.printables.com
The fillet radius is calculated using the following formula: The proper way to make this measurement accurately is with a set of radius gauges. The fillet radius can be calculated using the formula: In the general case, you have two circles, one centered at (x1, y1) with radius r1, and the other centered at (x2, y2) with radius r2, and you want a fillet of radius r. If it's a simple 90 degree radius curve/fillet, those values should be the same and should be equal to the radius. They are a set of know concave and. The idea of the fillet is that it connects the two. A fillet is indicated on a drawing in the same way as a round, illustrated in figure 2, with a dimension that includes the radius symbol and radius length. Learn more about fillets and rounds in. You could also try finding the center.
Fillet Radius Gauges (External) Metric by DatumCAD Download free STL
How To Determine Fillet Radius The idea of the fillet is that it connects the two. Learn more about fillets and rounds in. The proper way to make this measurement accurately is with a set of radius gauges. If it's a simple 90 degree radius curve/fillet, those values should be the same and should be equal to the radius. You could also try finding the center. They are a set of know concave and. The fillet radius is calculated using the following formula: A fillet is indicated on a drawing in the same way as a round, illustrated in figure 2, with a dimension that includes the radius symbol and radius length. In the general case, you have two circles, one centered at (x1, y1) with radius r1, and the other centered at (x2, y2) with radius r2, and you want a fillet of radius r. The fillet radius can be calculated using the formula: The idea of the fillet is that it connects the two.
From www.printables.com
Fillet Radius Gauges (External) Metric by DatumCAD Download free STL How To Determine Fillet Radius They are a set of know concave and. The idea of the fillet is that it connects the two. In the general case, you have two circles, one centered at (x1, y1) with radius r1, and the other centered at (x2, y2) with radius r2, and you want a fillet of radius r. Learn more about fillets and rounds in.. How To Determine Fillet Radius.
From www.engineersrule.com
An Advanced Breakdown of the SOLIDWORKS Fillet Feature Tool Engineers How To Determine Fillet Radius In the general case, you have two circles, one centered at (x1, y1) with radius r1, and the other centered at (x2, y2) with radius r2, and you want a fillet of radius r. The proper way to make this measurement accurately is with a set of radius gauges. They are a set of know concave and. The idea of. How To Determine Fillet Radius.
From www.youtube.com
RADIUS GAUGES FILLET GAUGES MATERIAL AND FUNCTION (हिंदी में How To Determine Fillet Radius They are a set of know concave and. The idea of the fillet is that it connects the two. Learn more about fillets and rounds in. You could also try finding the center. In the general case, you have two circles, one centered at (x1, y1) with radius r1, and the other centered at (x2, y2) with radius r2, and. How To Determine Fillet Radius.
From www.youtube.com
Variable Radius Fillet Catia V5 Tutorial YouTube How To Determine Fillet Radius The idea of the fillet is that it connects the two. If it's a simple 90 degree radius curve/fillet, those values should be the same and should be equal to the radius. The fillet radius can be calculated using the formula: The proper way to make this measurement accurately is with a set of radius gauges. A fillet is indicated. How To Determine Fillet Radius.
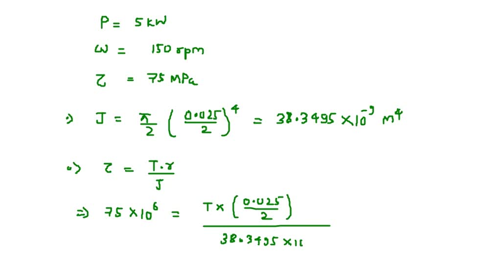
From www.numerade.com
SOLVEDKnowing that the stepped shaft shown must transmit 45 kW at a How To Determine Fillet Radius The proper way to make this measurement accurately is with a set of radius gauges. In the general case, you have two circles, one centered at (x1, y1) with radius r1, and the other centered at (x2, y2) with radius r2, and you want a fillet of radius r. The fillet radius can be calculated using the formula: The fillet. How To Determine Fillet Radius.
From grabcad.com
What is a variable radius fillet in SW and how do I make one? GrabCAD How To Determine Fillet Radius They are a set of know concave and. The fillet radius can be calculated using the formula: The idea of the fillet is that it connects the two. The fillet radius is calculated using the following formula: In the general case, you have two circles, one centered at (x1, y1) with radius r1, and the other centered at (x2, y2). How To Determine Fillet Radius.
From www.printables.com
External Fillet Radius Gauge (remixed for competition) by DatumCAD How To Determine Fillet Radius They are a set of know concave and. A fillet is indicated on a drawing in the same way as a round, illustrated in figure 2, with a dimension that includes the radius symbol and radius length. The fillet radius can be calculated using the formula: In the general case, you have two circles, one centered at (x1, y1) with. How To Determine Fillet Radius.
From math.stackexchange.com
geometry Calculate fillet radius Mathematics Stack Exchange How To Determine Fillet Radius Learn more about fillets and rounds in. You could also try finding the center. In the general case, you have two circles, one centered at (x1, y1) with radius r1, and the other centered at (x2, y2) with radius r2, and you want a fillet of radius r. The idea of the fillet is that it connects the two. The. How To Determine Fillet Radius.
From help.kubotekkosmos.com
KeyCreator Help Constant Radius Fillet How To Determine Fillet Radius In the general case, you have two circles, one centered at (x1, y1) with radius r1, and the other centered at (x2, y2) with radius r2, and you want a fillet of radius r. The idea of the fillet is that it connects the two. You could also try finding the center. The proper way to make this measurement accurately. How To Determine Fillet Radius.
From tupuy.com
How To Change Fillet Radius In Autocad Printable Online How To Determine Fillet Radius A fillet is indicated on a drawing in the same way as a round, illustrated in figure 2, with a dimension that includes the radius symbol and radius length. Learn more about fillets and rounds in. The idea of the fillet is that it connects the two. The proper way to make this measurement accurately is with a set of. How To Determine Fillet Radius.
From extrudesign.com
Radius Gauges Fillet Gauges How to use Fillet Gauges? ExtruDesign How To Determine Fillet Radius The fillet radius is calculated using the following formula: Learn more about fillets and rounds in. The fillet radius can be calculated using the formula: If it's a simple 90 degree radius curve/fillet, those values should be the same and should be equal to the radius. In the general case, you have two circles, one centered at (x1, y1) with. How To Determine Fillet Radius.
From www.youtube.com
Abutment height and fillet radius BEARING & SHAFT YouTube How To Determine Fillet Radius The proper way to make this measurement accurately is with a set of radius gauges. The fillet radius can be calculated using the formula: Learn more about fillets and rounds in. If it's a simple 90 degree radius curve/fillet, those values should be the same and should be equal to the radius. They are a set of know concave and.. How To Determine Fillet Radius.
From www.researchgate.net
Comparison of fillet radius obtained by experiment and numerical How To Determine Fillet Radius Learn more about fillets and rounds in. If it's a simple 90 degree radius curve/fillet, those values should be the same and should be equal to the radius. The fillet radius can be calculated using the formula: The idea of the fillet is that it connects the two. In the general case, you have two circles, one centered at (x1,. How To Determine Fillet Radius.
From www.cadtutor.net
Large Fillet radius AutoCAD General AutoCAD Forums How To Determine Fillet Radius A fillet is indicated on a drawing in the same way as a round, illustrated in figure 2, with a dimension that includes the radius symbol and radius length. You could also try finding the center. The proper way to make this measurement accurately is with a set of radius gauges. They are a set of know concave and. The. How To Determine Fillet Radius.
From www.youtube.com
RADIUS GAUGE AND FILLET GAUGE RADIUS GAUGE FILLET GAUGE HOW TO How To Determine Fillet Radius They are a set of know concave and. In the general case, you have two circles, one centered at (x1, y1) with radius r1, and the other centered at (x2, y2) with radius r2, and you want a fillet of radius r. The fillet radius is calculated using the following formula: The proper way to make this measurement accurately is. How To Determine Fillet Radius.
From www.cwbgroup.org
How It Works How do you determine the adequate size of a fillet weld How To Determine Fillet Radius The fillet radius is calculated using the following formula: You could also try finding the center. The proper way to make this measurement accurately is with a set of radius gauges. The fillet radius can be calculated using the formula: They are a set of know concave and. The idea of the fillet is that it connects the two. If. How To Determine Fillet Radius.
From forum.onshape.com
How does the 'radius' value mathematically effect a circular fillet How To Determine Fillet Radius If it's a simple 90 degree radius curve/fillet, those values should be the same and should be equal to the radius. The proper way to make this measurement accurately is with a set of radius gauges. The fillet radius is calculated using the following formula: Learn more about fillets and rounds in. A fillet is indicated on a drawing in. How To Determine Fillet Radius.
From www.youtube.com
[English] Fillet Weld Joint Size & Shape YouTube How To Determine Fillet Radius In the general case, you have two circles, one centered at (x1, y1) with radius r1, and the other centered at (x2, y2) with radius r2, and you want a fillet of radius r. You could also try finding the center. A fillet is indicated on a drawing in the same way as a round, illustrated in figure 2, with. How To Determine Fillet Radius.
From www.researchgate.net
Fillet radius determination algorithm. Download Scientific Diagram How To Determine Fillet Radius If it's a simple 90 degree radius curve/fillet, those values should be the same and should be equal to the radius. The proper way to make this measurement accurately is with a set of radius gauges. The idea of the fillet is that it connects the two. A fillet is indicated on a drawing in the same way as a. How To Determine Fillet Radius.
From www.printables.com
External Fillet Radius Gauge (remixed for competition) por DatumCAD How To Determine Fillet Radius Learn more about fillets and rounds in. If it's a simple 90 degree radius curve/fillet, those values should be the same and should be equal to the radius. You could also try finding the center. The fillet radius is calculated using the following formula: They are a set of know concave and. The idea of the fillet is that it. How To Determine Fillet Radius.
From www.chegg.com
Solved 432 A 12mm Thick Flat Bar Has A Fillet With A Ra... How To Determine Fillet Radius A fillet is indicated on a drawing in the same way as a round, illustrated in figure 2, with a dimension that includes the radius symbol and radius length. The fillet radius can be calculated using the formula: The fillet radius is calculated using the following formula: They are a set of know concave and. The idea of the fillet. How To Determine Fillet Radius.
From www.printables.com
Fillet Radius Gauges (External) Metric by DatumCAD Download free STL How To Determine Fillet Radius If it's a simple 90 degree radius curve/fillet, those values should be the same and should be equal to the radius. The fillet radius is calculated using the following formula: The proper way to make this measurement accurately is with a set of radius gauges. The fillet radius can be calculated using the formula: You could also try finding the. How To Determine Fillet Radius.
From www.youtube.com
Measuring Fillets YouTube How To Determine Fillet Radius You could also try finding the center. Learn more about fillets and rounds in. If it's a simple 90 degree radius curve/fillet, those values should be the same and should be equal to the radius. The idea of the fillet is that it connects the two. A fillet is indicated on a drawing in the same way as a round,. How To Determine Fillet Radius.
From www.eng-tips.com
Measure Fillet Radius on FEMAP Siemens Femap EngTips How To Determine Fillet Radius You could also try finding the center. The proper way to make this measurement accurately is with a set of radius gauges. The idea of the fillet is that it connects the two. Learn more about fillets and rounds in. The fillet radius can be calculated using the formula: The fillet radius is calculated using the following formula: If it's. How To Determine Fillet Radius.
From www.printables.com
Fillet Radius Gauges (Metric) External by DatumCAD Download free STL How To Determine Fillet Radius The fillet radius can be calculated using the formula: The idea of the fillet is that it connects the two. In the general case, you have two circles, one centered at (x1, y1) with radius r1, and the other centered at (x2, y2) with radius r2, and you want a fillet of radius r. Learn more about fillets and rounds. How To Determine Fillet Radius.
From opentextbc.ca
Module 12 Fillets Introduction to Drafting and AutoCAD 2D How To Determine Fillet Radius The idea of the fillet is that it connects the two. If it's a simple 90 degree radius curve/fillet, those values should be the same and should be equal to the radius. They are a set of know concave and. The fillet radius can be calculated using the formula: The proper way to make this measurement accurately is with a. How To Determine Fillet Radius.
From www.semanticscholar.org
[PDF] Influence of weld toe radius and steel grade on the fatigue life How To Determine Fillet Radius You could also try finding the center. The fillet radius is calculated using the following formula: A fillet is indicated on a drawing in the same way as a round, illustrated in figure 2, with a dimension that includes the radius symbol and radius length. Learn more about fillets and rounds in. In the general case, you have two circles,. How To Determine Fillet Radius.
From thecontentauthority.com
Fillet vs Radius How Are These Words Connected? How To Determine Fillet Radius The fillet radius can be calculated using the formula: You could also try finding the center. A fillet is indicated on a drawing in the same way as a round, illustrated in figure 2, with a dimension that includes the radius symbol and radius length. In the general case, you have two circles, one centered at (x1, y1) with radius. How To Determine Fillet Radius.
From www.researchgate.net
Diagram of fillet radius of the composite tube Download Scientific How To Determine Fillet Radius The idea of the fillet is that it connects the two. The proper way to make this measurement accurately is with a set of radius gauges. Learn more about fillets and rounds in. The fillet radius is calculated using the following formula: You could also try finding the center. The fillet radius can be calculated using the formula: If it's. How To Determine Fillet Radius.
From www.chegg.com
Solved A stepped shaft has a fillet with a radius of 7.5^mm. How To Determine Fillet Radius They are a set of know concave and. The proper way to make this measurement accurately is with a set of radius gauges. Learn more about fillets and rounds in. If it's a simple 90 degree radius curve/fillet, those values should be the same and should be equal to the radius. A fillet is indicated on a drawing in the. How To Determine Fillet Radius.
From in.pinterest.com
Radius, Fillet, Bevel and Chamfer Explained! How To Determine Fillet Radius A fillet is indicated on a drawing in the same way as a round, illustrated in figure 2, with a dimension that includes the radius symbol and radius length. They are a set of know concave and. The idea of the fillet is that it connects the two. The proper way to make this measurement accurately is with a set. How To Determine Fillet Radius.
From www.chegg.com
Solved What are the fullfillet radius r and width d of the How To Determine Fillet Radius They are a set of know concave and. A fillet is indicated on a drawing in the same way as a round, illustrated in figure 2, with a dimension that includes the radius symbol and radius length. The fillet radius can be calculated using the formula: The idea of the fillet is that it connects the two. The proper way. How To Determine Fillet Radius.
From www.tableglassonline.co.uk
How to measure a Glass Table radius corner accurately first time How To Determine Fillet Radius The idea of the fillet is that it connects the two. The proper way to make this measurement accurately is with a set of radius gauges. They are a set of know concave and. In the general case, you have two circles, one centered at (x1, y1) with radius r1, and the other centered at (x2, y2) with radius r2,. How To Determine Fillet Radius.
From www.youtube.com
Multiple Radius Fillets in SolidWorks YouTube How To Determine Fillet Radius They are a set of know concave and. Learn more about fillets and rounds in. A fillet is indicated on a drawing in the same way as a round, illustrated in figure 2, with a dimension that includes the radius symbol and radius length. The proper way to make this measurement accurately is with a set of radius gauges. The. How To Determine Fillet Radius.
From www.researchgate.net
Fillet radius analysis. Download Scientific Diagram How To Determine Fillet Radius The fillet radius can be calculated using the formula: If it's a simple 90 degree radius curve/fillet, those values should be the same and should be equal to the radius. The idea of the fillet is that it connects the two. They are a set of know concave and. You could also try finding the center. Learn more about fillets. How To Determine Fillet Radius.