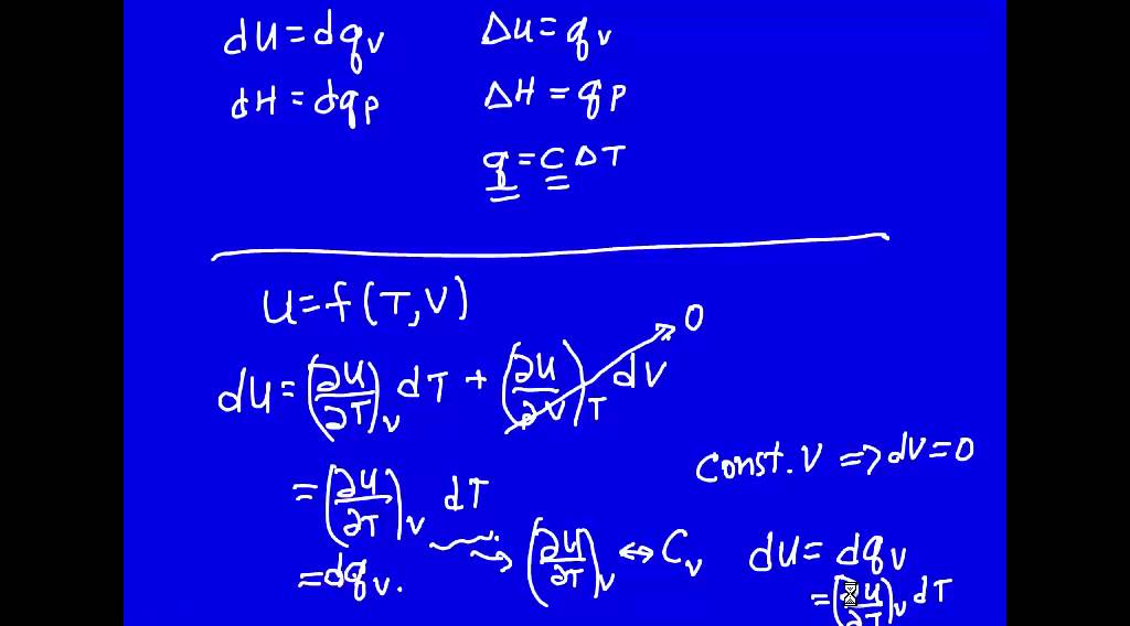
Internal Energy And Heat Capacity . The first law of thermodynamics states that the energy of the universe is constant. The slope of the tangent line to the \(u\) vs \(t\) curve at any temperature is known as the heat capacity at constant volume \(c_v\) for that substance: Owing to the fact that the (average) kinetic energy of an atom or molecule is proportional to the absolute temperature,. \[c_v = \left( \dfrac{\partial u}{\partial. The dependence on temperature change and mass are easily understood. Changes in a material's temperature or state of matter are caused by changes to the internal energy. Solve problems involving heat transfer to and from ideal monatomic gases whose volumes are held constant. The energy required by different. The change in the internal energy of a system is the sum of. The heat capacity at constant volume (\(c_v\)) is defined to be the change in internal energy with respect to temperature: The idea is to distinguish between what is being done to a system, “work is done on the system and/or heat is caused to flow into it”, with how.
from www.studypool.com
The slope of the tangent line to the \(u\) vs \(t\) curve at any temperature is known as the heat capacity at constant volume \(c_v\) for that substance: The first law of thermodynamics states that the energy of the universe is constant. Owing to the fact that the (average) kinetic energy of an atom or molecule is proportional to the absolute temperature,. \[c_v = \left( \dfrac{\partial u}{\partial. Changes in a material's temperature or state of matter are caused by changes to the internal energy. The heat capacity at constant volume (\(c_v\)) is defined to be the change in internal energy with respect to temperature: The dependence on temperature change and mass are easily understood. Solve problems involving heat transfer to and from ideal monatomic gases whose volumes are held constant. The energy required by different. The change in the internal energy of a system is the sum of.
SOLUTION Physics notes heat capacity and specific heat capacity
Internal Energy And Heat Capacity Changes in a material's temperature or state of matter are caused by changes to the internal energy. Changes in a material's temperature or state of matter are caused by changes to the internal energy. The heat capacity at constant volume (\(c_v\)) is defined to be the change in internal energy with respect to temperature: The first law of thermodynamics states that the energy of the universe is constant. Solve problems involving heat transfer to and from ideal monatomic gases whose volumes are held constant. The energy required by different. The dependence on temperature change and mass are easily understood. The idea is to distinguish between what is being done to a system, “work is done on the system and/or heat is caused to flow into it”, with how. The change in the internal energy of a system is the sum of. The slope of the tangent line to the \(u\) vs \(t\) curve at any temperature is known as the heat capacity at constant volume \(c_v\) for that substance: \[c_v = \left( \dfrac{\partial u}{\partial. Owing to the fact that the (average) kinetic energy of an atom or molecule is proportional to the absolute temperature,.
From www.grc.nasa.gov
First Law of Thermodynamics Internal Energy And Heat Capacity The heat capacity at constant volume (\(c_v\)) is defined to be the change in internal energy with respect to temperature: The change in the internal energy of a system is the sum of. The idea is to distinguish between what is being done to a system, “work is done on the system and/or heat is caused to flow into it”,. Internal Energy And Heat Capacity.
From www.studypool.com
SOLUTION Physics notes heat capacity and specific heat capacity Internal Energy And Heat Capacity The slope of the tangent line to the \(u\) vs \(t\) curve at any temperature is known as the heat capacity at constant volume \(c_v\) for that substance: The change in the internal energy of a system is the sum of. The dependence on temperature change and mass are easily understood. Owing to the fact that the (average) kinetic energy. Internal Energy And Heat Capacity.
From www.grc.nasa.gov
Specific Heats Internal Energy And Heat Capacity Solve problems involving heat transfer to and from ideal monatomic gases whose volumes are held constant. The energy required by different. Changes in a material's temperature or state of matter are caused by changes to the internal energy. Owing to the fact that the (average) kinetic energy of an atom or molecule is proportional to the absolute temperature,. The first. Internal Energy And Heat Capacity.
From www.slideserve.com
PPT Heat and Temperature PowerPoint Presentation, free download ID Internal Energy And Heat Capacity Changes in a material's temperature or state of matter are caused by changes to the internal energy. The change in the internal energy of a system is the sum of. Owing to the fact that the (average) kinetic energy of an atom or molecule is proportional to the absolute temperature,. The first law of thermodynamics states that the energy of. Internal Energy And Heat Capacity.
From www.slideserve.com
PPT Chapter 11 Energy in Thermal Process PowerPoint Presentation Internal Energy And Heat Capacity The first law of thermodynamics states that the energy of the universe is constant. Solve problems involving heat transfer to and from ideal monatomic gases whose volumes are held constant. The dependence on temperature change and mass are easily understood. The idea is to distinguish between what is being done to a system, “work is done on the system and/or. Internal Energy And Heat Capacity.
From www.youtube.com
Internal Energy of an Ideal Gas Molar Heat Capacity of Monatomic Internal Energy And Heat Capacity The energy required by different. The idea is to distinguish between what is being done to a system, “work is done on the system and/or heat is caused to flow into it”, with how. The heat capacity at constant volume (\(c_v\)) is defined to be the change in internal energy with respect to temperature: \[c_v = \left( \dfrac{\partial u}{\partial. Solve. Internal Energy And Heat Capacity.
From www.youtube.com
Internal energy & molar heat capacity of ideal gases (derivation Internal Energy And Heat Capacity The heat capacity at constant volume (\(c_v\)) is defined to be the change in internal energy with respect to temperature: The idea is to distinguish between what is being done to a system, “work is done on the system and/or heat is caused to flow into it”, with how. \[c_v = \left( \dfrac{\partial u}{\partial. Changes in a material's temperature or. Internal Energy And Heat Capacity.
From www.researchgate.net
Internal energy and heat capacity curves from MD PT (dashed line), MC Internal Energy And Heat Capacity The energy required by different. \[c_v = \left( \dfrac{\partial u}{\partial. The slope of the tangent line to the \(u\) vs \(t\) curve at any temperature is known as the heat capacity at constant volume \(c_v\) for that substance: The idea is to distinguish between what is being done to a system, “work is done on the system and/or heat is. Internal Energy And Heat Capacity.
From www.thesciencehive.co.uk
Change of State GCSE — the science sauce Internal Energy And Heat Capacity The first law of thermodynamics states that the energy of the universe is constant. Changes in a material's temperature or state of matter are caused by changes to the internal energy. The change in the internal energy of a system is the sum of. The heat capacity at constant volume (\(c_v\)) is defined to be the change in internal energy. Internal Energy And Heat Capacity.
From www.youtube.com
Internal Energy and Heat Capacity and Equipartition 4449 L15 2020 Internal Energy And Heat Capacity The first law of thermodynamics states that the energy of the universe is constant. The dependence on temperature change and mass are easily understood. Changes in a material's temperature or state of matter are caused by changes to the internal energy. Solve problems involving heat transfer to and from ideal monatomic gases whose volumes are held constant. The idea is. Internal Energy And Heat Capacity.
From www.slideserve.com
PPT L 20 Thermodynamics [5] PowerPoint Presentation ID4294508 Internal Energy And Heat Capacity Changes in a material's temperature or state of matter are caused by changes to the internal energy. The heat capacity at constant volume (\(c_v\)) is defined to be the change in internal energy with respect to temperature: The dependence on temperature change and mass are easily understood. Solve problems involving heat transfer to and from ideal monatomic gases whose volumes. Internal Energy And Heat Capacity.
From www.grc.nasa.gov
Heat Transfer Internal Energy And Heat Capacity Owing to the fact that the (average) kinetic energy of an atom or molecule is proportional to the absolute temperature,. The change in the internal energy of a system is the sum of. The heat capacity at constant volume (\(c_v\)) is defined to be the change in internal energy with respect to temperature: The dependence on temperature change and mass. Internal Energy And Heat Capacity.
From www.youtube.com
Enthalpy internal energy heat capacity YouTube Internal Energy And Heat Capacity The idea is to distinguish between what is being done to a system, “work is done on the system and/or heat is caused to flow into it”, with how. The energy required by different. Changes in a material's temperature or state of matter are caused by changes to the internal energy. The dependence on temperature change and mass are easily. Internal Energy And Heat Capacity.
From www.youtube.com
INTERNAL ENERGY AND HEAT CAPACITY IN TERMS OF PARTITION FUNCTION YouTube Internal Energy And Heat Capacity The change in the internal energy of a system is the sum of. Solve problems involving heat transfer to and from ideal monatomic gases whose volumes are held constant. The idea is to distinguish between what is being done to a system, “work is done on the system and/or heat is caused to flow into it”, with how. The dependence. Internal Energy And Heat Capacity.
From www.researchgate.net
Internal energy and heat capacity normalized by NP as a function of the Internal Energy And Heat Capacity The dependence on temperature change and mass are easily understood. The idea is to distinguish between what is being done to a system, “work is done on the system and/or heat is caused to flow into it”, with how. \[c_v = \left( \dfrac{\partial u}{\partial. Changes in a material's temperature or state of matter are caused by changes to the internal. Internal Energy And Heat Capacity.
From www.w3schools.blog
Heat, Work, and Internal Energy W3schools Internal Energy And Heat Capacity \[c_v = \left( \dfrac{\partial u}{\partial. The heat capacity at constant volume (\(c_v\)) is defined to be the change in internal energy with respect to temperature: Owing to the fact that the (average) kinetic energy of an atom or molecule is proportional to the absolute temperature,. The dependence on temperature change and mass are easily understood. The first law of thermodynamics. Internal Energy And Heat Capacity.
From www.pinterest.com
GCSE Physics Internal Energy and Specific Heat Capacity 27 Internal Energy And Heat Capacity The change in the internal energy of a system is the sum of. Solve problems involving heat transfer to and from ideal monatomic gases whose volumes are held constant. \[c_v = \left( \dfrac{\partial u}{\partial. Changes in a material's temperature or state of matter are caused by changes to the internal energy. The first law of thermodynamics states that the energy. Internal Energy And Heat Capacity.
From www.tec-science.com
Internal energy & heat capacity of ideal gases theory of gases Internal Energy And Heat Capacity The heat capacity at constant volume (\(c_v\)) is defined to be the change in internal energy with respect to temperature: Owing to the fact that the (average) kinetic energy of an atom or molecule is proportional to the absolute temperature,. The change in the internal energy of a system is the sum of. The slope of the tangent line to. Internal Energy And Heat Capacity.
From www.slideserve.com
PPT Thermodynamics! PowerPoint Presentation, free download ID6936340 Internal Energy And Heat Capacity The first law of thermodynamics states that the energy of the universe is constant. Owing to the fact that the (average) kinetic energy of an atom or molecule is proportional to the absolute temperature,. The change in the internal energy of a system is the sum of. The dependence on temperature change and mass are easily understood. Solve problems involving. Internal Energy And Heat Capacity.
From www.slideserve.com
PPT Heat capacity and Specific Heat PowerPoint Presentation, free Internal Energy And Heat Capacity The heat capacity at constant volume (\(c_v\)) is defined to be the change in internal energy with respect to temperature: The idea is to distinguish between what is being done to a system, “work is done on the system and/or heat is caused to flow into it”, with how. The energy required by different. The change in the internal energy. Internal Energy And Heat Capacity.
From www.youtube.com
Example Using specific heat to calculate ideal gas internal energy Internal Energy And Heat Capacity Changes in a material's temperature or state of matter are caused by changes to the internal energy. The idea is to distinguish between what is being done to a system, “work is done on the system and/or heat is caused to flow into it”, with how. The heat capacity at constant volume (\(c_v\)) is defined to be the change in. Internal Energy And Heat Capacity.
From www.slideserve.com
PPT Heat and Internal Energy PowerPoint Presentation, free download Internal Energy And Heat Capacity Owing to the fact that the (average) kinetic energy of an atom or molecule is proportional to the absolute temperature,. Changes in a material's temperature or state of matter are caused by changes to the internal energy. The energy required by different. Solve problems involving heat transfer to and from ideal monatomic gases whose volumes are held constant. The idea. Internal Energy And Heat Capacity.
From www.studocu.com
Heat Internal Energy and Heat , Specific Heat Capacity , Heat Internal Energy And Heat Capacity The change in the internal energy of a system is the sum of. The dependence on temperature change and mass are easily understood. The first law of thermodynamics states that the energy of the universe is constant. The heat capacity at constant volume (\(c_v\)) is defined to be the change in internal energy with respect to temperature: Changes in a. Internal Energy And Heat Capacity.
From www.slideserve.com
PPT Heat, temperature and internal energy PowerPoint Presentation Internal Energy And Heat Capacity \[c_v = \left( \dfrac{\partial u}{\partial. The slope of the tangent line to the \(u\) vs \(t\) curve at any temperature is known as the heat capacity at constant volume \(c_v\) for that substance: The heat capacity at constant volume (\(c_v\)) is defined to be the change in internal energy with respect to temperature: The dependence on temperature change and mass. Internal Energy And Heat Capacity.
From www.youtube.com
Change in Internal Energy Using Specific Heat in 3 Minutes! YouTube Internal Energy And Heat Capacity Owing to the fact that the (average) kinetic energy of an atom or molecule is proportional to the absolute temperature,. The energy required by different. The slope of the tangent line to the \(u\) vs \(t\) curve at any temperature is known as the heat capacity at constant volume \(c_v\) for that substance: The heat capacity at constant volume (\(c_v\)). Internal Energy And Heat Capacity.
From studylib.net
Heat Equation Internal Energy And Heat Capacity Owing to the fact that the (average) kinetic energy of an atom or molecule is proportional to the absolute temperature,. The slope of the tangent line to the \(u\) vs \(t\) curve at any temperature is known as the heat capacity at constant volume \(c_v\) for that substance: \[c_v = \left( \dfrac{\partial u}{\partial. The energy required by different. Solve problems. Internal Energy And Heat Capacity.
From www.youtube.com
Equipartition Internal Energy and Heat Capacity 2022 4449 Lectures Internal Energy And Heat Capacity The energy required by different. The heat capacity at constant volume (\(c_v\)) is defined to be the change in internal energy with respect to temperature: The idea is to distinguish between what is being done to a system, “work is done on the system and/or heat is caused to flow into it”, with how. The change in the internal energy. Internal Energy And Heat Capacity.
From www.researchgate.net
Internal energy and heat capacity curves from MD PT (dashed line), MC Internal Energy And Heat Capacity The heat capacity at constant volume (\(c_v\)) is defined to be the change in internal energy with respect to temperature: The first law of thermodynamics states that the energy of the universe is constant. \[c_v = \left( \dfrac{\partial u}{\partial. Owing to the fact that the (average) kinetic energy of an atom or molecule is proportional to the absolute temperature,. Changes. Internal Energy And Heat Capacity.
From www.researchgate.net
The internal energy and heat capacity of the Ddimensional quantum Internal Energy And Heat Capacity Solve problems involving heat transfer to and from ideal monatomic gases whose volumes are held constant. The slope of the tangent line to the \(u\) vs \(t\) curve at any temperature is known as the heat capacity at constant volume \(c_v\) for that substance: The dependence on temperature change and mass are easily understood. \[c_v = \left( \dfrac{\partial u}{\partial. The. Internal Energy And Heat Capacity.
From www.youtube.com
Equipartition Theorem Internal Energy (U) and Heat Capacity (Cv) L6 Internal Energy And Heat Capacity The idea is to distinguish between what is being done to a system, “work is done on the system and/or heat is caused to flow into it”, with how. The dependence on temperature change and mass are easily understood. The first law of thermodynamics states that the energy of the universe is constant. The heat capacity at constant volume (\(c_v\)). Internal Energy And Heat Capacity.
From www.slideserve.com
PPT Chapter 11 Energy in Thermal Process PowerPoint Presentation Internal Energy And Heat Capacity The dependence on temperature change and mass are easily understood. Owing to the fact that the (average) kinetic energy of an atom or molecule is proportional to the absolute temperature,. The slope of the tangent line to the \(u\) vs \(t\) curve at any temperature is known as the heat capacity at constant volume \(c_v\) for that substance: Changes in. Internal Energy And Heat Capacity.
From www.grc.nasa.gov
Enthalpy Internal Energy And Heat Capacity The energy required by different. Solve problems involving heat transfer to and from ideal monatomic gases whose volumes are held constant. Changes in a material's temperature or state of matter are caused by changes to the internal energy. Owing to the fact that the (average) kinetic energy of an atom or molecule is proportional to the absolute temperature,. The dependence. Internal Energy And Heat Capacity.
From www.slideserve.com
PPT Introduction to the First Law Chapter 2 PowerPoint Presentation Internal Energy And Heat Capacity Changes in a material's temperature or state of matter are caused by changes to the internal energy. The heat capacity at constant volume (\(c_v\)) is defined to be the change in internal energy with respect to temperature: Solve problems involving heat transfer to and from ideal monatomic gases whose volumes are held constant. Owing to the fact that the (average). Internal Energy And Heat Capacity.
From www.youtube.com
Specific heat capacity YouTube Internal Energy And Heat Capacity The energy required by different. The change in the internal energy of a system is the sum of. The first law of thermodynamics states that the energy of the universe is constant. The heat capacity at constant volume (\(c_v\)) is defined to be the change in internal energy with respect to temperature: Owing to the fact that the (average) kinetic. Internal Energy And Heat Capacity.
From www.slideserve.com
PPT 12.6 Heat and Internal Energy PowerPoint Presentation, free Internal Energy And Heat Capacity The dependence on temperature change and mass are easily understood. The change in the internal energy of a system is the sum of. Changes in a material's temperature or state of matter are caused by changes to the internal energy. The heat capacity at constant volume (\(c_v\)) is defined to be the change in internal energy with respect to temperature:. Internal Energy And Heat Capacity.