Drill Definition Psychology . We then identify techniques, examples. Behaviorist, cognitive, constructivist, social, and experiential. Deliberate practice (dp) occurs when an individual intentionally repeats an activity in order to improve performance. The methodical repitition of a physical or mental response used in learning. There are five basic types of learning theory: This section provides a brief introduction to. The methodical repetition of a physical or mental response or response sequence for the purpose of learning. In this article, we explore the definition of socratic questioning and how we apply it in education, cognitive behavioral therapy, and coaching. Drill and practice is a behaviorist aligned technique in which students are given the same materials repeatedly until mastery is achieved. The claim of the dp framework is that such. The term drill and practice is defined as a method of instruction characterized by systematic repetition of concepts, examples, and practice.
from www.academia.edu
The claim of the dp framework is that such. The term drill and practice is defined as a method of instruction characterized by systematic repetition of concepts, examples, and practice. In this article, we explore the definition of socratic questioning and how we apply it in education, cognitive behavioral therapy, and coaching. Deliberate practice (dp) occurs when an individual intentionally repeats an activity in order to improve performance. The methodical repitition of a physical or mental response used in learning. There are five basic types of learning theory: We then identify techniques, examples. The methodical repetition of a physical or mental response or response sequence for the purpose of learning. This section provides a brief introduction to. Drill and practice is a behaviorist aligned technique in which students are given the same materials repeatedly until mastery is achieved.
(DOC) definition of drill and practise Nut Suwanmani Academia.edu
Drill Definition Psychology This section provides a brief introduction to. Deliberate practice (dp) occurs when an individual intentionally repeats an activity in order to improve performance. This section provides a brief introduction to. The term drill and practice is defined as a method of instruction characterized by systematic repetition of concepts, examples, and practice. The methodical repetition of a physical or mental response or response sequence for the purpose of learning. There are five basic types of learning theory: Behaviorist, cognitive, constructivist, social, and experiential. The methodical repitition of a physical or mental response used in learning. We then identify techniques, examples. In this article, we explore the definition of socratic questioning and how we apply it in education, cognitive behavioral therapy, and coaching. Drill and practice is a behaviorist aligned technique in which students are given the same materials repeatedly until mastery is achieved. The claim of the dp framework is that such.
From framingnailersguide.com
The 32 Different Types of Drills and Their Uses in 2024 Drill Definition Psychology We then identify techniques, examples. There are five basic types of learning theory: Drill and practice is a behaviorist aligned technique in which students are given the same materials repeatedly until mastery is achieved. This section provides a brief introduction to. The term drill and practice is defined as a method of instruction characterized by systematic repetition of concepts, examples,. Drill Definition Psychology.
From www.youtube.com
USMLE Step 1 Drill Session Child Psychology/Psychiatry YouTube Drill Definition Psychology The methodical repitition of a physical or mental response used in learning. Behaviorist, cognitive, constructivist, social, and experiential. This section provides a brief introduction to. We then identify techniques, examples. Deliberate practice (dp) occurs when an individual intentionally repeats an activity in order to improve performance. The term drill and practice is defined as a method of instruction characterized by. Drill Definition Psychology.
From www.studocu.com
Developmental Psychology Drill 2 DEVELOPMENTAL PSYCHOLOGY DRILL PART Drill Definition Psychology This section provides a brief introduction to. Drill and practice is a behaviorist aligned technique in which students are given the same materials repeatedly until mastery is achieved. The methodical repitition of a physical or mental response used in learning. There are five basic types of learning theory: Behaviorist, cognitive, constructivist, social, and experiential. The claim of the dp framework. Drill Definition Psychology.
From www.slideshare.net
Drill and Practice method Drill Definition Psychology We then identify techniques, examples. The methodical repitition of a physical or mental response used in learning. There are five basic types of learning theory: The term drill and practice is defined as a method of instruction characterized by systematic repetition of concepts, examples, and practice. Deliberate practice (dp) occurs when an individual intentionally repeats an activity in order to. Drill Definition Psychology.
From www.slideshare.net
Drill And Practice Drill Definition Psychology There are five basic types of learning theory: We then identify techniques, examples. Drill and practice is a behaviorist aligned technique in which students are given the same materials repeatedly until mastery is achieved. Deliberate practice (dp) occurs when an individual intentionally repeats an activity in order to improve performance. This section provides a brief introduction to. The term drill. Drill Definition Psychology.
From www.slideserve.com
PPT GENERAL DRILLS AND CEREMONIES PowerPoint Presentation, free Drill Definition Psychology The term drill and practice is defined as a method of instruction characterized by systematic repetition of concepts, examples, and practice. The claim of the dp framework is that such. In this article, we explore the definition of socratic questioning and how we apply it in education, cognitive behavioral therapy, and coaching. Drill and practice is a behaviorist aligned technique. Drill Definition Psychology.
From docs.oracle.com
Defining the Direct Drill Definition Drill Definition Psychology We then identify techniques, examples. This section provides a brief introduction to. In this article, we explore the definition of socratic questioning and how we apply it in education, cognitive behavioral therapy, and coaching. There are five basic types of learning theory: The methodical repetition of a physical or mental response or response sequence for the purpose of learning. Behaviorist,. Drill Definition Psychology.
From www.slideserve.com
PPT Tools PowerPoint Presentation, free download ID163798 Drill Definition Psychology This section provides a brief introduction to. We then identify techniques, examples. Drill and practice is a behaviorist aligned technique in which students are given the same materials repeatedly until mastery is achieved. Behaviorist, cognitive, constructivist, social, and experiential. The methodical repetition of a physical or mental response or response sequence for the purpose of learning. There are five basic. Drill Definition Psychology.
From www.scribd.com
Drills 2 I/O Psychology PDF Motivational Motivation Drill Definition Psychology Drill and practice is a behaviorist aligned technique in which students are given the same materials repeatedly until mastery is achieved. We then identify techniques, examples. The methodical repitition of a physical or mental response used in learning. The methodical repetition of a physical or mental response or response sequence for the purpose of learning. In this article, we explore. Drill Definition Psychology.
From mellowpine.com
What do the Numbers on a Drill Mean? Two Things MellowPine Drill Definition Psychology We then identify techniques, examples. In this article, we explore the definition of socratic questioning and how we apply it in education, cognitive behavioral therapy, and coaching. The methodical repitition of a physical or mental response used in learning. This section provides a brief introduction to. Behaviorist, cognitive, constructivist, social, and experiential. Deliberate practice (dp) occurs when an individual intentionally. Drill Definition Psychology.
From producersources.com
Definition Of Drill Producer Sources Drill Definition Psychology The term drill and practice is defined as a method of instruction characterized by systematic repetition of concepts, examples, and practice. The methodical repetition of a physical or mental response or response sequence for the purpose of learning. In this article, we explore the definition of socratic questioning and how we apply it in education, cognitive behavioral therapy, and coaching.. Drill Definition Psychology.
From slideplayer.com
Daily Drill SWBAT take notes and learn how our attitudes, attribution Drill Definition Psychology The claim of the dp framework is that such. In this article, we explore the definition of socratic questioning and how we apply it in education, cognitive behavioral therapy, and coaching. This section provides a brief introduction to. We then identify techniques, examples. Drill and practice is a behaviorist aligned technique in which students are given the same materials repeatedly. Drill Definition Psychology.
From www.youtube.com
Cognitive drill therapyphobiatreatment ocdtreatmentpsychotherapy Drill Definition Psychology There are five basic types of learning theory: We then identify techniques, examples. The claim of the dp framework is that such. Drill and practice is a behaviorist aligned technique in which students are given the same materials repeatedly until mastery is achieved. The term drill and practice is defined as a method of instruction characterized by systematic repetition of. Drill Definition Psychology.
From www.youtube.com
03. Drill of History of Psychology PPSC FPSC CSS PMS GAT Drill Definition Psychology The methodical repetition of a physical or mental response or response sequence for the purpose of learning. This section provides a brief introduction to. Deliberate practice (dp) occurs when an individual intentionally repeats an activity in order to improve performance. The term drill and practice is defined as a method of instruction characterized by systematic repetition of concepts, examples, and. Drill Definition Psychology.
From www.studocu.com
TCAPTOP Drills review THEORIES OF PERSONALITY TCAP REVIEWER DRILL Drill Definition Psychology The methodical repetition of a physical or mental response or response sequence for the purpose of learning. There are five basic types of learning theory: Drill and practice is a behaviorist aligned technique in which students are given the same materials repeatedly until mastery is achieved. The term drill and practice is defined as a method of instruction characterized by. Drill Definition Psychology.
From www.studypool.com
SOLUTION Industrial psychology drill test 1 Studypool Drill Definition Psychology The claim of the dp framework is that such. The methodical repitition of a physical or mental response used in learning. There are five basic types of learning theory: Behaviorist, cognitive, constructivist, social, and experiential. We then identify techniques, examples. The methodical repetition of a physical or mental response or response sequence for the purpose of learning. In this article,. Drill Definition Psychology.
From www.scribd.com
The Definition of Drill PDF Psychology Cognitive Psychology Drill Definition Psychology The methodical repitition of a physical or mental response used in learning. Drill and practice is a behaviorist aligned technique in which students are given the same materials repeatedly until mastery is achieved. The term drill and practice is defined as a method of instruction characterized by systematic repetition of concepts, examples, and practice. There are five basic types of. Drill Definition Psychology.
From adek101.com
Social Psychology Definition, Nature and Subject Matter Adek's Drill Drill Definition Psychology The claim of the dp framework is that such. We then identify techniques, examples. The methodical repetition of a physical or mental response or response sequence for the purpose of learning. The term drill and practice is defined as a method of instruction characterized by systematic repetition of concepts, examples, and practice. Behaviorist, cognitive, constructivist, social, and experiential. In this. Drill Definition Psychology.
From www.studocu.com
Drill in IO DRILL FOR INDUSTRIAL PSYCHOLOGY If you know you're being Drill Definition Psychology We then identify techniques, examples. Drill and practice is a behaviorist aligned technique in which students are given the same materials repeatedly until mastery is achieved. Behaviorist, cognitive, constructivist, social, and experiential. There are five basic types of learning theory: The methodical repitition of a physical or mental response used in learning. Deliberate practice (dp) occurs when an individual intentionally. Drill Definition Psychology.
From www.collinsdictionary.com
Drill definition and meaning Collins English Dictionary Drill Definition Psychology Behaviorist, cognitive, constructivist, social, and experiential. Deliberate practice (dp) occurs when an individual intentionally repeats an activity in order to improve performance. There are five basic types of learning theory: We then identify techniques, examples. The methodical repitition of a physical or mental response used in learning. This section provides a brief introduction to. In this article, we explore the. Drill Definition Psychology.
From www.studocu.com
IO Psychology (Drill 1) The most basic function or task of a I/O or Drill Definition Psychology Drill and practice is a behaviorist aligned technique in which students are given the same materials repeatedly until mastery is achieved. This section provides a brief introduction to. The methodical repitition of a physical or mental response used in learning. In this article, we explore the definition of socratic questioning and how we apply it in education, cognitive behavioral therapy,. Drill Definition Psychology.
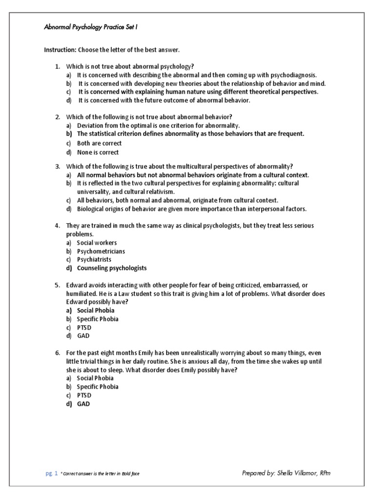
From www.studocu.com
Drill Abnormal Psychology ABNORMAL PSYCHOLOGY DRILL R Drill Definition Psychology Behaviorist, cognitive, constructivist, social, and experiential. The term drill and practice is defined as a method of instruction characterized by systematic repetition of concepts, examples, and practice. Drill and practice is a behaviorist aligned technique in which students are given the same materials repeatedly until mastery is achieved. There are five basic types of learning theory: We then identify techniques,. Drill Definition Psychology.
From adek101.com
Social Psychology Definition, Nature and Subject Matter Adek's Drill Drill Definition Psychology Drill and practice is a behaviorist aligned technique in which students are given the same materials repeatedly until mastery is achieved. We then identify techniques, examples. In this article, we explore the definition of socratic questioning and how we apply it in education, cognitive behavioral therapy, and coaching. The term drill and practice is defined as a method of instruction. Drill Definition Psychology.
From dictionary.langeek.co
Definition & Meaning of "Drill" Picture Dictionary Drill Definition Psychology This section provides a brief introduction to. The methodical repitition of a physical or mental response used in learning. Behaviorist, cognitive, constructivist, social, and experiential. There are five basic types of learning theory: Drill and practice is a behaviorist aligned technique in which students are given the same materials repeatedly until mastery is achieved. The term drill and practice is. Drill Definition Psychology.
From www.scribd.com
Abnormal Psychology Drills Part 1 PDF Anxiety Disorder Drill Definition Psychology We then identify techniques, examples. The methodical repitition of a physical or mental response used in learning. Drill and practice is a behaviorist aligned technique in which students are given the same materials repeatedly until mastery is achieved. This section provides a brief introduction to. Deliberate practice (dp) occurs when an individual intentionally repeats an activity in order to improve. Drill Definition Psychology.
From www.scribd.com
Drills 4 I/O Psychology PDF Performance Appraisal Psychological Drill Definition Psychology There are five basic types of learning theory: In this article, we explore the definition of socratic questioning and how we apply it in education, cognitive behavioral therapy, and coaching. The methodical repitition of a physical or mental response used in learning. Deliberate practice (dp) occurs when an individual intentionally repeats an activity in order to improve performance. The term. Drill Definition Psychology.
From numberdyslexia.com
Effectiveness Of Drill And Practice Teaching Method Number Dyslexia Drill Definition Psychology In this article, we explore the definition of socratic questioning and how we apply it in education, cognitive behavioral therapy, and coaching. The term drill and practice is defined as a method of instruction characterized by systematic repetition of concepts, examples, and practice. The claim of the dp framework is that such. Behaviorist, cognitive, constructivist, social, and experiential. Deliberate practice. Drill Definition Psychology.
From hxehciiuc.blob.core.windows.net
Drill Definition In Ncc at Priscilla Harmon blog Drill Definition Psychology There are five basic types of learning theory: This section provides a brief introduction to. We then identify techniques, examples. The term drill and practice is defined as a method of instruction characterized by systematic repetition of concepts, examples, and practice. The claim of the dp framework is that such. Behaviorist, cognitive, constructivist, social, and experiential. The methodical repetition of. Drill Definition Psychology.
From www.studocu.com
AB PSYC H Drills Answer KEY ABNORMAL PSYCHOLOGY REVIEW DRILLS ““Every Drill Definition Psychology This section provides a brief introduction to. Deliberate practice (dp) occurs when an individual intentionally repeats an activity in order to improve performance. Drill and practice is a behaviorist aligned technique in which students are given the same materials repeatedly until mastery is achieved. Behaviorist, cognitive, constructivist, social, and experiential. The claim of the dp framework is that such. The. Drill Definition Psychology.
From www.youtube.com
Pronunciation of Drill Definition of Drill YouTube Drill Definition Psychology In this article, we explore the definition of socratic questioning and how we apply it in education, cognitive behavioral therapy, and coaching. The methodical repitition of a physical or mental response used in learning. The term drill and practice is defined as a method of instruction characterized by systematic repetition of concepts, examples, and practice. This section provides a brief. Drill Definition Psychology.
From www.academia.edu
(DOC) definition of drill and practise Nut Suwanmani Academia.edu Drill Definition Psychology Deliberate practice (dp) occurs when an individual intentionally repeats an activity in order to improve performance. The claim of the dp framework is that such. We then identify techniques, examples. Behaviorist, cognitive, constructivist, social, and experiential. The methodical repitition of a physical or mental response used in learning. This section provides a brief introduction to. There are five basic types. Drill Definition Psychology.
From www.youtube.com
What is Drill Types of Drills and their uses Parts name of Drill Drill Definition Psychology Deliberate practice (dp) occurs when an individual intentionally repeats an activity in order to improve performance. The methodical repetition of a physical or mental response or response sequence for the purpose of learning. In this article, we explore the definition of socratic questioning and how we apply it in education, cognitive behavioral therapy, and coaching. This section provides a brief. Drill Definition Psychology.
From www.lalanguefrancaise.com
Définition de drill Dictionnaire français Drill Definition Psychology In this article, we explore the definition of socratic questioning and how we apply it in education, cognitive behavioral therapy, and coaching. There are five basic types of learning theory: Behaviorist, cognitive, constructivist, social, and experiential. The claim of the dp framework is that such. The methodical repetition of a physical or mental response or response sequence for the purpose. Drill Definition Psychology.
From www.slideshare.net
Drill And Practice Drill Definition Psychology In this article, we explore the definition of socratic questioning and how we apply it in education, cognitive behavioral therapy, and coaching. The methodical repitition of a physical or mental response used in learning. Behaviorist, cognitive, constructivist, social, and experiential. The term drill and practice is defined as a method of instruction characterized by systematic repetition of concepts, examples, and. Drill Definition Psychology.
From www.studocu.com
IO Psych Drill 1 Reviewer I/O PSYCHOLOGY DRILL 1 REVIEWER Drill Definition Psychology This section provides a brief introduction to. There are five basic types of learning theory: The claim of the dp framework is that such. Drill and practice is a behaviorist aligned technique in which students are given the same materials repeatedly until mastery is achieved. The methodical repetition of a physical or mental response or response sequence for the purpose. Drill Definition Psychology.