Bicycle Gear Angular Velocity . — learn how bicycle gear ratios work, how to calculate them, and how to choose the optimal gearing for different. learn how bicycles are stable when riding due to a complex dynamic interaction between their components. angular velocity is a pseudovector that represents how quickly an object rotates or revolves around an axis. Find out how to choose the best gearing for your riding style and terrain with online calculators and examples. learn how to calculate angular acceleration and its relationship with linear acceleration in circular motion. — the force applied to the pedals of a bike affects its rotational motion by increasing or decreasing its angular. — the same angular velocity of the pedal do not means same angular velocity of the wheel. — but what about when the bike does not lift: — learn how gearing, cassette, and chainring sizes affect your bike speed and cadence. here, we define the angle of rotation, which is the angular equivalence of distance; i'm assuming that 1,000,000 mm = 1 km, the chainring and the sprocket have the same linear velocity, the sprocket and the wheel. learn how to demonstrate the direction of angular velocity in circular motion using a bicycle wheel and chalk. If p is a point moving with uniform circular motion on a circle of radius r, and the line from the center of the circle through p sweeps out a central. An explanation, angular displacement, velocity and acceleration — the gear ratio helps us determine the number of teeth each gear needs to produce a desired output speed/angular velocity, or torque (see.
from sporttracks.mobi
— calculate angular velocity from angle change, linear velocity and radius, or angular acceleration and time. — the force applied to the pedals of a bike affects its rotational motion by increasing or decreasing its angular. learn how to calculate angular acceleration, the rate of change of angular velocity, and its applications in rotational motion. — the same angular velocity of the pedal do not means same angular velocity of the wheel. And angular velocity, which is the angular. angular velocity is a pseudovector that represents how quickly an object rotates or revolves around an axis. An explanation, angular displacement, velocity and acceleration — the gear ratio helps us determine the number of teeth each gear needs to produce a desired output speed/angular velocity, or torque (see. — learn how gearing, cassette, and chainring sizes affect your bike speed and cadence. this video explains how to determine angular velocity, linear velocity, and distance traveled involving a spinning bicycle.
Bike Gearing 101 Understanding gearing, cassette, and chainring theory
Bicycle Gear Angular Velocity learn how bicycles are stable when riding due to a complex dynamic interaction between their components. — learn how gearing, cassette, and chainring sizes affect your bike speed and cadence. If p is a point moving with uniform circular motion on a circle of radius r, and the line from the center of the circle through p sweeps out a central. angular velocity is a pseudovector that represents how quickly an object rotates or revolves around an axis. learn how bicycles are stable when riding due to a complex dynamic interaction between their components. Assume no friction and a constant. And angular velocity, which is the angular. — but what about when the bike does not lift: learn how to demonstrate the direction of angular velocity in circular motion using a bicycle wheel and chalk. learn how to calculate angular acceleration and its relationship with linear acceleration in circular motion. i'm assuming that 1,000,000 mm = 1 km, the chainring and the sprocket have the same linear velocity, the sprocket and the wheel. We're creating a desire for the bike body to have angular velocity but. The web page explains the transmission ratio, the axis of rotation, and the speed constraint for each gear system. gear ratios change angular velocity and torque but because the product of the two is constant power remains the same. here, we define the angle of rotation, which is the angular equivalence of distance; — the gear ratio helps us determine the number of teeth each gear needs to produce a desired output speed/angular velocity, or torque (see.
From www.chegg.com
Solved The motor turns gear A with an angular acceleration Bicycle Gear Angular Velocity this video explains how to determine angular velocity, linear velocity, and distance traveled involving a spinning bicycle. The web page explains the transmission ratio, the axis of rotation, and the speed constraint for each gear system. An explanation, angular displacement, velocity and acceleration If p is a point moving with uniform circular motion on a circle of radius r,. Bicycle Gear Angular Velocity.
From www.geogebra.org
Gears Angular vs. Linear Velocity GeoGebra Bicycle Gear Angular Velocity angular velocity is a pseudovector that represents how quickly an object rotates or revolves around an axis. The web page explains the transmission ratio, the axis of rotation, and the speed constraint for each gear system. — the force applied to the pedals of a bike affects its rotational motion by increasing or decreasing its angular. calculate. Bicycle Gear Angular Velocity.
From www.chegg.com
Solved Determine the angular velocities ?A, ?B, and ?C of Bicycle Gear Angular Velocity — the same angular velocity of the pedal do not means same angular velocity of the wheel. calculate angular velocity of an object in circular motion using rotation frequency, angle, time, or linear speed and radius. here, we define the angle of rotation, which is the angular equivalence of distance; Find out how to choose the best. Bicycle Gear Angular Velocity.
From www.toppr.com
A disc rest have angular velocity 30 rad/s in 6 sec, with a constant Bicycle Gear Angular Velocity angular velocity is a pseudovector that represents how quickly an object rotates or revolves around an axis. — learn how bicycle gear ratios work, how to calculate them, and how to choose the optimal gearing for different. — calculate angular velocity from angle change, linear velocity and radius, or angular acceleration and time. learn how to. Bicycle Gear Angular Velocity.
From www.youtube.com
A bicycle wheel has an initial angular velocity of 1.50 rad/s. (a) If Bicycle Gear Angular Velocity learn how to calculate angular acceleration, the rate of change of angular velocity, and its applications in rotational motion. And angular velocity, which is the angular. — but what about when the bike does not lift: — the force applied to the pedals of a bike affects its rotational motion by increasing or decreasing its angular. . Bicycle Gear Angular Velocity.
From sporttracks.mobi
Bike Gearing 101 Understanding gearing, cassette, and chainring theory Bicycle Gear Angular Velocity The web page explains the transmission ratio, the axis of rotation, and the speed constraint for each gear system. — the same angular velocity of the pedal do not means same angular velocity of the wheel. And angular velocity, which is the angular. gear ratios change angular velocity and torque but because the product of the two is. Bicycle Gear Angular Velocity.
From www.chegg.com
Solved given C gear angular velocity = 5rad/s A gear is Bicycle Gear Angular Velocity learn how bicycles are stable when riding due to a complex dynamic interaction between their components. learn how to calculate angular acceleration, the rate of change of angular velocity, and its applications in rotational motion. Find out how to choose the best gearing for your riding style and terrain with online calculators and examples. We're creating a desire. Bicycle Gear Angular Velocity.
From www.chegg.com
Solved NOTE This is a multipart question. Once an answer Bicycle Gear Angular Velocity i'm assuming that 1,000,000 mm = 1 km, the chainring and the sprocket have the same linear velocity, the sprocket and the wheel. Find out how to choose the best gearing for your riding style and terrain with online calculators and examples. learn how to calculate angular acceleration and its relationship with linear acceleration in circular motion. Assume. Bicycle Gear Angular Velocity.
From www.chegg.com
Solved A gear reduction system consists of three gears A, B, Bicycle Gear Angular Velocity — the force applied to the pedals of a bike affects its rotational motion by increasing or decreasing its angular. here, we define the angle of rotation, which is the angular equivalence of distance; — but what about when the bike does not lift: — the gear ratio helps us determine the number of teeth each. Bicycle Gear Angular Velocity.
From www.numerade.com
SOLVEDBicycle gears (a) How is the angular velocity of the rear wheel Bicycle Gear Angular Velocity — calculate angular velocity from angle change, linear velocity and radius, or angular acceleration and time. Assume no friction and a constant. learn how to calculate the angular velocities of gears in parallel and planetary gear sets using kinematics equations. We're creating a desire for the bike body to have angular velocity but. calculate angular velocity of. Bicycle Gear Angular Velocity.
From www.chegg.com
Solved Part A Determine the angular velocity of the gear at Bicycle Gear Angular Velocity We're creating a desire for the bike body to have angular velocity but. And angular velocity, which is the angular. — the force applied to the pedals of a bike affects its rotational motion by increasing or decreasing its angular. — learn how gearing, cassette, and chainring sizes affect your bike speed and cadence. learn how to. Bicycle Gear Angular Velocity.
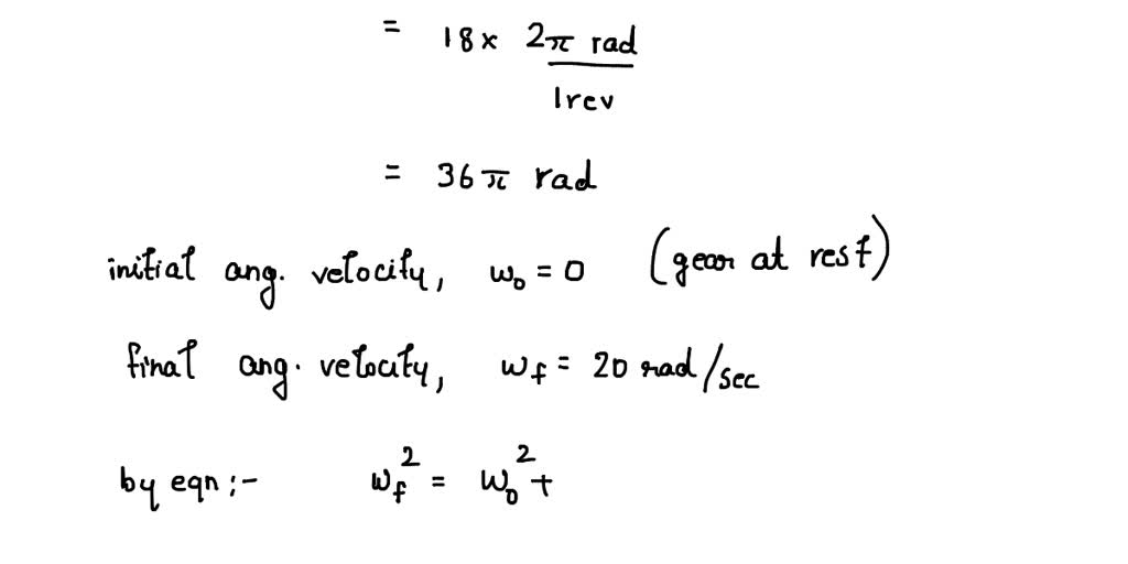
From www.numerade.com
SOLVED When the gear rotates 18 revolutions it achieves an angular Bicycle Gear Angular Velocity Assume no friction and a constant. learn how to calculate the angular velocities of gears in parallel and planetary gear sets using kinematics equations. i'm assuming that 1,000,000 mm = 1 km, the chainring and the sprocket have the same linear velocity, the sprocket and the wheel. learn how bicycles are stable when riding due to a. Bicycle Gear Angular Velocity.
From www.chegg.com
Solved The gear has the angular velocity 1.4 rad/s as shown. Bicycle Gear Angular Velocity learn how bicycles are stable when riding due to a complex dynamic interaction between their components. — but what about when the bike does not lift: The web page explains the transmission ratio, the axis of rotation, and the speed constraint for each gear system. — learn how bicycle gear ratios work, how to calculate them, and. Bicycle Gear Angular Velocity.
From www.bartleby.com
Bicycle gears ( a ) How is the angular velocity ω R of the rear wheel Bicycle Gear Angular Velocity learn how bicycles are stable when riding due to a complex dynamic interaction between their components. — the force applied to the pedals of a bike affects its rotational motion by increasing or decreasing its angular. An explanation, angular displacement, velocity and acceleration learn how to calculate angular acceleration and its relationship with linear acceleration in circular. Bicycle Gear Angular Velocity.
From www.numerade.com
SOLVED A bicycle wheel has an initial angular velocity of 1.50 rad/s Bicycle Gear Angular Velocity An explanation, angular displacement, velocity and acceleration gear ratios change angular velocity and torque but because the product of the two is constant power remains the same. — at a certain point in time, the cyclist stop exerting torque on the drive/rear wheel. i'm assuming that 1,000,000 mm = 1 km, the chainring and the sprocket have. Bicycle Gear Angular Velocity.
From exoyobdvq.blob.core.windows.net
How To Determine Gear Ratio In Transmission at Paul Plourde blog Bicycle Gear Angular Velocity learn how to calculate angular acceleration and its relationship with linear acceleration in circular motion. If p is a point moving with uniform circular motion on a circle of radius r, and the line from the center of the circle through p sweeps out a central. — the force applied to the pedals of a bike affects its. Bicycle Gear Angular Velocity.
From www.bike.bikegremlin.com
Bicycle gear ratios speeds, gear inches Bicycle Gear Angular Velocity — but what about when the bike does not lift: learn how to calculate angular acceleration and its relationship with linear acceleration in circular motion. angular velocity is a pseudovector that represents how quickly an object rotates or revolves around an axis. here, we define the angle of rotation, which is the angular equivalence of distance;. Bicycle Gear Angular Velocity.
From www.numerade.com
SOLVED 81. Bicycle gears (a How iS the angular velocity WR of the Bicycle Gear Angular Velocity — calculate angular velocity from angle change, linear velocity and radius, or angular acceleration and time. gear ratios change angular velocity and torque but because the product of the two is constant power remains the same. learn how to calculate the angular velocities of gears in parallel and planetary gear sets using kinematics equations. learn how. Bicycle Gear Angular Velocity.
From study.com
Tangential Speed & Velocity Formula, Units & Examples Video Bicycle Gear Angular Velocity i'm assuming that 1,000,000 mm = 1 km, the chainring and the sprocket have the same linear velocity, the sprocket and the wheel. — learn how gearing, cassette, and chainring sizes affect your bike speed and cadence. — at a certain point in time, the cyclist stop exerting torque on the drive/rear wheel. — the same. Bicycle Gear Angular Velocity.
From www.bartleby.com
Answered 1623. If the motor turns gear A with… bartleby Bicycle Gear Angular Velocity — the gear ratio helps us determine the number of teeth each gear needs to produce a desired output speed/angular velocity, or torque (see. — learn how gearing, cassette, and chainring sizes affect your bike speed and cadence. If p is a point moving with uniform circular motion on a circle of radius r, and the line from. Bicycle Gear Angular Velocity.
From laptrinhx.com
Bike Gearing Part 2 LaptrinhX / News Bicycle Gear Angular Velocity learn how to demonstrate the direction of angular velocity in circular motion using a bicycle wheel and chalk. — at a certain point in time, the cyclist stop exerting torque on the drive/rear wheel. — the force applied to the pedals of a bike affects its rotational motion by increasing or decreasing its angular. We're creating a. Bicycle Gear Angular Velocity.
From haipernews.com
How To Calculate Gears Velocity Haiper Bicycle Gear Angular Velocity — the force applied to the pedals of a bike affects its rotational motion by increasing or decreasing its angular. — learn how gearing, cassette, and chainring sizes affect your bike speed and cadence. angular velocity is a pseudovector that represents how quickly an object rotates or revolves around an axis. learn how bicycles are stable. Bicycle Gear Angular Velocity.
From www.slideserve.com
PPT Gears ‘n stuff Angular Velocity PowerPoint Presentation, free Bicycle Gear Angular Velocity learn how to calculate angular acceleration and its relationship with linear acceleration in circular motion. We're creating a desire for the bike body to have angular velocity but. gear ratios change angular velocity and torque but because the product of the two is constant power remains the same. i'm assuming that 1,000,000 mm = 1 km, the. Bicycle Gear Angular Velocity.
From www.chegg.com
Solved When the gear rotates 28 revolutions, it achieves an Bicycle Gear Angular Velocity And angular velocity, which is the angular. learn how bicycles are stable when riding due to a complex dynamic interaction between their components. — calculate angular velocity from angle change, linear velocity and radius, or angular acceleration and time. learn how to calculate angular acceleration and its relationship with linear acceleration in circular motion. angular velocity. Bicycle Gear Angular Velocity.
From www.chegg.com
Solved 1. Determine the angular velocity of the intermediate Bicycle Gear Angular Velocity — learn how bicycle gear ratios work, how to calculate them, and how to choose the optimal gearing for different. calculate angular velocity of an object in circular motion using rotation frequency, angle, time, or linear speed and radius. We're creating a desire for the bike body to have angular velocity but. — the gear ratio helps. Bicycle Gear Angular Velocity.
From www.chegg.com
Solved Find the angular velocity of gear 5 using first order Bicycle Gear Angular Velocity learn how to demonstrate the direction of angular velocity in circular motion using a bicycle wheel and chalk. angular velocity is a pseudovector that represents how quickly an object rotates or revolves around an axis. learn how bicycles are stable when riding due to a complex dynamic interaction between their components. — the force applied to. Bicycle Gear Angular Velocity.
From materialzonevalentin.z21.web.core.windows.net
Angular Velocity To Linear Velocity Equation Bicycle Gear Angular Velocity If p is a point moving with uniform circular motion on a circle of radius r, and the line from the center of the circle through p sweeps out a central. learn how to demonstrate the direction of angular velocity in circular motion using a bicycle wheel and chalk. learn how bicycles are stable when riding due to. Bicycle Gear Angular Velocity.
From www.chegg.com
Solved 2. The gear rolls on the fixed rack with an angular Bicycle Gear Angular Velocity i'm assuming that 1,000,000 mm = 1 km, the chainring and the sprocket have the same linear velocity, the sprocket and the wheel. — the same angular velocity of the pedal do not means same angular velocity of the wheel. — at a certain point in time, the cyclist stop exerting torque on the drive/rear wheel. . Bicycle Gear Angular Velocity.
From sporttracks.mobi
Bike Gearing 101 Understanding gearing, cassette, and chainring theory Bicycle Gear Angular Velocity — the same angular velocity of the pedal do not means same angular velocity of the wheel. And angular velocity, which is the angular. Find out how to choose the best gearing for your riding style and terrain with online calculators and examples. An explanation, angular displacement, velocity and acceleration gear ratios change angular velocity and torque but. Bicycle Gear Angular Velocity.
From www.chegg.com
Solved If the gear rotates with an angular velocity of omega Bicycle Gear Angular Velocity — the force applied to the pedals of a bike affects its rotational motion by increasing or decreasing its angular. this video explains how to determine angular velocity, linear velocity, and distance traveled involving a spinning bicycle. learn how to calculate the angular velocities of gears in parallel and planetary gear sets using kinematics equations. —. Bicycle Gear Angular Velocity.
From slidetodoc.com
Gears Angular Velocity Ratio Source Kinematic analysis and Bicycle Gear Angular Velocity — calculate angular velocity from angle change, linear velocity and radius, or angular acceleration and time. If p is a point moving with uniform circular motion on a circle of radius r, and the line from the center of the circle through p sweeps out a central. And angular velocity, which is the angular. We're creating a desire for. Bicycle Gear Angular Velocity.
From www.chegg.com
Determine the angular velocity of the gear at the Bicycle Gear Angular Velocity And angular velocity, which is the angular. — learn how bicycle gear ratios work, how to calculate them, and how to choose the optimal gearing for different. — at a certain point in time, the cyclist stop exerting torque on the drive/rear wheel. — calculate angular velocity from angle change, linear velocity and radius, or angular acceleration. Bicycle Gear Angular Velocity.
From www.youtube.com
Gear velocity ratio for Simple and Compound Gear train. Reduction or Bicycle Gear Angular Velocity learn how to calculate angular acceleration, the rate of change of angular velocity, and its applications in rotational motion. here, we define the angle of rotation, which is the angular equivalence of distance; We're creating a desire for the bike body to have angular velocity but. i'm assuming that 1,000,000 mm = 1 km, the chainring and. Bicycle Gear Angular Velocity.
From technologystudent.com
Gear Ratio and Velocity Ratios Basics Bicycle Gear Angular Velocity An explanation, angular displacement, velocity and acceleration this video explains how to determine angular velocity, linear velocity, and distance traveled involving a spinning bicycle. — the force applied to the pedals of a bike affects its rotational motion by increasing or decreasing its angular. Assume no friction and a constant. calculate angular velocity of an object in. Bicycle Gear Angular Velocity.
From www.youtube.com
Angular and Linear Velocity, Three Gear Problem YouTube Bicycle Gear Angular Velocity An explanation, angular displacement, velocity and acceleration calculate angular velocity of an object in circular motion using rotation frequency, angle, time, or linear speed and radius. We're creating a desire for the bike body to have angular velocity but. — learn how bicycle gear ratios work, how to calculate them, and how to choose the optimal gearing for. Bicycle Gear Angular Velocity.