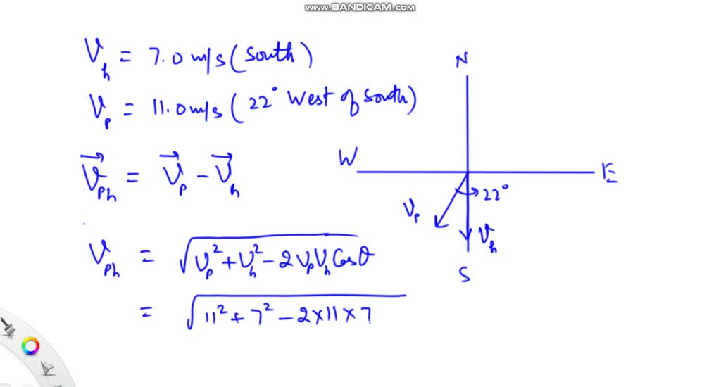
Mario A Hockey Player Is Skating Due South . Your solution’s ready to go!. The puck has a speed of 11.0 m/s and is moving in a. To find the puck's velocity as observed by mario, we need to perform vector addition of mario's velocity and the puck's. The magnitude of the puck's velocity as observed by mario is 4.9 m/s and the direction is 35.6 degrees west of south. A teammate passes the puck to him. What are (a) the magnitude and (b) direction (relative to due south) of the puck's velocity, as observed by mario? To solve this problem, start by identifying the velocity of the puck and mario and the angle provided (22 degrees west of south). Mario, a hockey player, is skating due south at a speed of 7.0 m/s relative to the ice. The magnitude of the puck's velocity relative to mario is 18.0 m/s, and the direction is 54.7° west of south.
from www.gamesdatabase.org
The puck has a speed of 11.0 m/s and is moving in a. A teammate passes the puck to him. Your solution’s ready to go!. To solve this problem, start by identifying the velocity of the puck and mario and the angle provided (22 degrees west of south). The magnitude of the puck's velocity as observed by mario is 4.9 m/s and the direction is 35.6 degrees west of south. Mario, a hockey player, is skating due south at a speed of 7.0 m/s relative to the ice. What are (a) the magnitude and (b) direction (relative to due south) of the puck's velocity, as observed by mario? The magnitude of the puck's velocity relative to mario is 18.0 m/s, and the direction is 54.7° west of south. To find the puck's velocity as observed by mario, we need to perform vector addition of mario's velocity and the puck's.
Mario Lemieux Hockey Sega Genesis Artwork Title Screen
Mario A Hockey Player Is Skating Due South The magnitude of the puck's velocity relative to mario is 18.0 m/s, and the direction is 54.7° west of south. Your solution’s ready to go!. To solve this problem, start by identifying the velocity of the puck and mario and the angle provided (22 degrees west of south). A teammate passes the puck to him. To find the puck's velocity as observed by mario, we need to perform vector addition of mario's velocity and the puck's. Mario, a hockey player, is skating due south at a speed of 7.0 m/s relative to the ice. What are (a) the magnitude and (b) direction (relative to due south) of the puck's velocity, as observed by mario? The magnitude of the puck's velocity as observed by mario is 4.9 m/s and the direction is 35.6 degrees west of south. The puck has a speed of 11.0 m/s and is moving in a. The magnitude of the puck's velocity relative to mario is 18.0 m/s, and the direction is 54.7° west of south.
From www.youtube.com
M & S at the Sochi 2014 Olympic Winter Games Ice Hockey 6 (Team Mario A Hockey Player Is Skating Due South A teammate passes the puck to him. To find the puck's velocity as observed by mario, we need to perform vector addition of mario's velocity and the puck's. The puck has a speed of 11.0 m/s and is moving in a. Your solution’s ready to go!. Mario, a hockey player, is skating due south at a speed of 7.0 m/s. Mario A Hockey Player Is Skating Due South.
From www.mariowiki.com
Ice Hockey (Mario & Sonic at the Sochi 2014 Olympic Winter Games Mario A Hockey Player Is Skating Due South To find the puck's velocity as observed by mario, we need to perform vector addition of mario's velocity and the puck's. What are (a) the magnitude and (b) direction (relative to due south) of the puck's velocity, as observed by mario? Mario, a hockey player, is skating due south at a speed of 7.0 m/s relative to the ice. The. Mario A Hockey Player Is Skating Due South.
From gamerant.com
Nintendo Should Make a Standalone Mario Hockey Game Mario A Hockey Player Is Skating Due South Mario, a hockey player, is skating due south at a speed of 7.0 m/s relative to the ice. What are (a) the magnitude and (b) direction (relative to due south) of the puck's velocity, as observed by mario? The puck has a speed of 11.0 m/s and is moving in a. To solve this problem, start by identifying the velocity. Mario A Hockey Player Is Skating Due South.
From www.youtube.com
Mario & Sonic at the Sochi 2014 Olympic Winter Games Figure Skating Mario A Hockey Player Is Skating Due South Your solution’s ready to go!. To solve this problem, start by identifying the velocity of the puck and mario and the angle provided (22 degrees west of south). The puck has a speed of 11.0 m/s and is moving in a. Mario, a hockey player, is skating due south at a speed of 7.0 m/s relative to the ice. To. Mario A Hockey Player Is Skating Due South.
From www.numerade.com
SOLVED Mario, a hockey player, is skating due south at a speed of 7.0 Mario A Hockey Player Is Skating Due South To solve this problem, start by identifying the velocity of the puck and mario and the angle provided (22 degrees west of south). To find the puck's velocity as observed by mario, we need to perform vector addition of mario's velocity and the puck's. Your solution’s ready to go!. Mario, a hockey player, is skating due south at a speed. Mario A Hockey Player Is Skating Due South.
From www.chegg.com
Solved Mario, a hockey player, is skating due south at a Mario A Hockey Player Is Skating Due South The magnitude of the puck's velocity relative to mario is 18.0 m/s, and the direction is 54.7° west of south. To find the puck's velocity as observed by mario, we need to perform vector addition of mario's velocity and the puck's. The magnitude of the puck's velocity as observed by mario is 4.9 m/s and the direction is 35.6 degrees. Mario A Hockey Player Is Skating Due South.
From www.youtube.com
Mario & Sonic at the Sochi 2014 Olympic Winter Games All Characters Mario A Hockey Player Is Skating Due South To solve this problem, start by identifying the velocity of the puck and mario and the angle provided (22 degrees west of south). The magnitude of the puck's velocity relative to mario is 18.0 m/s, and the direction is 54.7° west of south. A teammate passes the puck to him. What are (a) the magnitude and (b) direction (relative to. Mario A Hockey Player Is Skating Due South.
From www.numerade.com
SOLVEDSSM Mario, a hockey player, is skating due south at a speed of 7 Mario A Hockey Player Is Skating Due South A teammate passes the puck to him. The magnitude of the puck's velocity relative to mario is 18.0 m/s, and the direction is 54.7° west of south. To solve this problem, start by identifying the velocity of the puck and mario and the angle provided (22 degrees west of south). The magnitude of the puck's velocity as observed by mario. Mario A Hockey Player Is Skating Due South.
From www.mariowiki.com
FileMPS Ice Hockey.jpg Super Mario Wiki, the Mario encyclopedia Mario A Hockey Player Is Skating Due South The magnitude of the puck's velocity as observed by mario is 4.9 m/s and the direction is 35.6 degrees west of south. What are (a) the magnitude and (b) direction (relative to due south) of the puck's velocity, as observed by mario? Your solution’s ready to go!. The magnitude of the puck's velocity relative to mario is 18.0 m/s, and. Mario A Hockey Player Is Skating Due South.
From physicsbehindhockey.weebly.com
Skating Physics Behind Hockey Mario A Hockey Player Is Skating Due South To solve this problem, start by identifying the velocity of the puck and mario and the angle provided (22 degrees west of south). To find the puck's velocity as observed by mario, we need to perform vector addition of mario's velocity and the puck's. The puck has a speed of 11.0 m/s and is moving in a. Your solution’s ready. Mario A Hockey Player Is Skating Due South.
From www.mariowiki.com
Ice Hockey (minigame) Super Mario Wiki, the Mario encyclopedia Mario A Hockey Player Is Skating Due South The magnitude of the puck's velocity as observed by mario is 4.9 m/s and the direction is 35.6 degrees west of south. What are (a) the magnitude and (b) direction (relative to due south) of the puck's velocity, as observed by mario? To find the puck's velocity as observed by mario, we need to perform vector addition of mario's velocity. Mario A Hockey Player Is Skating Due South.
From www.alamy.com
Hockey player turning around skating on ice Stock Photo Alamy Mario A Hockey Player Is Skating Due South The magnitude of the puck's velocity relative to mario is 18.0 m/s, and the direction is 54.7° west of south. To solve this problem, start by identifying the velocity of the puck and mario and the angle provided (22 degrees west of south). Your solution’s ready to go!. The puck has a speed of 11.0 m/s and is moving in. Mario A Hockey Player Is Skating Due South.
From potomacfh.org
Revealed The Average Skating Speed Of Hockey Players In 2023 potomacfh Mario A Hockey Player Is Skating Due South The magnitude of the puck's velocity relative to mario is 18.0 m/s, and the direction is 54.7° west of south. To find the puck's velocity as observed by mario, we need to perform vector addition of mario's velocity and the puck's. To solve this problem, start by identifying the velocity of the puck and mario and the angle provided (22. Mario A Hockey Player Is Skating Due South.
From www.ugamezone.com
Mario Ice Skating Play Mario Ice Skating at Mario A Hockey Player Is Skating Due South Mario, a hockey player, is skating due south at a speed of 7.0 m/s relative to the ice. To solve this problem, start by identifying the velocity of the puck and mario and the angle provided (22 degrees west of south). A teammate passes the puck to him. The magnitude of the puck's velocity as observed by mario is 4.9. Mario A Hockey Player Is Skating Due South.
From www.sm128c.com
New Mario Strikers on Nintendo Switch Ice Hockey? SM128C Mario A Hockey Player Is Skating Due South To solve this problem, start by identifying the velocity of the puck and mario and the angle provided (22 degrees west of south). The puck has a speed of 11.0 m/s and is moving in a. Your solution’s ready to go!. What are (a) the magnitude and (b) direction (relative to due south) of the puck's velocity, as observed by. Mario A Hockey Player Is Skating Due South.
From www.gamesdatabase.org
Mario Lemieux Hockey Sega Genesis Artwork Title Screen Mario A Hockey Player Is Skating Due South To find the puck's velocity as observed by mario, we need to perform vector addition of mario's velocity and the puck's. A teammate passes the puck to him. To solve this problem, start by identifying the velocity of the puck and mario and the angle provided (22 degrees west of south). Your solution’s ready to go!. Mario, a hockey player,. Mario A Hockey Player Is Skating Due South.
From theathletic.com
NHL 99 Mario Lemieux could ‘do things that nobody else could do’ The Mario A Hockey Player Is Skating Due South The magnitude of the puck's velocity as observed by mario is 4.9 m/s and the direction is 35.6 degrees west of south. To find the puck's velocity as observed by mario, we need to perform vector addition of mario's velocity and the puck's. The puck has a speed of 11.0 m/s and is moving in a. What are (a) the. Mario A Hockey Player Is Skating Due South.
From www.numerade.com
SOLVEDMario, a hockey player, is skating due south at a speed of 7.0 m Mario A Hockey Player Is Skating Due South The magnitude of the puck's velocity as observed by mario is 4.9 m/s and the direction is 35.6 degrees west of south. Mario, a hockey player, is skating due south at a speed of 7.0 m/s relative to the ice. The puck has a speed of 11.0 m/s and is moving in a. To find the puck's velocity as observed. Mario A Hockey Player Is Skating Due South.
From www.suppermariobroth.com
Supper Mario Broth Ice Hockey preview pictures from Mario Party 5. Mario A Hockey Player Is Skating Due South The puck has a speed of 11.0 m/s and is moving in a. Mario, a hockey player, is skating due south at a speed of 7.0 m/s relative to the ice. To solve this problem, start by identifying the velocity of the puck and mario and the angle provided (22 degrees west of south). To find the puck's velocity as. Mario A Hockey Player Is Skating Due South.
From pixexid.com
A hockey player is in the midst of a game, aggressively skating across Mario A Hockey Player Is Skating Due South To find the puck's velocity as observed by mario, we need to perform vector addition of mario's velocity and the puck's. A teammate passes the puck to him. Your solution’s ready to go!. Mario, a hockey player, is skating due south at a speed of 7.0 m/s relative to the ice. The puck has a speed of 11.0 m/s and. Mario A Hockey Player Is Skating Due South.
From www.chegg.com
Solved 13 Current Attempt in ProgressMario, a hockey Mario A Hockey Player Is Skating Due South To solve this problem, start by identifying the velocity of the puck and mario and the angle provided (22 degrees west of south). What are (a) the magnitude and (b) direction (relative to due south) of the puck's velocity, as observed by mario? The magnitude of the puck's velocity relative to mario is 18.0 m/s, and the direction is 54.7°. Mario A Hockey Player Is Skating Due South.
From www.youtube.com
Mario and Sonic at the Sochi 2014 Olympic Winter Games Part 15 Ice Mario A Hockey Player Is Skating Due South Mario, a hockey player, is skating due south at a speed of 7.0 m/s relative to the ice. Your solution’s ready to go!. The puck has a speed of 11.0 m/s and is moving in a. The magnitude of the puck's velocity as observed by mario is 4.9 m/s and the direction is 35.6 degrees west of south. The magnitude. Mario A Hockey Player Is Skating Due South.
From www.cbr.com
Every Sport Mario Has Played, Ranked By Number Of Times Played Mario A Hockey Player Is Skating Due South To solve this problem, start by identifying the velocity of the puck and mario and the angle provided (22 degrees west of south). Mario, a hockey player, is skating due south at a speed of 7.0 m/s relative to the ice. The puck has a speed of 11.0 m/s and is moving in a. What are (a) the magnitude and. Mario A Hockey Player Is Skating Due South.
From www.youtube.com
Mario & Sonic at the Olympic Winter Games Ice Hockey Wii Gameplay Mario A Hockey Player Is Skating Due South A teammate passes the puck to him. The magnitude of the puck's velocity as observed by mario is 4.9 m/s and the direction is 35.6 degrees west of south. To find the puck's velocity as observed by mario, we need to perform vector addition of mario's velocity and the puck's. Mario, a hockey player, is skating due south at a. Mario A Hockey Player Is Skating Due South.
From www.pinterest.com
Hockey Mario characters, Fictional characters, Character Mario A Hockey Player Is Skating Due South The magnitude of the puck's velocity as observed by mario is 4.9 m/s and the direction is 35.6 degrees west of south. A teammate passes the puck to him. To find the puck's velocity as observed by mario, we need to perform vector addition of mario's velocity and the puck's. Your solution’s ready to go!. Mario, a hockey player, is. Mario A Hockey Player Is Skating Due South.
From hockeygods.com
Mario Hockey HockeyGods Mario A Hockey Player Is Skating Due South A teammate passes the puck to him. To solve this problem, start by identifying the velocity of the puck and mario and the angle provided (22 degrees west of south). The magnitude of the puck's velocity as observed by mario is 4.9 m/s and the direction is 35.6 degrees west of south. What are (a) the magnitude and (b) direction. Mario A Hockey Player Is Skating Due South.
From www.numerade.com
SSM Mario, a hockey player, is skating due south at a speed of 7.0 m/s Mario A Hockey Player Is Skating Due South The puck has a speed of 11.0 m/s and is moving in a. What are (a) the magnitude and (b) direction (relative to due south) of the puck's velocity, as observed by mario? To solve this problem, start by identifying the velocity of the puck and mario and the angle provided (22 degrees west of south). The magnitude of the. Mario A Hockey Player Is Skating Due South.
From pixexid.com
A hockey player is in the midst of a game, aggressively skating across Mario A Hockey Player Is Skating Due South To find the puck's velocity as observed by mario, we need to perform vector addition of mario's velocity and the puck's. The magnitude of the puck's velocity as observed by mario is 4.9 m/s and the direction is 35.6 degrees west of south. To solve this problem, start by identifying the velocity of the puck and mario and the angle. Mario A Hockey Player Is Skating Due South.
From www.youtube.com
Mario Sports Mix Hockey Mushroom Cup (Hard) YouTube Mario A Hockey Player Is Skating Due South To solve this problem, start by identifying the velocity of the puck and mario and the angle provided (22 degrees west of south). The magnitude of the puck's velocity as observed by mario is 4.9 m/s and the direction is 35.6 degrees west of south. The puck has a speed of 11.0 m/s and is moving in a. A teammate. Mario A Hockey Player Is Skating Due South.
From bestskatereviews.com
Guide to Breaking in Your Ice Hockey Skates Mario A Hockey Player Is Skating Due South To find the puck's velocity as observed by mario, we need to perform vector addition of mario's velocity and the puck's. Mario, a hockey player, is skating due south at a speed of 7.0 m/s relative to the ice. A teammate passes the puck to him. The magnitude of the puck's velocity relative to mario is 18.0 m/s, and the. Mario A Hockey Player Is Skating Due South.
From www.dreamstime.com
Hockey Player Turning Around Skating On Ice Stock Image Image of fast Mario A Hockey Player Is Skating Due South Your solution’s ready to go!. To solve this problem, start by identifying the velocity of the puck and mario and the angle provided (22 degrees west of south). What are (a) the magnitude and (b) direction (relative to due south) of the puck's velocity, as observed by mario? Mario, a hockey player, is skating due south at a speed of. Mario A Hockey Player Is Skating Due South.
From www.mariowiki.com
FileMASATOWG Hockey competitors.png Super Mario Wiki, the Mario Mario A Hockey Player Is Skating Due South To find the puck's velocity as observed by mario, we need to perform vector addition of mario's velocity and the puck's. What are (a) the magnitude and (b) direction (relative to due south) of the puck's velocity, as observed by mario? A teammate passes the puck to him. The magnitude of the puck's velocity as observed by mario is 4.9. Mario A Hockey Player Is Skating Due South.
From www.numerade.com
SOLVED Mario, a hockey player, is skating due south at a speed of 7.0 Mario A Hockey Player Is Skating Due South A teammate passes the puck to him. The magnitude of the puck's velocity relative to mario is 18.0 m/s, and the direction is 54.7° west of south. To solve this problem, start by identifying the velocity of the puck and mario and the angle provided (22 degrees west of south). Mario, a hockey player, is skating due south at a. Mario A Hockey Player Is Skating Due South.
From www.youtube.com
Mario & Sonic at the Sochi 2014 Olympic Winter Games Figure Skating Mario A Hockey Player Is Skating Due South The puck has a speed of 11.0 m/s and is moving in a. To find the puck's velocity as observed by mario, we need to perform vector addition of mario's velocity and the puck's. A teammate passes the puck to him. The magnitude of the puck's velocity relative to mario is 18.0 m/s, and the direction is 54.7° west of. Mario A Hockey Player Is Skating Due South.
From www.cbr.com
Mario Party Superstars 10 Best Minigames Mario A Hockey Player Is Skating Due South What are (a) the magnitude and (b) direction (relative to due south) of the puck's velocity, as observed by mario? A teammate passes the puck to him. Mario, a hockey player, is skating due south at a speed of 7.0 m/s relative to the ice. The magnitude of the puck's velocity as observed by mario is 4.9 m/s and the. Mario A Hockey Player Is Skating Due South.