Vacant Land Purchase Agreement Definition . It is important to understand whether the property you wish to purchase or sell could be considered a vacant possession. Demystifying the land sale and purchase agreement: A land purchase agreement defines important terms in a real estate transaction between the buyer and seller. You often use a land purchase agreement when buying or selling property. Vacant possession means that property is fit for occupation both physically and legally when a contract is completed or a lease is terminated. This template is used by professional land buyers and sellers. Download a free template to buy or sell vacant land with simple terms and conditions. A land purchase agreement is a contract between a buyer and a seller outlining the terms and conditions of purchasing a plot of land. The land spa serves as the legal foundation for the land transfer, meticulously.
from www.sampletemplates.com
Demystifying the land sale and purchase agreement: You often use a land purchase agreement when buying or selling property. It is important to understand whether the property you wish to purchase or sell could be considered a vacant possession. The land spa serves as the legal foundation for the land transfer, meticulously. A land purchase agreement is a contract between a buyer and a seller outlining the terms and conditions of purchasing a plot of land. A land purchase agreement defines important terms in a real estate transaction between the buyer and seller. Vacant possession means that property is fit for occupation both physically and legally when a contract is completed or a lease is terminated. This template is used by professional land buyers and sellers. Download a free template to buy or sell vacant land with simple terms and conditions.
FREE 17+ Land Purchase Agreement Templates in PDF MS Word Google
Vacant Land Purchase Agreement Definition It is important to understand whether the property you wish to purchase or sell could be considered a vacant possession. It is important to understand whether the property you wish to purchase or sell could be considered a vacant possession. A land purchase agreement defines important terms in a real estate transaction between the buyer and seller. You often use a land purchase agreement when buying or selling property. A land purchase agreement is a contract between a buyer and a seller outlining the terms and conditions of purchasing a plot of land. Demystifying the land sale and purchase agreement: The land spa serves as the legal foundation for the land transfer, meticulously. Vacant possession means that property is fit for occupation both physically and legally when a contract is completed or a lease is terminated. This template is used by professional land buyers and sellers. Download a free template to buy or sell vacant land with simple terms and conditions.
From www.sampletemplates.com
FREE 17+ Land Purchase Agreement Templates in PDF MS Word Google Vacant Land Purchase Agreement Definition Demystifying the land sale and purchase agreement: A land purchase agreement defines important terms in a real estate transaction between the buyer and seller. You often use a land purchase agreement when buying or selling property. This template is used by professional land buyers and sellers. Vacant possession means that property is fit for occupation both physically and legally when. Vacant Land Purchase Agreement Definition.
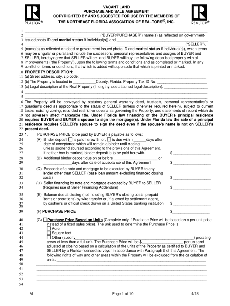
From contracts.justia.com
Vacant Land Purchase and Sale Agreement between the Registrant Harbor Vacant Land Purchase Agreement Definition You often use a land purchase agreement when buying or selling property. A land purchase agreement defines important terms in a real estate transaction between the buyer and seller. Download a free template to buy or sell vacant land with simple terms and conditions. It is important to understand whether the property you wish to purchase or sell could be. Vacant Land Purchase Agreement Definition.
From www.template.net
Land Purchase Agreement Template Google Docs, Word, Apple Pages Vacant Land Purchase Agreement Definition A land purchase agreement is a contract between a buyer and a seller outlining the terms and conditions of purchasing a plot of land. Demystifying the land sale and purchase agreement: A land purchase agreement defines important terms in a real estate transaction between the buyer and seller. This template is used by professional land buyers and sellers. Download a. Vacant Land Purchase Agreement Definition.
From www.pdffiller.com
Vacant Land Purchase Agreement California Fill Online, Printable Vacant Land Purchase Agreement Definition Vacant possession means that property is fit for occupation both physically and legally when a contract is completed or a lease is terminated. It is important to understand whether the property you wish to purchase or sell could be considered a vacant possession. A land purchase agreement is a contract between a buyer and a seller outlining the terms and. Vacant Land Purchase Agreement Definition.
From contracts.justia.com
Vacant Land Purchase and Sale Agreement between the Registrant Harbor Vacant Land Purchase Agreement Definition A land purchase agreement defines important terms in a real estate transaction between the buyer and seller. It is important to understand whether the property you wish to purchase or sell could be considered a vacant possession. Vacant possession means that property is fit for occupation both physically and legally when a contract is completed or a lease is terminated.. Vacant Land Purchase Agreement Definition.
From www.dochub.com
Vacant land purchase agreement Fill out & sign online DocHub Vacant Land Purchase Agreement Definition A land purchase agreement is a contract between a buyer and a seller outlining the terms and conditions of purchasing a plot of land. You often use a land purchase agreement when buying or selling property. Vacant possession means that property is fit for occupation both physically and legally when a contract is completed or a lease is terminated. A. Vacant Land Purchase Agreement Definition.
From www.pdffiller.com
Fillable Online Vacant Land Vacant Land Purchase Agreement Definition Demystifying the land sale and purchase agreement: This template is used by professional land buyers and sellers. Download a free template to buy or sell vacant land with simple terms and conditions. A land purchase agreement defines important terms in a real estate transaction between the buyer and seller. You often use a land purchase agreement when buying or selling. Vacant Land Purchase Agreement Definition.
From www.lawdistrict.com
Land Purchase Agreement Land Contract Free PDF Form LawDistrict Vacant Land Purchase Agreement Definition It is important to understand whether the property you wish to purchase or sell could be considered a vacant possession. You often use a land purchase agreement when buying or selling property. This template is used by professional land buyers and sellers. The land spa serves as the legal foundation for the land transfer, meticulously. A land purchase agreement defines. Vacant Land Purchase Agreement Definition.
From formspal.com
West Michigan Vacant Land Agreement PDF Form FormsPal Vacant Land Purchase Agreement Definition The land spa serves as the legal foundation for the land transfer, meticulously. Vacant possession means that property is fit for occupation both physically and legally when a contract is completed or a lease is terminated. You often use a land purchase agreement when buying or selling property. A land purchase agreement is a contract between a buyer and a. Vacant Land Purchase Agreement Definition.
From www.rocketlawyer.com
Free Property Sale Agreement Template & FAQs Rocket Lawyer Vacant Land Purchase Agreement Definition This template is used by professional land buyers and sellers. Download a free template to buy or sell vacant land with simple terms and conditions. Demystifying the land sale and purchase agreement: A land purchase agreement defines important terms in a real estate transaction between the buyer and seller. You often use a land purchase agreement when buying or selling. Vacant Land Purchase Agreement Definition.
From templates.rjuuc.edu.np
Vacant Land Purchase Agreement Template Vacant Land Purchase Agreement Definition You often use a land purchase agreement when buying or selling property. Vacant possession means that property is fit for occupation both physically and legally when a contract is completed or a lease is terminated. Demystifying the land sale and purchase agreement: A land purchase agreement defines important terms in a real estate transaction between the buyer and seller. This. Vacant Land Purchase Agreement Definition.
From exceltmp.com
Free Land Purchase Agreement Form (Residential & Commercial) Excel TMP Vacant Land Purchase Agreement Definition The land spa serves as the legal foundation for the land transfer, meticulously. Download a free template to buy or sell vacant land with simple terms and conditions. Vacant possession means that property is fit for occupation both physically and legally when a contract is completed or a lease is terminated. A land purchase agreement is a contract between a. Vacant Land Purchase Agreement Definition.
From www.uslegalforms.com
VACANT LAND REAL ESTATE SALE AGREEMENT 2020 Fill and Sign Printable Vacant Land Purchase Agreement Definition Demystifying the land sale and purchase agreement: It is important to understand whether the property you wish to purchase or sell could be considered a vacant possession. A land purchase agreement is a contract between a buyer and a seller outlining the terms and conditions of purchasing a plot of land. You often use a land purchase agreement when buying. Vacant Land Purchase Agreement Definition.
From www.template.net
Land Purchase Agreement Template in Word, Google Docs, Pages Download Vacant Land Purchase Agreement Definition A land purchase agreement is a contract between a buyer and a seller outlining the terms and conditions of purchasing a plot of land. A land purchase agreement defines important terms in a real estate transaction between the buyer and seller. The land spa serves as the legal foundation for the land transfer, meticulously. You often use a land purchase. Vacant Land Purchase Agreement Definition.
From www.template.net
Vacant Land Purchase Agreement Template in MS Word, Pages, GDocsLink Vacant Land Purchase Agreement Definition It is important to understand whether the property you wish to purchase or sell could be considered a vacant possession. A land purchase agreement defines important terms in a real estate transaction between the buyer and seller. Demystifying the land sale and purchase agreement: Vacant possession means that property is fit for occupation both physically and legally when a contract. Vacant Land Purchase Agreement Definition.
From contracts.justia.com
Vacant Land Purchase and Sale Agreement between the Registrant Harbor Vacant Land Purchase Agreement Definition You often use a land purchase agreement when buying or selling property. The land spa serves as the legal foundation for the land transfer, meticulously. A land purchase agreement is a contract between a buyer and a seller outlining the terms and conditions of purchasing a plot of land. Vacant possession means that property is fit for occupation both physically. Vacant Land Purchase Agreement Definition.
From printables.ula.edu.pe
Free Printable Land Purchase Agreement Free Templates Printable Vacant Land Purchase Agreement Definition This template is used by professional land buyers and sellers. Vacant possession means that property is fit for occupation both physically and legally when a contract is completed or a lease is terminated. A land purchase agreement defines important terms in a real estate transaction between the buyer and seller. A land purchase agreement is a contract between a buyer. Vacant Land Purchase Agreement Definition.
From contracts.justia.com
Vacant Land Purchase and Sale Agreement between the Registrant Harbor Vacant Land Purchase Agreement Definition This template is used by professional land buyers and sellers. Vacant possession means that property is fit for occupation both physically and legally when a contract is completed or a lease is terminated. It is important to understand whether the property you wish to purchase or sell could be considered a vacant possession. The land spa serves as the legal. Vacant Land Purchase Agreement Definition.
From www.uslegalforms.com
OH Vacant Land Purchase Agreement 2000 Fill and Sign Printable Vacant Land Purchase Agreement Definition Vacant possession means that property is fit for occupation both physically and legally when a contract is completed or a lease is terminated. A land purchase agreement is a contract between a buyer and a seller outlining the terms and conditions of purchasing a plot of land. It is important to understand whether the property you wish to purchase or. Vacant Land Purchase Agreement Definition.
From www.uslegalforms.com
Vacant Land Purchase And Sale Agreement Washington State 20202022 Vacant Land Purchase Agreement Definition The land spa serves as the legal foundation for the land transfer, meticulously. Vacant possession means that property is fit for occupation both physically and legally when a contract is completed or a lease is terminated. Demystifying the land sale and purchase agreement: This template is used by professional land buyers and sellers. It is important to understand whether the. Vacant Land Purchase Agreement Definition.
From www.pdffiller.com
Fillable Online Vacant Land Purchase and Sale Agreement 6.16.13 rev Vacant Land Purchase Agreement Definition A land purchase agreement is a contract between a buyer and a seller outlining the terms and conditions of purchasing a plot of land. You often use a land purchase agreement when buying or selling property. Download a free template to buy or sell vacant land with simple terms and conditions. This template is used by professional land buyers and. Vacant Land Purchase Agreement Definition.
From www.sampleforms.com
FREE 8+ Land Purchase Agreement Forms in PDF MS Word Vacant Land Purchase Agreement Definition The land spa serves as the legal foundation for the land transfer, meticulously. Demystifying the land sale and purchase agreement: A land purchase agreement defines important terms in a real estate transaction between the buyer and seller. It is important to understand whether the property you wish to purchase or sell could be considered a vacant possession. Download a free. Vacant Land Purchase Agreement Definition.
From vacant-land-purchase.pdffiller.com
Vacant Land Purchase And Sale Agreement Fill Online, Printable Vacant Land Purchase Agreement Definition You often use a land purchase agreement when buying or selling property. Demystifying the land sale and purchase agreement: This template is used by professional land buyers and sellers. A land purchase agreement defines important terms in a real estate transaction between the buyer and seller. It is important to understand whether the property you wish to purchase or sell. Vacant Land Purchase Agreement Definition.
From whoamuu.blogspot.com
Vacant Land Purchase Agreement Template HQ Printable Documents Vacant Land Purchase Agreement Definition You often use a land purchase agreement when buying or selling property. The land spa serves as the legal foundation for the land transfer, meticulously. A land purchase agreement is a contract between a buyer and a seller outlining the terms and conditions of purchasing a plot of land. Demystifying the land sale and purchase agreement: A land purchase agreement. Vacant Land Purchase Agreement Definition.
From www.youtube.com
Create The Perfect Vacant Land Purchase Agreement YouTube Vacant Land Purchase Agreement Definition Demystifying the land sale and purchase agreement: Vacant possession means that property is fit for occupation both physically and legally when a contract is completed or a lease is terminated. You often use a land purchase agreement when buying or selling property. This template is used by professional land buyers and sellers. A land purchase agreement is a contract between. Vacant Land Purchase Agreement Definition.
From www.sampleforms.com
FREE 30+ Sample Purchase Agreement Forms in MS Word PDF Vacant Land Purchase Agreement Definition Vacant possession means that property is fit for occupation both physically and legally when a contract is completed or a lease is terminated. A land purchase agreement is a contract between a buyer and a seller outlining the terms and conditions of purchasing a plot of land. It is important to understand whether the property you wish to purchase or. Vacant Land Purchase Agreement Definition.
From agreementsonline.co.za
Vacant Land Sale Residential, Agent Agreements Online Vacant Land Purchase Agreement Definition Download a free template to buy or sell vacant land with simple terms and conditions. You often use a land purchase agreement when buying or selling property. The land spa serves as the legal foundation for the land transfer, meticulously. Demystifying the land sale and purchase agreement: It is important to understand whether the property you wish to purchase or. Vacant Land Purchase Agreement Definition.
From legaltemplates.net
Land Purchase Agreement Legal Templates Vacant Land Purchase Agreement Definition This template is used by professional land buyers and sellers. Download a free template to buy or sell vacant land with simple terms and conditions. Vacant possession means that property is fit for occupation both physically and legally when a contract is completed or a lease is terminated. A land purchase agreement is a contract between a buyer and a. Vacant Land Purchase Agreement Definition.
From www.sampletemplates.com
FREE 17+ Land Purchase Agreement Templates in PDF MS Word Google Vacant Land Purchase Agreement Definition Download a free template to buy or sell vacant land with simple terms and conditions. A land purchase agreement defines important terms in a real estate transaction between the buyer and seller. It is important to understand whether the property you wish to purchase or sell could be considered a vacant possession. Demystifying the land sale and purchase agreement: You. Vacant Land Purchase Agreement Definition.
From www.sampleforms.com
FREE 8+ Land Purchase Agreement Forms in PDF MS Word Vacant Land Purchase Agreement Definition Demystifying the land sale and purchase agreement: It is important to understand whether the property you wish to purchase or sell could be considered a vacant possession. A land purchase agreement defines important terms in a real estate transaction between the buyer and seller. You often use a land purchase agreement when buying or selling property. Vacant possession means that. Vacant Land Purchase Agreement Definition.
From www.signnow.com
Louisiana Vacant Land Purchase Agreement 20132024 Form Fill Out and Vacant Land Purchase Agreement Definition Demystifying the land sale and purchase agreement: Download a free template to buy or sell vacant land with simple terms and conditions. It is important to understand whether the property you wish to purchase or sell could be considered a vacant possession. Vacant possession means that property is fit for occupation both physically and legally when a contract is completed. Vacant Land Purchase Agreement Definition.
From esign.com
Free Purchase Agreement Templates (7) PDF Word Vacant Land Purchase Agreement Definition Vacant possession means that property is fit for occupation both physically and legally when a contract is completed or a lease is terminated. It is important to understand whether the property you wish to purchase or sell could be considered a vacant possession. You often use a land purchase agreement when buying or selling property. A land purchase agreement defines. Vacant Land Purchase Agreement Definition.
From templates.rjuuc.edu.np
Vacant Land Purchase Agreement Template Vacant Land Purchase Agreement Definition A land purchase agreement is a contract between a buyer and a seller outlining the terms and conditions of purchasing a plot of land. Vacant possession means that property is fit for occupation both physically and legally when a contract is completed or a lease is terminated. You often use a land purchase agreement when buying or selling property. It. Vacant Land Purchase Agreement Definition.
From letterify.info
Addendum To Purchase Agreement Vacant Land Purchase And Sale Agreement Vacant Land Purchase Agreement Definition Vacant possession means that property is fit for occupation both physically and legally when a contract is completed or a lease is terminated. A land purchase agreement defines important terms in a real estate transaction between the buyer and seller. Download a free template to buy or sell vacant land with simple terms and conditions. You often use a land. Vacant Land Purchase Agreement Definition.
From www.templateroller.com
Land Purchase Agreement Template Fill Out, Sign Online and Download Vacant Land Purchase Agreement Definition This template is used by professional land buyers and sellers. You often use a land purchase agreement when buying or selling property. It is important to understand whether the property you wish to purchase or sell could be considered a vacant possession. Vacant possession means that property is fit for occupation both physically and legally when a contract is completed. Vacant Land Purchase Agreement Definition.